同态加密:以CKKS为例的Bootstrapping操作介绍(不定期更新)

article/2025/10/22 14:43:08

同态加密的Bootstrapping操作最早由Gentry在他的博士论文里提出,是实现分级同态加密到全同态加密之间转换的关键步骤。目前所有的bootstrapping工作都是基于Gentry的这个想法,未有出其右者。

这篇博客打算讲一下Bootstrapping的原理,同时看一下在CKKS中,Bootstrapping是怎么实现的。

为了理解Bootstrapping的原理,我们首先看一个故事。

故事

Alice是一个资深的珠宝加工匠,她也管着一家珠宝店,某个聪明的年轻人Bob是她的学徒。

俗话说教会徒弟饿死师傅。Alice不想让Bob看到珠宝加工的每一个步骤执行之后半成品是什么样子的,因为如果Bob看见了加工过程中每一步的中间件的话,他就能悟出来加工的全过程,然后自己出来单干,用效率和年龄卷死自己。

不信的话,可以让另一个人在你的背上划拉一个字,对比一下看到划拉字的全过程和只靠触觉的话,辨识出来这个字是啥的可能性有多大。

但是两个人干活总是比一个人干活的产出要多。Alice舍不得撵走这样一个好用的劳动力。

Alice的核心需求:让Bob在看不见珠宝胚子的情况下还能做加工。

这天Alice发明了一个手套箱子,就像下面这张图里的一样:
在这里插入图片描述

只见这手套箱:

通体漆黑,从外面看不到里面有什么东西。有两扇门,一扇门上了锁,在开锁了之后可以往外取东西也可以往里放东西;另一扇门是单向的,可以往里面扔任何的东西,但是拿不出来。

于是Alice把手套箱交给Bob,让他来做珠宝加工。具体地,每次Alice会把珠宝坯子扔到手套箱里,让Bob对它按照固化的流程进行加工。等到加工完了之后,Alice再把手套箱的锁打开,把成品取出来。

如此这般这般如此了一段时间之后,Alice发现Bob隔着手套箱摸索着工作效率不行,以及由于手套箱自身设计的原因,在每一步加工过程中都会引入一些误差,相应地,在一个手套箱里加工珠宝最多只能加工L次,否则误差积累到足够大之后,在手套箱里的珠宝就会被加工废掉,成了残次品了。Alice暂时的解决方案是隔几个步骤就把中间件拿出来,自己再精琢一番,但是这么做实在是太费事了。

直到有一天,Alice又买了一个手套箱。为了区别,旧有的手套箱叫手套箱A,新买的手套箱叫手套箱B。

Alice自己把两个手套箱的钥匙都做了备份。今天开工前,Alice把坯子放在了手套箱A里,然后把手套箱A的钥匙放在了手套箱B中。

于是,当Bob隔着手套箱A做了若干次加工之后,他就把手套箱A整个扔到了手套箱B中。用已经放在手套箱B中的A的钥匙把A中的半成品取出来,在手套箱B中继续加工。

现实

到这里故事就讲完了。和现实世界对比,很显然珠宝坯子是私密数据,手套箱是同态加密方案,单向门意味着公钥,钥匙就是私钥。

这里的手套箱套娃操作,其实就是bootstrapping了。

本质上,bootstrapping这个操作就是在密文下走完解加密的一个流程。

一般的同态加密涉及加密、运算和解密三样东西。可以看到,手套箱故事能不能拿到现实中来应用,很大程度上取决于能不能在加密的情况下实现加解密函数。

而这不是一个简单的事情。

CKKS方案的Bootstrapping操作

CKKS方案的实现其实和Gentry的想法不完全一样。
在CKKS方案里没有用到对 s s s的加密结果,而是在密文下做了一遍解码和编码。

首先看一下CKKS方案的主要API和主要原理。可以参考这里,也可以看下面的图。当然了,这两篇文章里可能有一些地方表述不清甚至会出错,但是本文的目的不在于严谨地介绍,只是给大家留下一个大概印象方便更好地理解原文。
为了方便,首先放一个CKKS方案的主要API:

在这里插入图片描述
在这里插入图片描述
这里着重提一下CKKS的编码和解码问题。

在我的CKKS介绍文章里,我提到过里面的向量编码需要做一个插值。具体地,考虑分圆多项式的原根 ξ i \xi_i ξi 和明文向量的分量 m i m_i mi ,插值(编码)后生成一个多项式 p p p ,通过 p ( ξ i ) = m i p(\xi_i) = m_i p(ξi)=mi 来确定 p p p 的系数。

我们也提到过编码和解码可以用SIMD(单条指令操纵多条数据)的方式并行计算。比如,解码操作可以写成:
m = U p m = Up m=Up
其中这里的 p p p 是多项式 p p p 的系数组成的向量, U U U见下图。通过并行计算手段(GPU/FPGA等)对矩阵运算进行加速。
在这里插入图片描述

想要实现编码的话,只需要把这个过程倒过来就行了。

CKKS Bootstrapping方案中的一些预备知识

这一部分的东西,如果觉得看不明白,可以先跳到下一部分,直接把握Bootstrapping的脉络,根据脉络中的问题,再回来看各个细节。

首先,分析一下CKKS解密的方法:
m = ( c 0 + c 1 s ) m o d q m= (c_0+c_1s) \mod q m=(c0+c1s)modq

这里的主要步骤有两个:一个是计算 c 0 + c 1 s c_0+c_1s c0+c1s,一个是计算 F ( x ) = x m o d q F(x) = x \mod q F(x)=xmodq

但是这个 F F F是不连续的周期函数。我们想给它搞一个近似玩一玩。

我们给出一个前提条件:明文多项式 m m m 中系数的规模和 q q q 相比很小。其实这个事情可以办到,因为你完全可以在还剩足够多的乘法深度的时候就解密。

于是,我们对照着上面的前提条件,重新写一下解密的过程:
对某个level l l l下的一个密文 ( c 0 , c 1 ) (c_0, c_1) (c0,c1)进行解密:
t = ( c 0 + c 1 s ) m o d Q l t = (c_0+c_1s) \mod Q_l t=(c0+c1s)modQl

这里, t = q I + m t = qI + m t=qI+m,其中 ∣ I ∣ < K |I| < K I<K K K K是一个正整数。

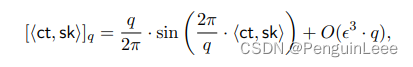
这个时候,我们可以用正弦函数(泛指数函数)对 F [ t ] = t m o d q F[t] = t \mod q F[t]=tmodq 进行近似。

在这里插入图片描述

在这里插入图片描述
但是因为同态加密只支持加法和乘法,所以可以使用泰勒展开或者切比雪夫展开。

在CKKS方案中,还涉及到在密文情况下进行矩阵-向量乘法的操作。这里我们用一张图来表示一个经典的矩阵-向量乘法的步骤,使用到了CKKS全部的API——向量加法、向量乘法和重线性化、以及旋转操作。
在这里插入图片描述

CKKS Bootstrapping方案大体逻辑介绍

在这里插入图片描述

如图。

分为模数提升、解码、正弦近似、编码四个部分。都在密文下完成。

第一步,我们已有一个层数耗尽的密文 c t = ( c 0 , c 1 ) m o d Q l ct = (c_0, c_1) \mod Q_l ct=(c0,c1)modQl,对应的明文多项式是 m ( X ) = ( c 0 + c 1 s ) m o d q m(X) = (c_0 + c_1s) \mod q m(X)=(c0+c1s)modq

但是如果解密的过程中不模 q q q(或者模一个远大于 q q q的数 Q 0 Q_0 Q0)的话,记 t ( X ) = ( c 0 + c 1 s ) m o d Q 0 t(X) = (c_0 + c_1s) \mod Q_0 t(X)=(c0+c1s)modQ0,这里就有 t = q I + m t = qI + m t=qI+m。其中 I I I是一个不太大的整数。那么有:
( c 0 + c 1 s ) m o d Q 0 = t ( X ) (c_0 + c_1s) \mod Q_0 = t(X) (c0+c1s)modQ0=t(X)
体现在密文之中,就是 c 0 , c 1 m o d Q l c_0, c_1 \mod Q_l c0,c1modQl 的模数被提升,重新改写成 c 0 , c 1 m o d Q 0 c_0, c_1 \mod Q_0 c0,c1modQ0了。
注意,这里的 Q 0 Q_0 Q0 Q l Q_l Ql都是 q q q的倍数。

在这一步的执行中我们发现,对模数提升前后的 ( c 0 , c 1 ) (c_0, c_1) (c0,c1)进行解密: m ( X ) = ( c 0 + c 1 s ) m o d q m(X) = (c_0 + c_1s) \mod q m(X)=(c0+c1s)modq,最后都是需要模 q q q的。这意味着,模数提升前后的 ( c 0 , c 1 ) (c_0, c_1) (c0,c1),解密后对应着相同的 m m m

做了这一步模数提升之后,我们又可以做很多的乘法运算了。

第二步,我们把加了密的明文多项式 t ( X ) = ( c 0 + c 1 s ) m o d Q 0 t(X) = (c_0 + c_1s) \mod Q_0 t(X)=(c0+c1s)modQ0做密文下的解码运算。这里的解码的意思是,把 t ( X ) t(X) t(X)中的 X X X用原根进行带入,得到解码后的向量 t m o d Q 0 t \mod Q_0 tmodQ0,可以通过前文所说的矩阵-向量乘法进行实现。

但是由于“编码”和“解码”的可逆性, t t t包含的信息并没有被消除。

第三步,我们要对 t m o d Q 0 t \mod Q_0 tmodQ0在密文下进行正弦近似,得到 t m o d q = m t \mod q = m tmodq=m,即获得真正的明文 m m m(因为由于模数的存在, m m m t m o d Q 0 t \mod Q_0 tmodQ0本质上还是不同的)。

最后,在密文下重新走一遍编码的流程,把 t t t变成 t ( X ) t(X) t(X)。于是Bootstrapping的操作就完成了。

现在已有的一些改进Bootstrapping的工作,很多都是在此基础上进行的优化。


http://chatgpt.dhexx.cn/article/1480kjB9.shtml

相关文章

TFHE拓展:Programmable Bootstrapping

Improved Programmable Bootstrapping with Larger Precision and Efficient Arithmetic Circuits for TFHE&#xff08;对TFHE优化的可编程同态刷新的方案&#xff0c;拥有高精度和高效率&#xff09; 索引 Improved Programmable Bootstrapping with Larger Precision and Ef…

十分流行自举法(Bootstrapping )为什么有效

我们的项目并不总是有充足的数据。通常&#xff0c;我们只有一个样本数据集可供使用&#xff0c;由于缺乏资源我们无法执行重复实验(例如A/B测试)。 幸运的是&#xff0c;我们有重采样的方法来充分利用我们所拥有的数据。自举法&#xff08;Bootstrapping&#xff09;是一种重…

《Hand Keypoint Detection in Single Images using Multiview Bootstrapping》及模型推理

论文&#xff1a;《Hand Keypoint Detection in Single Images using Multiview Bootstrapping》2017 链接&#xff1a;1704.07809.pdf (arxiv.org) code&#xff1a;Hand Keypoint Detection using Deep Learning and OpenCV | LearnOpenCV 论文略读 1.Introduction In th…

bootstraping

之前一位同学问及bootstrap&#xff0c;由此我查阅了几篇文献&#xff0c;初步知晓个皮毛&#xff1a;它是一种非参检验方法&#xff0c;利用重复抽样理论&#xff0c;来减少偏差、控制方差、得到有效置信区间等统计方法。国内bootstrap研究比较少&#xff0c;这里摘录了国外研…

CKKS自举笔记(CKKS Bootstrapping)

文章目录 CKKS Bootstrapping流程流程的框架如何做同态取模操作直接泰勒展开&#xff08;naive idea&#xff09;采用二倍角公式来拟合&#xff08;欧密2018&#xff09; 如何做同态编码或解码CKKS的编码和解码基础知识&#xff08;明文下面怎么做&#xff09;同态的旋转、共轭…

解决:‘config.status: error: Something went wrong bootstrapping makefile fragments......’问题

解决&#xff1a;‘config.status: error: Something went wrong bootstrapping makefile fragments......’问题 一、问题二、解决方法 一、问题 首先我们来看安装sqlite时报的这个错误&#xff1a; config.status: error: in ‘/home/dengyonghao/Downloads/sqlite-autoconf…

Bootstrapping的意义

一、原理解释 Bootstrapping 方法是种集成方法&#xff0c;通俗解释就是盲人摸象&#xff0c;很多盲人摸一头象&#xff0c;各自摸到的都不一样&#xff0c;但是都比较片面&#xff0c;当他们在一起讨论时&#xff0c;就得到了象的整体。 Bootstrap的过程&#xff0c;类似于重…

Bootstrapping method

Bootsrapping指的就是利用有限的样本资料经由多次重复抽样&#xff0c;重新建立起足以代表母体样本分布的新样本。 统计中我们常常需要做参数估计&#xff0c;具体问题可以描述为&#xff1a;给定一系列数据 假设它们是从分布F中采样得到的&#xff0c;参数估计就是希望估计分…

【强化学习】n步Bootstrapping

目录 n步TD 预测 n-step Sarsa n步off - policy学习 Per-reward Off - policy 方法 n步Tree Backup算法 BootStrapping原是推论统计学里的概念。所谓推论统计学&#xff0c;就是根据样本统计量来推算总体的统计量。n部方法通常会被用作eligibility trace思想的一个例子&am…

Bootstrapping

Bootstrapping从字面意思翻译是拔靴法&#xff0c;从其内容翻译又叫自助法&#xff0c;是一种再抽样的统计方法。自助法的名称来源于英文短语“to pull oneself up by one’s bootstrap”&#xff0c;表示完成一件不能自然完成的事情。1977年美国Standford大学统计学教授Efron提…

Bootstrapping?

一、什么是Bootstrapping&#xff1f; 中文翻译也叫“自助法(自举法)”。 类似于给鞋子穿鞋带&#xff0c;把鞋带穿进去在穿出来再穿进去。 举个例子&#xff0c;一个总体有五十人&#xff0c;没有办法直接测量总体的情况&#xff0c;我们就从总体中抽取一些样本&#xff0c;用…

华为机试题整理

1、整数反转后求和 #include <iostream> using namespace std; int reversenum(int x) {int a0;while (x>0) {aa*10x%10;x/10;}return a; } int reverseAdd(int a,int b) {if(a<1||a>70000||b<1||b>70000){return -1;}int num1reversenum(a);int num2re…

2021.华为机试某题

问题描述&#xff1a; 有M*N的节点矩阵&#xff0c;每个节点可以向8个方向&#xff08;上、下、左、右及四个斜线方向&#xff09;转发数据包&#xff0c;每个节点转发时会消耗固定时延&#xff0c;连续两个相同时延可以减少一个时延值&#xff08;即当有K个相同时延的节点连续…

牛客网华为机试题训练汇总(JavaScript)

牛客网华为机试题训练&#xff08;JavaScript Node环境&#xff09; 文章目录 牛客网华为机试题训练&#xff08;JavaScript Node环境&#xff09;前言一、题目1. HJ11 数字颠倒2. HJ22 汽水瓶3. HJ53 杨辉三角的变形4. HJ2 计算某字母出现次数5. HJ8 合并表记录6. HJ17 坐标移…

1、华为机试题记录

1、小型机通常采用RISC和unix操作系统。 RISC&#xff1a;精简指令集计算机&#xff0c;指令少&#xff0c;运行效率更高。 unix&#xff1a;商用UNIX现在主要是三大分支IBM的AIX,SUN的solaris&#xff0c;HP的hp-ux&#xff0c;运行在小型机上。金融电信等行业应用广泛&#x…

华为机试练习题汇总

华为机试练习广场&#xff1a; [华为机试练习题]1.周期串问题 - Yoona - 博客频道 - CSDN.NET[华为机试练习题]2.大数求和 - Yoona - 博客频道 - CSDN.NET[华为机试练习题]3.分解字符串 - Yoona - 博客频道 - CSDN.NET[华为机试练习题]4.简单密码破解 - Yoona - 博客频道 - CSD…

华为OD机试真题大全,用 Python 解华为机试题 | 机试宝典

文章目录 2023 年用 Python 语言解华为 OD 机试题&#xff0c;一篇博客找全。华为 OD 机试题清单&#xff08;机试题库还在逐日更新&#xff09; 2023 年用 Python 语言解华为 OD 机试题&#xff0c;一篇博客找全。 在 2023 年&#xff0c;Python 已成为广泛使用的编程语言之一…

华为OD机试真题2022Q4 A + 2023 B卷(JavaJavaScript)

大家好&#xff0c;我是哪吒。 五月份之前&#xff0c;如果你参加华为OD机试&#xff0c;收到的应该是2022Q4或2023Q1&#xff0c;这两个都是A卷题。 5月10日之后&#xff0c;很多小伙伴收到的是B卷&#xff0c;那么恭喜你看到本文了&#xff0c;抓紧刷题吧。B卷新题库正在更…

EntityWrapper的in用法

EntityWrapper<UserLife> wrapper new EntityWrapper<>(); wrapper.eq("is_valid", 1); wrapper.in("life_name", "ge,edu,career"); List<UserLife> userLabelList userLabelService.selectList(wrapper); in的第二个参数…

QueryWrapper

官方文档&#xff1a;https://mp.baomidou.com/guide/wrapper.html#querywrapper select("id", "name", "age") select(i -> i.getProperty().startsWith("test")) controller中使用的例子