一文理解DeepLab V1到DeepLab V3+(超系统、超详细)

article/2025/10/23 22:08:40

文章目录

    • 预备知识
      • 空洞卷积
    • 1、DeepLab V1
      • 1.1 基于VGG模型
      • 1.2 总体架构
        • 1.2.1 Fully Connected CRF(条件随机场)
      • 1.3 DeepLab V1模型实验
    • 2、DeepLab V2
      • 2.1 整体架构
      • 2.2 训练策略
        • 2.2.1 学习率的调整
    • 3、DeepLab V3
      • 3.1 cascade形式的DeepLab V3
      • 3.2 parallel形式的DeepLab V3
    • 4、DeepLab V3+
      • 4.1 深度可分离空洞卷积
      • 4.2 Modified Xception

预备知识

空洞卷积

参考我之前写的博客:
CSDN链接 空洞卷积详解

1、DeepLab V1

其他图像分割模型如FCN和U-Net都使用了反卷积和pooling保持分别率不变,而只使用空洞卷积就可以实现反卷积和pooling的效果,而且空洞卷积还具有可学习的优点。

1.1 基于VGG模型

在这里插入图片描述
1、以VGG模型为基础,因为想利用VGG模型预训练的参数;
2、去除掉最后2个max pooling,并使用空洞卷积保持感受野一致,空洞卷积使用在原VGG模型最后2个max pooling之间;
3、最后3个FC层都换成3×3的卷积,所以输出feature size为28×28;
4、第3步使用3×3 的卷积输出的通道数换成1024,不影响效果而且也增加速度;

1.2 总体架构

在这里插入图片描述
1、基于VGG模型修改的结构在上图的第一行已完成;
2、第四步是对基于VGG修改模型输出的结果进行双线性插值,增加8倍还原成原feature size的大小;
3、使用了Fully Connected CRF(条件随机场)

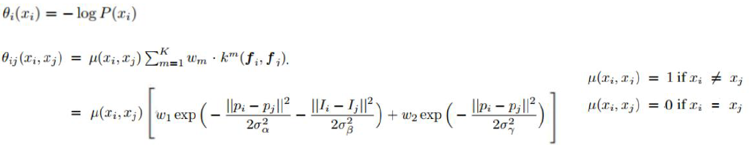
1.2.1 Fully Connected CRF(条件随机场)

公式:
在这里插入图片描述
其中:
在这里插入图片描述
解释: 图像分割是对每一个像素点进行分类,而每一个像素之间的分类是有联系的,所以用到了条件随机场。优化 E ( x ) E(x) E(x),使其最小,所以可以使用梯度下降法来优化。

E ( x ) E(x) E(x):优化 E ( x ) E(x) E(x)使其最小;
θ i ( x i ) \theta_i(x_i) θi(xi):仔细看就会发现如果 P ( x i ) P(x_i) P(xi)越大则 θ i ( x i ) \theta_i(x_i) θi(xi)越小;
∑ i θ i ( x i ) \sum_{i}\theta_i(x_i) iθi(xi):是各个像素概率的联合概率分布;
θ i , j ( x i , x j ) \theta_{i,j}(x_i,x_j) θi,j(xi,xj):是衡量像素与像素之间的概率分布;
∣ ∣ p i − p j ∣ ∣ 2 ||p_i-p_j||^2 pipj2:像素之间的距离;
∣ ∣ I i − I j ∣ ∣ 2 ||I_i-I_j||^2 IiIj2:像素之间的灰度值;
σ \sigma σ:正态分布相关的参数;
ω \omega ω:待优化的参数;

1.3 DeepLab V1模型实验

在这里插入图片描述
总结:
1、增加CRF、通过设置较大的dilation增加感受野、以及多尺度输入可增加模型的效果;
2、所以根据上面所做的增加模型效果的实验,就诞生了DeepLab V2。


在这里插入图片描述
总结:
根据第一行和最后一行可知:在3*3的kernel size下,增加stride可增加模型的效果,而且还减少了参数量。


2、DeepLab V2

与V1版本的区别就是引入了ASPP,结合V1所做的实验,增加多尺度训练和较大的感受野可增加mIOU;
在这里插入图片描述
步骤:
1、对输入的feature map进行分组空洞卷积,rate为(6,12,18,24),此对应多尺度输入;
2、通过padding,使各个组输出的feature size与输入相同;
3、对各个组输出的feature map进行sum;
ASPP code:

import torch
from torch._C import Size
import torch.nn as nn
import torch.nn.functional as Fclass ASPP(nn.Module):"""空洞空间金字塔池化(Atrous Spatial Pyramid Pooling)在给定的输入上以不同采样率(dilation)的空洞卷积并行采样,相当于以多个比例捕捉图像的上下文。"""def __init__(self, in_chans, out_chans, rate=1):super(ASPP, self).__init__()# 以不同的采样率预制空洞卷积(通过调整dilation实现)# 1x1卷积——无空洞self.branch1 = nn.Sequential(nn.Conv2d(in_chans, out_chans, 1, 1, padding=0, dilation=rate, bias=True),nn.BatchNorm2d(out_chans),nn.ReLU(inplace=True))# 3x3卷积——空洞6self.branch2 = nn.Sequential(nn.Conv2d(in_chans, out_chans, 3, 1, padding=6 * rate, dilation=6 * rate, bias=True),nn.BatchNorm2d(out_chans),nn.ReLU(inplace=True))# 3x3卷积——空洞12self.branch3 = nn.Sequential(nn.Conv2d(in_chans, out_chans, 3, 1, padding=12 * rate, dilation=12 * rate, bias=True),nn.BatchNorm2d(out_chans),nn.ReLU(inplace=True))# 3x3卷积——空洞18self.branch4 = nn.Sequential(nn.Conv2d(in_chans, out_chans, 3, 1, padding=18 * rate, dilation=18 * rate, bias=True),nn.BatchNorm2d(out_chans),nn.ReLU(inplace=True))# 全局平均池化——获取图像层级特征,image pooling,self.branch5_avg = nn.AdaptiveAvgPool2d(1)  # 1:输出为1*1# 1x1的conv、bn、relu——用于处理平均池化所得的特征图self.branch5_conv = nn.Conv2d(in_chans, out_chans, 1, 1, 0, bias=True)self.branch5_bn = nn.BatchNorm2d(out_chans)self.branch5_relu = nn.ReLU(inplace=True)# 1x1的conv、bn、relu——用于处理concat所得的特征图self.conv_cat = nn.Sequential(nn.Conv2d(out_chans * 5, out_chans, 1, 1, padding=0, bias=True),nn.BatchNorm2d(out_chans),nn.ReLU(inplace=True))def forward(self, x):# 获取size——用于上采样的时候确定上采样到多大b, c, h, w = x.size()# 一个1x1的卷积conv1x1 = self.branch1(x)# 三个3x3的空洞卷积conv3x3_1 = self.branch2(x)conv3x3_2 = self.branch3(x)conv3x3_3 = self.branch4(x)# 一个平均池化global_feature = self.branch5_avg(x)# 对平均池化所得的特征图进行处理global_feature = self.branch5_relu(self.branch5_bn(self.branch5_conv(global_feature)))# 将平均池化+卷积处理后的特征图上采样到原始x的输入大小global_feature = F.interpolate(global_feature, (h, w), None, 'bilinear', True)# 把所有特征图cat在一起(包括1x1、三组3x3、平均池化+1x1),cat通道的维度feature_cat = torch.cat([conv1x1, conv3x3_1, conv3x3_2, conv3x3_3, global_feature], dim=1)# 最后再连一个1x1卷积,把cat翻了5倍之后的通道数缩减回来result = self.conv_cat(feature_cat)return result

2.1 整体架构

在这里插入图片描述

2.2 训练策略

在这里插入图片描述
总结:
通过调小batch size和增加训练的epoch可增加mIOU。

2.2.1 学习率的调整

随着训练epoch的增加,学习率应作适当减小,所以V2提出新的学习率的策略,公式为:
l r = l r ⋅ ( 1 − i t e r m a x _ i t e r ) p o w e r lr = lr\cdot(1-\frac{iter}{max\_iter})^{power} lr=lr(1max_iteriter)power

其中原论文 p o w e r power power设置的是:0.9;


3、DeepLab V3

DeepLab V3有cascade和parallel两种的形式,先介绍cascade;

3.1 cascade形式的DeepLab V3

在这里插入图片描述
重要点:
1、output stride:输出的feature map为原输入的多少分之一,如:为 1 / 4 , 1 / 8 , 1 / 16 1/4,1/8,1/16 1/41/81/16
2、通过做实验,output stride越大效果越不好,所以cascade形式采用下面一种;
3、 b l o c k 1 , 2 , 3 , 4... block_{1,2,3,4...} block1,2,3,4...为resnet50的block;
如何避免输出图片栅格化:
1、因为空洞卷积只涉及block4中的3×3的卷积,为了避免栅格化所以设置dilation rate为1,2,4,不能设置为同一个值;
2、上图中的rate的意思是: r a t e ⋅ ( 1 , 2 , 4 ) rate \sdot(1,2,4) rate(1,2,4)


resnet

3.2 parallel形式的DeepLab V3

在这里插入图片描述
因为在cascade模型中,网络做的太深效果反而出现下降,所以就引用了ASPP。


4、DeepLab V3+

在这里插入图片描述
改进点:
1、借鉴了Encode和Decode的结合,进行了特征的concat;
2、使用了Modified Xception;
3、使用了深度可分离空洞卷积(Depthwise Separable Convolution);

4.1 深度可分离空洞卷积

在这里插入图片描述
先说一下什么是Depthwise Convolution,它就是先对输入的feature map的每一个通道进行卷积,如果输入的feature map为 D F ⋅ D F ⋅ M D_F\sdot D_F\sdot M DFDFM,输出的feature map仍为 D F ⋅ D F ⋅ M D_F\sdot D_F\sdot M DFDFM,然后再进行 1 ∗ 1 ∗ M ∗ N 1 * 1 * M * N 11MN的卷积,Operations的计算如上图,所以通过Depthwise Convolution后减少了计算量。

4.2 Modified Xception

在这里插入图片描述
总结
1、类似于resnet,但与resnet有很大的不同;
2、Modified Xception使用了Depthwise Separable Convolution;
DeepLab V3+ 代码:

"""
Attention:需要把上一个ASPP的代码和当前的代码放在同一目录下
"""
import torch
import torch.nn as nn
import torch.nn.functional as F
import torch.utils.model_zoo as model_zoobn_mom = 0.0003# 预先训练模型地址
model_urls = {'resnet18': 'https://download.pytorch.org/models/resnet18-5c106cde.pth','resnet34': 'https://download.pytorch.org/models/resnet34-333f7ec4.pth','resnet50': 'https://download.pytorch.org/models/resnet50-19c8e357.pth','resnet101': 'https://download.pytorch.org/models/resnet101-5d3b4d8f.pth'
}# same空洞卷积
# 对于k=3的卷积,通过设定padding=1*atrous,保证添加空洞后的3x3卷积,输入输出feature map同样大小
def conv3x3(in_planes, out_planes, stride=1, atrous=1):"""3x3 convolution with padding"""return nn.Conv2d(in_planes, out_planes, kernel_size=3, stride=stride,padding=1 * atrous, dilation=atrous, bias=False)# 通过 same 空洞卷积实现BasicBlock
class BasicBlock(nn.Module):expansion = 1def __init__(self, in_chans, out_chans, stride=1, atrous=1, downsample=None):super(BasicBlock, self).__init__()# 使用自定义的same 空洞卷积self.conv1 = conv3x3(in_chans, out_chans, stride, atrous)self.bn1 = nn.BatchNorm2d(out_chans)self.relu = nn.ReLU(inplace=True)self.conv2 = conv3x3(out_chans, out_chans)self.bn2 = nn.BatchNorm2d(out_chans)self.downsample = downsampleself.stride = stridedef forward(self, x):residual = xout = self.conv1(x)out = self.bn1(out)out = self.relu(out)out = self.conv2(out)out = self.bn2(out)if self.downsample is not None:residual = self.downsample(x)out += residualout = self.relu(out)return out# 实现带有空洞卷积的Bottleneck
# 这个bottleneck结构,
# 在resnet 50的block1中串连使用了3个,block2中串连使用了4个,block3中串连使用了6个,block4中串连使用了3个。
# 在resnet 101的block1中串连使用了3个,block2中串连使用了4个,block3中串连使用了24个,block4中串连使用了3个。
# 在resnet 152的block1中串连使用了3个,block2中串连使用了8个,block3中串连使用了36个,block4中串连使用了3个。
# 所以,当我们定block1,block2,block3,block4分别为[3,4,6,3]时,就对应resnet50
# 所以,当我们定block1,block2,block3,block4分别为[3,4,24,3]时,就对应resnet101
# 所以,当我们定block1,block2,block3,block4分别为[3,8,36,3]时,就对应resnet152class Bottleneck(nn.Module):# bottleneck block中,有三个卷积层,分别是:C1:1x1conv,C2:3x3conv,C3:1x1conv# C1的输入featue map 的channel=4C,输处feature map 的channel=C# C2的输入featue map 的channel=C,输处feature map 的channel=C# C3的输入featue map 的channel=C,输处feature map 的channel=4C# expansion:定义瓶颈处的feature map,C2的输入输出feature map 的 channel是非瓶颈处的channel的1/4expansion = 4def __init__(self, in_chans, out_chans, stride=1, atrous=1, downsample=None):super(Bottleneck, self).__init__()# 这里in_chans是out_chans的4倍,在make_layer函数里有实现,大概在本代码164行左右self.conv1 = nn.Conv2d(in_chans, out_chans, kernel_size=1, bias=False)self.bn1 = nn.BatchNorm2d(out_chans)# same空洞卷积self.conv2 = nn.Conv2d(out_chans, out_chans, kernel_size=3, stride=stride,padding=1 * atrous, dilation=atrous, bias=False)self.bn2 = nn.BatchNorm2d(out_chans)self.conv3 = nn.Conv2d(out_chans, out_chans * self.expansion, kernel_size=1, bias=False)self.bn3 = nn.BatchNorm2d(out_chans * self.expansion)self.relu = nn.ReLU(inplace=True)self.downsample = downsampleself.stride = stridedef forward(self, x):residual = xout = self.conv1(x)out = self.bn1(out)out = self.relu(out)out = self.conv2(out)out = self.bn2(out)out = self.relu(out)out = self.conv3(out)out = self.bn3(out)if self.downsample is not None:residual = self.downsample(x)out += residualout = self.relu(out)return out# 定义完整的空洞残差网络
class ResNet_Atrous(nn.Module):# 当layers=[3,4,6,3]时,block为bottlenet时,就生成resnet50def __init__(self, block, layers, atrous=None, os=16):super(ResNet_Atrous, self).__init__()self.block = blockstride_list = Noneif os == 8:# 控制block2,block3,block4的第一个bottleneck的3x3卷积的stride# 这里指将block2内的第一个bottleneck的3x3卷集的stride设置为2# 这里指将block3内的第一个bottleneck的3x3卷集的stride设置为1# 这里指将block4内的第一个bottleneck的3x3卷集的stride设置为1stride_list = [2, 1, 1]elif os == 16:stride_list = [2, 2, 1]else:raise ValueError('resnet_atrous.py: output stride=%d is not supported.' % os)self.inplanes = 64self.conv1 = nn.Conv2d(3, 64, kernel_size=7, stride=2, padding=3,bias=False)self.bn1 = nn.BatchNorm2d(64)self.relu = nn.ReLU(inplace=True)self.maxpool = nn.MaxPool2d(kernel_size=3, stride=2, padding=1)# resnet的 block1self.layer1 = self._make_layer(block, 64, 64, layers[0])# resnet的 block2self.layer2 = self._make_layer(block, 64 * block.expansion, 128, layers[1], stride=stride_list[0])# resnet的 block3self.layer3 = self._make_layer(block, 128 * block.expansion, 256, layers[2], stride=stride_list[1],atrous=16 // os)# resnet的 block4,block4的atrous为列表,里面使用了multi-grid技术self.layer4 = self._make_layer(block, 256 * block.expansion, 512, layers[3], stride=stride_list[2],atrous=[item * 16 // os for item in atrous])self.layer5 = self._make_layer(block, 512 * block.expansion, 512, layers[3], stride=1,atrous=[item * 16 // os for item in atrous])self.layer6 = self._make_layer(block, 512 * block.expansion, 512, layers[3], stride=1,atrous=[item * 16 // os for item in atrous])self.layers = []for m in self.modules():if isinstance(m, nn.Conv2d):nn.init.kaiming_normal_(m.weight, mode='fan_out', nonlinearity='relu')elif isinstance(m, nn.BatchNorm2d):nn.init.constant_(m.weight, 1)nn.init.constant_(m.bias, 0)def _make_layer(self, block, in_chans, out_chans, blocks, stride=1, atrous=None):downsample = Noneif atrous == None:# 当没有设置atrous,blocks=3时,atrous=[1,1,1]# 此时表示resnet的block1,或者block2,或者block3,或者block4内的bottleneck中的3x3卷积的膨胀系数为1,# 膨胀系数为1,就表示没有膨胀,还是标准卷积。atrous = [1] * blockselif isinstance(atrous, int):# 当设置atrous=2,blocks=3时,atrous=[2,2,2]# 此时表示resnet的block1,或者block2,或者block3,或者block4内的bottleneck中的3x3卷积的膨胀系数为2atrous_list = [atrous] * blocksatrous = atrous_list# 如果atrous不是None,也不是一个整数,那么atrous被直接设定为[1,2,3]# 此时表示resnet的block1,或者block2,或者block3,或者block4内的bottleneck中的3个3x3卷积的膨胀系数分别为[1,2,3]if stride != 1 or in_chans != out_chans * block.expansion:downsample = nn.Sequential(nn.Conv2d(in_chans, out_chans * block.expansion,kernel_size=1, stride=stride, bias=False),nn.BatchNorm2d(out_chans * block.expansion),)layers = []layers.append(block(in_chans, out_chans, stride=stride, atrous=atrous[0], downsample=downsample))in_chans = out_chans * block.expansionfor i in range(1, blocks):layers.append(block(in_chans, out_chans, stride=1, atrous=atrous[i]))return nn.Sequential(*layers)def forward(self, x):layers_list = []x = self.conv1(x)x = self.bn1(x)x = self.relu(x)x = self.maxpool(x)x = self.layer1(x)# 此时x为4倍下采样layers_list.append(x)x = self.layer2(x)# 此时x为8倍下采样layers_list.append(x)x = self.layer3(x)# 此时x为8倍或者16倍下采样,由本代码的123,125行的 stride_list决定# stride_list[2,1,1]时,就是8倍下采样# stride_list[2,2,1]时,就是16倍下采样layers_list.append(x)x = self.layer4(x)x = self.layer5(x)x = self.layer6(x)# 此时x为8倍或者16倍下采样,由本代码的123,125行的 stride_list决定# stride_list[2,1,1]时,就是8倍下采样# stride_list[2,2,1]时,就是16倍下采样layers_list.append(x)# return 4个feature map,分别是block1,block2,block3,block6的feature mapreturn layers_listdef resnet34_atrous(pretrained=True, os=16, **kwargs):"""Constructs a atrous ResNet-34 model."""model = ResNet_Atrous(BasicBlock, [3, 4, 6, 3], atrous=[1, 2, 1], os=os, **kwargs)if pretrained:old_dict = model_zoo.load_url(model_urls['resnet34'])model_dict = model.state_dict()old_dict = {k: v for k, v in old_dict.items() if (k in model_dict)}model_dict.update(old_dict)model.load_state_dict(model_dict)return modeldef resnet50_atrous(pretrained=True, os=16, **kwargs):"""Constructs a atrous ResNet-50 model."""model = ResNet_Atrous(Bottleneck, [3, 4, 6, 3], atrous=[1, 2, 1], os=os, **kwargs)if pretrained:old_dict = model_zoo.load_url(model_urls['resnet50'])model_dict = model.state_dict()old_dict = {k: v for k, v in old_dict.items() if (k in model_dict)}model_dict.update(old_dict)model.load_state_dict(model_dict)return modeldef resnet101_atrous(pretrained=True, os=16, **kwargs):"""Constructs a atrous ResNet-101 model."""model = ResNet_Atrous(Bottleneck, [3, 4, 23, 3], atrous=[1, 2, 1], os=os, **kwargs)if pretrained:old_dict = model_zoo.load_url(model_urls['resnet101'])model_dict = model.state_dict()old_dict = {k: v for k, v in old_dict.items() if (k in model_dict)}model_dict.update(old_dict)model.load_state_dict(model_dict)return modelfrom aspp import ASPPclass Config(object):# 决定本代码的123,125行的 stride_list的取值OUTPUT_STRIDE = 16# 设定ASPP模块输出的channel数ASPP_OUTDIM = 256# Decoder中,shortcut的1x1卷积的channel数目SHORTCUT_DIM = 48# Decoder中,shortcut的卷积的核大小SHORTCUT_KERNEL = 1# 每个像素要被分类的类别数NUM_CLASSES = 21class DeeplabV3Plus(nn.Module):def __init__(self, cfg, backbone=resnet50_atrous):super(DeeplabV3Plus, self).__init__()self.backbone = backbone(pretrained=False, os=cfg.OUTPUT_STRIDE)input_channel = 512 * self.backbone.block.expansionself.aspp = ASPP(in_chans=input_channel, out_chans=cfg.ASPP_OUTDIM, rate=16 // cfg.OUTPUT_STRIDE)self.dropout1 = nn.Dropout(0.5)self.upsample4 = nn.UpsamplingBilinear2d(scale_factor=4)self.upsample_sub = nn.UpsamplingBilinear2d(scale_factor=cfg.OUTPUT_STRIDE // 4)indim = 64 * self.backbone.block.expansionself.shortcut_conv = nn.Sequential(nn.Conv2d(indim, cfg.SHORTCUT_DIM, cfg.SHORTCUT_KERNEL, 1, padding=cfg.SHORTCUT_KERNEL // 2, bias=False),nn.BatchNorm2d(cfg.SHORTCUT_DIM),nn.ReLU(inplace=True),)self.cat_conv = nn.Sequential(nn.Conv2d(cfg.ASPP_OUTDIM + cfg.SHORTCUT_DIM, cfg.ASPP_OUTDIM, 3, 1, padding=1, bias=False),nn.BatchNorm2d(cfg.ASPP_OUTDIM),nn.ReLU(inplace=True),nn.Dropout(0.5),nn.Conv2d(cfg.ASPP_OUTDIM, cfg.ASPP_OUTDIM, 3, 1, padding=1, bias=False),nn.BatchNorm2d(cfg.ASPP_OUTDIM),nn.ReLU(inplace=True),nn.Dropout(0.1),)self.cls_conv = nn.Conv2d(cfg.ASPP_OUTDIM, cfg.NUM_CLASSES, 1, 1, padding=0)for m in self.modules():if isinstance(m, nn.Conv2d):nn.init.kaiming_normal_(m.weight, mode='fan_out', nonlinearity='relu')elif isinstance(m, nn.BatchNorm2d):nn.init.constant_(m.weight, 1)nn.init.constant_(m.bias, 0)def forward(self, x):# 利用backbone生成block1,2,3,4,5,6,7的feature mapslayers = self.backbone(x)# layers[-1]是block7输出的feature map相对于原图下采样了16倍# 把block7的输出送入asppfeature_aspp = self.aspp(layers[-1])feature_aspp = self.dropout1(feature_aspp)# 双线行插值上采样4倍feature_aspp = self.upsample_sub(feature_aspp)# layers[0],是block1输出的featuremap,相对于原图下采样的4倍,我们将它送入1x1x48的卷积中feature_shallow = self.shortcut_conv(layers[0])# aspp上采样4倍,变成相对于原图下采样4倍,与featue _shallow 拼接融合feature_cat = torch.cat([feature_aspp, feature_shallow], 1)result = self.cat_conv(feature_cat)result = self.cls_conv(result)result = self.upsample4(result)return resultcfg = Config()
model = DeeplabV3Plus(cfg, backbone=resnet50_atrous)
x = torch.randn((2, 3, 128, 128), dtype=torch.float32)
y = model(x)
print(y.shape)

http://chatgpt.dhexx.cn/article/yqJuVWtZ.shtml

相关文章

微信小程序+SpringBoot接入后台服务,接口数据来自后端

文章底部有个人公众号:小兔教你学编程。主要目的是方便阅读。主要分享一些前后端初中级知识、开发实战案例、问题解决等知识。 前言 前两天开发了一个微信小程序项目,只不过接口数据是自己设置的假数据。然后我就想将这些假数据替换掉。这些数据来自接口…

Python3 - 三天学会微信小程序(Python后端研习)

文章目录 一、day01微信小程序1. 问题2. 环境的搭建2.1 Python环境2.2 小程序环境2.2.1 申请一个微信公众平台2.2.2 保存自己的appid2.2.3 下载开发者工具2.2.4 创建项目 3. 开发小程序3.1 全局配置3.2 组件3.2.1 text3.2.2 view3.2.3 image 3.3 样式3.3.1 4. flex布局5. 实战 …

微信小程序快速搭建

1 1. 申请账号 申请账号 1. 进入小程序注册页根据指引填写信息和提交相应的资料,完成账号申请。 说明: 如果跳转后页面出现错误,请刷新访问。 2. 使用申请的微信公众平台账号登录小程序后台,单击开发 > 开发设置,…

【微信小程序】前端+后端 :第一篇(基于javaweb 案例)

博主:👍不许代码码上红 欢迎:🐋点赞、收藏、关注、评论。 文章目录 一、创建javaweb(idea)二、servlet代码三、配置tomcat四、微信小程序端4.1、创建一个新的页面pages4.2、demo2.js4.3、demo2.wxml 五、运…

怎样创建微信小程序?创建小程序难不难?

小程序现在为众多的企业商家提供了营销上的巨大帮助,小程序也已经成为了这些企业商家的标配,即使是初创的企业商家都会先去了解怎样创建微信小程序,创建小程序难不难等问题,那么下面就给大家分享怎样创建微信小程序,创…

uniapp和springboot微信小程序开发实战:后端架构搭建之创建springboot项目

文章目录 使用STS创建boot项目引入项目依赖配置相关信息配置tomcat配置redis配置mysql数据库6.启动服务验证搭建环境使用STS创建boot项目 打开STS,新建Spring Starter Project项目,出现如下所示界面,根据提示填写图片上需要填写的内容。 引入项目依赖 <!-- redis -->…

微信小程序商城搭建小程序服装购物商城+后台

&#x1f345;文末获取联系&#x1f345; 目录 一、项目介绍 5.2.1 小程序端总体框架 二、项目相关截图 三、源码获取 一、项目介绍 计算机毕业设计微信小程序毕设项目之微信小程序服装商城后台管理系统_哔哩哔哩_bilibili计算机毕业设计微信小程序毕设项目之微信小程序服…

微信小程序搭建怎么做?流程是怎么样?【小程序搭建】

随着微信的日益普及&#xff0c;小程序成为了企业必备的营销工具。而在这个过程中&#xff0c;企业也需要搭建一个自己的小程序来进行推广和销售产品或服务。那么微信小程序搭建怎么做呢&#xff1f; 流程一&#xff1a;小程序账号的注册 注册小程序账号有两种方式&#xff1…

基于Python Django框架后端的微信小程序开发

刚做完一个股票信息服务类的微信小程序&#xff08;小程序名字“博股论基”&#xff0c;大家有兴趣可以搜一下&#xff09;&#xff0c;也有一些心得&#xff0c;在这里记录一下开发过程&#xff0c;算是个开发笔记&#xff0c;同时也希望能给需要的同学一些帮助。 ----------…

非常曲折的新手小白微信小程序springboot后端部署阿里云ESC服务器经历

最近因为参加了大学生“互联网”大赛&#xff0c;需要搭建微信小程序&#xff0c;但发现小程序云开发环境居然收费了&#xff01;于是转战springboot完成后端搭建&#xff0c;再用阿里云送的7个月学生免费服务器部署代码&#xff08;高校计划 - 免费学生云服务器&#xff09; 领…

微信小程序登录注册--python搭建后端

这个程序不连数据库&#xff0c;所以一旦python程序重启前面的注册就没用了 这个程序不连数据库&#xff0c;所以一旦python程序重启前面的注册就没用了 这个程序不连数据库&#xff0c;所以一旦python程序重启前面的注册就没用了 这里无脑简单介绍一下这个low到爆炸的小程序…

微信小程序入门04-后端脚手架搭建

我们上一篇已经介绍了权限系统的库表搭建&#xff0c;光有表还是不够的&#xff0c;我们还需要有一个后台系统和数据库进行交互。搭建后台的时候既需要选择使用什么语言&#xff0c;也需要选择框架。 框架分为前端框架和后端框架。在第一篇微信开发者工具搭建的时候我们其实前…

基于node搭建前端服务器,nodejs做微信小程序后端

利用小程序进行云开发必须安装node.js吗 任何一种后台开发语言都是可以的&#xff0c;只要它能够接收到小程序发出的请求&#xff0c;并且能够按照小程序指定的格式&#xff08;通常就是json&#xff09;返回数据给小程序就行。 但是&#xff0c;小程序官方专门为和php制作了…

微信小程序后台服务怎么搭建

小程序是目前最大的流量风口&#xff0c;与APP不同的是小程序的便捷&#xff0c;也就是小程序的核心竞争力与理念&#xff0c;不过小程序和APP的相同点都是属于应用&#xff0c;因此需要后台服务的支持&#xff0c;微信小程序的后台搭建常用到腾讯云&#xff0c;包括云数据库与…

3.1【微信小程序全栈开发课程】在本地搭建后端开发环境

第二章将前端页面的框架基本搭建好了&#xff0c;第三章&#xff0c;我们来做登录功能&#xff0c;登录功能需要在后端获取到用户信息&#xff0c;返回到前端。所以先来搭建后端开发环境 1、后端开发环境介绍 我们的项目用的是前后端分离开发 前端可以理解为微信端&#xff…

微信小程序如何搭建自己的后台(超详细,超完整)(上线必备)!!!

首先&#xff0c;今天是个特殊的日子&#xff0c;请让我先说上一句&#xff1a;幸运女神在微笑 思路 ①&#xff1a;首先我们需要拥有自己的 AppID &#xff08;有点废话了&#xff09;。 ②&#xff1a;我们需要有一个后台&#xff0c;即服务器。域名&#xff08;需备案&am…

人工智能(搜索策略)

有信息搜索(Informed Search)&#xff1a; 1. 又称为启发式搜索(Heuristic Search) 2. 搜索过程中利用与问题有关的经验信息 3. 引入估计函数(evaluation function)来估计节点位于解路径上的“希望”&#xff0c;函数值越小“希望”越大 4. 搜索过程中按照估价函数的大小对…

人工智能-搜索----启发式搜索

搜索算法的形式化描述&#xff1a; <状态state、动作motion、状态转移state transition、路径path、测试目标test target> 一、启发式搜索(有信息搜索)&#xff08;Heuristic Search&#xff09; 代表算法&#xff1a;贪婪最佳优先搜索&#xff08;Greedy best-first…

NeevaAI人工智能搜索引擎来了

***ChatGPT 无法为您提供实时数据或事实验证&#xff0c;而NeevaAI可以** 概述 无跟踪。没有偏见。搜索不受企业影响-这是Neeva的标语。Neeva是一款订阅制搜索引擎&#xff0c;是一款很小众的的搜索引擎&#xff0c;由前Google高管Sridhar Ramaswamy创立。Neeva的目标是为用户…

人工智能之搜索方法

人工智能之搜索方法 人工智能课程复习笔记专题 人工智能绪论 人工智能之知识表示 人工智能之搜索方法 人工智能之经典逻辑推理 人工智能之专家系统 人工智能之不确定推理方法 人工智能之机器学习 一、搜索的基本概念 1、搜索的含义 根据问题实际情况&#xff0c;不…