html中文输入转换成英文,中英文转换,键盘如何中英文切换!

article/2025/10/3 8:54:58

中英文的切换

首先在电脑上安装一个搜狗输入法,可以在搜狗搜索中下载安装。02 输入法安装完。 进入属性设置中,点击【按键】设置选项,首先看到的就是中英文切换设置,这时看到。shift键。楼上,ctrl+空格 是切换中英文输入法。但是在中文输入状态下,切换英文是shift键的。

e3c51444e8ba02dbb9d43e875fb4e6ce.png

你好,键盘上都是有一个大小写转换键的这个是有一个专门的按键的,就是我们键盘上的CAPSLOCK这个按键如图上的这个按键就是切换大小写的,这个键的指示灯亮就。

中文翻译英文转换器

请问输入文字的时候用键盘如何切换中英文?我现在的做法比较2,合上物理。

中英文转换??怎么弄?

方法:以搜狗输入法为例,其他软件类同。1、在文本输入页面,打开输入法,此时为汉字输入状态,如图。2、如需要使用英文小写,可按键盘的Shift键即可切换。3、如。

我现在是收回屏幕,转过来在触摸下改拼音和英文模式的····郁闷大家怎。

英语转化词有哪些

6d582fb394eecdc06a6ff08417820249.png

中英文姓名转换工具分类:软体分享2007/06/2502:53中英文姓名转换工具分类:其他软体相关2006/12/2723:50【。。。输入中文姓名转换成 中英文在线转换:

b404143d1217d69c52434025850606d9.png

默认是同时按CTRL+SHIFT 然后 CTRL+空格 可以直接在当前输入法和最初始的英文输入法间切换. 最后,在桌面下方有一个图标显示当前的输入法.右击然后点设置,里面。

键盘怎么切换中英文

用智能ABC输入时为什么切换不成英文的?小写英文字母不能输入,郁闷死了。

acef5bad3f6895abbd0562411b111078.png

切换输入法:ctrl+shift 同种输入法中英文切换:shift 祝你好运 希望您能采纳我的意见,谢谢了我要写英语演讲稿,但就我目前水平,只会写中文,请给我推荐一个软件,谢。

键盘打字时如何进行中英文切换

电脑键盘打字时中英文如何切换呢?下面就由小编来给大家详细介绍一下吧!1、首先,需要安装输入法,安装完毕之后按照输入法默认设置就可以;或者是您可以尝试使。

电脑键盘怎样切换中英文

你不理解,我无法解释。一切等待机会!

键盘上输入中英问怎么切换

英语的实词不但多义,而且同一词还可以属一种以上的词类。此外,从一种词类又可以转化为另一种词类,其中以⒈名词转化为动词、⒉动词转化为名词以及⒊形容词转化。我的电脑只安装了紫光和英文,如果在英文状态下,按ctrl+space可以切换,。

您好,请问电脑键盘大小写英文怎么互换

中英切换Ctrl+空格,用搜狗等各类拼音法的话 不用切换就可自由地“中英 ” 非常简单 没有人不知道吧?方法是----- 汉字状态时,按回车键就是英文字母(此时按空格键是汉字)你是什么手机?在选项里找输入法,有选择中英文的选项,还可以按#键。

fa59041654e182ed0ad27ce90e3b8456.png


http://chatgpt.dhexx.cn/article/vxsbYpDn.shtml

相关文章

Android中英文切换

前言 在Android开发中,针对不同的客户群体,可能需要使用多国语言来对项目进行支持,那么,对于Android studio,如何实现这个功能呢?比如我们要实现Android程序中英文切换,该怎么做呢?…

Centos7 在英文环境中实现中英文切换

学习记录,参考:CentOS7英文环境下使用中文输入法 - InsideOut - 博客园 1. 安装中文拼音 #yum install ibus 2. 复制(原理不太清楚) #cp /usr/share/locale/zh_CN/LC_MESSAGES/ibus* /usr/share/locale/en_US/LC_MESSAGES 3.…

运用i18n 实现国际化(中英文切换)

使用 vue-i18n 进行Vue国际化处理,使项目切换中英文 1.下载安装插件 命令进入项目目录,执行以下命令安装vue 国际化插件vue-i18n npm install vue-i18n --save 2. 项目增加国际化翻译文件 在项目的src下添加lang文件夹增加中文翻译文件(zh.j…

js实现中英文切换

js实现中英文切换 1.html <!DOCTYPE html><head><title>中英文切换</title><meta charset"UTF-8" /><script type"text/javascript" src"js/jquery.js"></script><script type"text/javasc…

Qt中英文切换(涉及多种场景)

qt中英文切换涉及到一个软件两个文件&#xff0c;分别是QtLinguist、.ts文件和.qm文件。 1、在Pro中添加 TRANSLATIONS en.ts \ch.ts添加这个文件后qmake&#xff0c;然后如下操作点击更新&#xff1a; 这个时候会生成2两个文件en.ts和ch.ts。 2、将这两个文件添加到项目中…

【Windows】中英文切换快捷键Caps

在 Windows 11 下中英文切换使用 Shift 快捷键&#xff0c;在 MacOS 是 Caps 快捷键。使用下面的步骤&#xff0c;就可以将 Windows 的中英文切换快捷键也使用和 Mac 的一样&#xff1a; 下载并安装Powertoys在键盘管理器中增加重新映射键&#xff1a; 设置好之后立即生效&am…

Win10系统中英文切换

购买的大型仪器设备&#xff0c;可能是海关进口的&#xff0c;其配套控制软件可能会运行在英文界面环境&#xff0c;在原配控制电脑故障或者更换时&#xff0c;存在安装英文OS操作系统的需求&#xff0c;经搜索发现Win10操作系统可以直接切换中英文语言&#xff0c;这里记录下&…

VS2019 中英文切换

1.点击工具选项 --->选择选项 2.点击环境--->选择区域设置---->选择English---->点击确认 3.如下图所示中文切换英文完成 4.英文切换中文操作如上步骤

pycharm界面改为中文,中英文切换

打开pycharm&#xff0c;选择“plugins”&#xff08;插件&#xff09;。 在plugins市场的搜索框&#xff0c;输入“chinese” 选择第二个插件&#xff0c;点击插件后面的安装按钮“install”&#xff0c;会自己安装&#xff0c;安装好后&#xff0c;软件会要求重新启动&…

Altium Designer 20的中英文切换

前言 上一篇给大家介绍了怎么安装Altium Designer 20&#xff0c;那么今天这一篇给大家介绍怎么对Altium Designer 20进行中英文模式切换&#xff0c;话不多说&#xff0c;上图&#xff01; 1.双击打开AD 20 2.此时是英文状态下的界面 3.点击设置图标 4.点击System——Genera…

PyCharm中英文版本切换

前几天&#xff0c;同门用我电脑软件pycharm&#xff0c;因为我设置的是英文版的&#xff0c;他啥也看不懂&#xff0c;因此今天分享一下pycharm中文设置方法&#xff0c;快来点赞收藏吧....... 1. 英文切换到中文 点击File&#xff0c;找到Settings 进入Settings&#xff0c…

VS 2022 中英文切换

装了纯净的 win11 pro N 版本系统之后&#xff0c;发现系统是全英文的&#xff0c;卸载又麻烦&#xff0c;将就着用了&#xff0c;在装完 VS 之后&#xff0c;发现默认的也是英文环境&#xff0c;这下玩不转了&#xff0c;所以要换成中文环境&#xff0c;记录下操作过程。 在工…

花一分钟彻底搞懂Mac输入法/中英文/大小写切换

最近有麦友说&#xff1a;没搞懂 Mac 怎么切换输入法、中英文和大小写&#xff0c;比如以前点按大写锁定键就可以切换到大写&#xff0c;现在要长按。有的时候点按大写锁定键或 shift 键都可以切换中英文&#xff0c;有的时候又不行。切换的时候基本就是碰运气瞎按。 之所以会有…

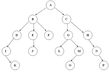
树的深度和高度

定义 深度&#xff1a;对于任意节点n,n的深度为从根到n的唯一路径长&#xff0c;根的深度为0&#xff1b; 高度&#xff1a;对于任意节点n,n的高度为从n到一片树叶的最长路径长&#xff0c;所有树叶的高度为0&#xff1b; 树的高度 &#xff1a;树的高度是它的所有节点中的最…

树的深度和高度的区别

树的深度和高度区别【数据结构】 关于树的深度和高度我一直容易混淆&#xff0c;故写这篇博客记录。 先来看我从PPT里找到的答案 也就是节点的层次/深度是从根开始数的&#xff0c;离根节点的路径长度为深度&#xff0c;根节点的深度为0。 而结点的高度是从叶子节点开始数的&…

树的高度和深度概念

树的高度和深度概念 1.高度2.深度3.总结 1.高度 对于高度的理解&#xff0c;我们不管他数据结构什么什么知识&#xff0c;就拿楼房来说&#xff0c;假如一个人提问&#xff1a;楼房的高度有好高&#xff1f;我们会下意识的从底层开始往上数&#xff0c;假如楼有6层&#xff0c…

图的遍历生成树(深度遍历和广度遍历)

基本思想 深度优先遍历生成森林 1&#xff09;遍历无向图的各顶点&#xff0c;将其作为一个初始点&#xff0c;建立深度优先生成树 2&#xff09;在建树函数DFSTree()中&#xff0c;设置标识&#xff0c;将第一个结点设置为根节点的左孩子&#xff0c;其余结点作为左孩子的兄弟…

关于树的深度和高度的计算

关于树的深度和高度的计算&#xff0c;我看到两个不同的说法&#xff0c;它们的区别就在于到底是从0开始计算还是从1开始计算。&#xff08;网上的和算法题偏向说法二&#xff0c;如果有能找到更加权威的解答望不吝赐教&#xff09; 说法一&#xff1a; 《数据结构与算法分析&…

树的高度与深度--真情版

文章目录 一. 前言二. 大话高度与深度三. OJ题中使用的版本四. 考研中使用的版本五. 总结 一. 前言 数据结构-----树的学习过程中&#xff0c;我们会遇见一些摸棱两可的概念&#xff0c;比如树的度&#xff0c;子树的高度&#xff0c;子树的的深度等。我们时不时的会产生这样的…

树的高度、深度、层的区别

“高度”这个概念&#xff0c;其实就是从下往上度量&#xff0c;比如我们要度量第10层楼的高度、第13层楼的高度&#xff0c;起点都是地面。所以&#xff0c;树这种数据结构的高度也是一样&#xff0c;从最底层开始计数&#xff0c;并且计数的起点是0。 “深度”这个概念在生活…