对模型进行评估时,可以选择很多种指标,但不同的指标可能得到不同的结果,如何选择合适的指标,需要取决于任务需求。
针对二元分类结果,常用的评估指标有如下三个:查准率(Precision)、查全率(Recall)以及F-score。这篇文章将讨论这些指标的含义、设计初衷以及局限性。
一、二元分类问题
在机器学习领域,我们常常会碰到二元分类问题。这是因为在现实中,我们常常面对一些二元选择,比如在休息时,决定是否来一把吃鸡游戏。不仅如此,很多事情的结果也是二元的,比如向妹子表白时,是否被发好人卡。
当然,在实际中还存在一些结果是多元的情况,比如从红、黄、蓝三种颜色中,选择一个,而这些多元情况对应着机器学习里的多元分类问题。对于多元分类问题,在实际的处理过程中常将它们转换为多个二元分类问题解决,比如图1所示的例子。

那么自然地,一个多元分类结果可以分解为多个二元分类结果来进行评估。这就是为什么我们只讨论二元分类结果的评估。
1、混淆矩阵
在机器学习领域,混淆矩阵(confusion matrix),又称为可能性表格或是错误矩阵。它是一种特定的矩阵用来呈现算法性能的可视化效果,通常是监督学习(非监督学习,通常用匹配矩阵:matching matrix)。其每一列代表预测值,每一行代表的是实际的类别。这个名字来源于它可以非常容易的表明多个类别是否有混淆(也就是一个class被预测成另一个class)。
在分类任务下,预测结果(Predicted Condition)与正确标记(True Condition)之间存在四种不同的组合,构成混淆矩阵(适用于多分类)

二、评估标准
1、准确率
estimator.score()
- 一般最常见使用的是准确率,即预测结果正确的百分比
2、精确率(查准率)
预测结果为正例样本中真实为正例的比例(查得准)

3、召回率(查全率)
真实为正例的样本中预测结果为正例的比例(查的全,对正样本的区分能力)

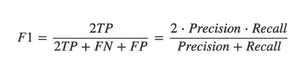
4、F-score
在实践中,我们定义了新的指标去“综合”这两个指标。具体的定义如公式(3),从数学上来看,它其实是查准率与查全率的调和平均数。对于二元分类问题,F-score 综合考虑了预测结果的查准率和查全率,是一个比较好的评估指标。


其实从模型的角度来看,查准率与查全率的“相互矛盾”给了我们更多的调整空间。应用场景不同,我们对查准率和查全率的要求是不一样的。在有的场景中,关注的焦点是查全率。例如对于网上购物的衣服推荐,电商平台关心的是那些对衣服感兴趣的客户,希望模型对这些客户的预测都正确;而那些对衣服不感兴趣的客户,即使模型结果有较大偏差,也是可以接受的。也就是说,电商平台重视查全率,但不太关心查准率。这时就可以调低模型的预测标准,通过牺牲查准率来保证查全率。但在有的场景中,查准率才是重点。例如在实时竞价(RTB)广告行业,有3种参与者:需要在互联网上对产品做广告的商家,比如Nike;广告投放中介(DSP);广告位提供者,比如新浪网。Nike将广告内容委托给广告投放中介A,A通过分析选定目标客户群。当目标客户访问新浪网时,A向新浪网购买广告位并将Nike广告推送给他。如果该客户点击了Nike广告,Nike会向投放中介A支付相应费用。否则,全部费用由中介A承担。那么对于广告投放中介A,它希望投放的每条广告都会被点击,但不太关心是否每个对Nike感兴趣的客户都被推送了广告。换句话说,广告投放中介更关心查准率。于是可以通过调高模型的预测标准来提高查准率,当然这时会牺牲一部分查全率。
对于这些偏重某一特定指标的场景,相应地定义指标(其实是的一个特例)。当靠近0时,偏向查准率,而很大时,则偏向查全率:

查准率、查全率和F-score是最为常用的二元分类结果评估指标。其中查准率和查全率这两个指标都只侧重于预测结果的某一个方面,并不能较全面地评价分类结果。而F-score则是更加“上层”的评估指标,它建立在前面两个指标的基础上,综合地考虑了分类结果的精确性和全面性。
三、分类评估API
sklearn.metrics.classification_report
1、案例使用(fetch_20newsgroups)
from sklearn.datasets import fetch_20newsgroups
from sklearn.model_selection import train_test_split
from sklearn.naive_bayes import MultinomialNB
from sklearn.feature_extraction.text import TfidfVectorizer
from sklearn.metrics import classification_reportdef naivebayes():"""朴素贝叶斯进行文本分类:return:None"""news = fetch_20newsgroups(subset='all')#进行数据分割x_train, x_test, y_train, y_test = train_test_split(news.data, news.target, test_size=0.25)#对数据集进行特征抽取tf = TfidfVectorizer()x_train = tf.fit_transform(x_train) #以训练集当中的词的列表进行每篇文章重要性统计x_test = tf.transform(x_test)#进行朴素贝叶斯算法的预测mlt = MultinomialNB(alpha=1.0)mlt.fit(x_train, y_train) #训练集的特征值以及目标值y_predict = mlt.predict(x_test)print("预测的文章类别为:", y_predict)#得出准确率print("准确率为:", mlt.score(x_test, y_test))print("每个类别的精确率和召回率:")print(classification_report(y_test, y_predict, target_names=news.target_names))return Noneif __name__ == '__main__':naivebayes()

















