MATLAB学习笔记_Day03灰色关联分析和灰色预测模型

article/2025/10/21 8:03:13

学习视频:【零基础教程】老哥:数学建模算法、编程、写作和获奖指南全流程培训!

文章目录

  • 1. 灰色关联分析与预测模型
    • 适用范围:
    • 1.1 灰色预测的概念
    • 1.2 灰色关联度与优势分析
    • 1.3 灰色预测模型
    • 1.4 灰色模型GM(1,1)
    • 1.5 灰色预测步骤

1. 灰色关联分析与预测模型

适用范围:

关联分析: 是一种多因素统计分析方法,它是以各因素的样本数据为依据用灰色关联度来描述因素间关系的强弱、大小和次序,若样本数据反映出的两因素变化的态势(方向、大小和速度等)基本一致,则它们之间的关联度较大。

预测模型: 对原始数据进行生成处理来寻找系统变动的规律,生成有较强规律性的数据序列,然后建立相应的微分方程模型,从而预测事物未来发展趋势的状况。

优点:
1、不需要大量样本。

2、样本不需要有规律性分布。

3、计算工作量小。

4、定量分析结果与定性分析结果不会不一致。

5、可用于Recent、短期、中长期预测。

6、灰色预测准确度高。

1.1 灰色预测的概念

如果你在队内承担的是算法的工作,请将重心放在对算法的理解和修改上。
本博客概念内容不是很重要。本人只是摘录了核心,要了解全貌还要看其他博主的优秀内容!

(1)灰色系统是什么?

灰色系统内的一部分信息是已知的,另一部分信息是未知的,系统内各因素间有不确定的关系

(2)灰色预测法

灰色预测法是一种对含有不确定因素的系统进行预测的方法。

(3)灰色预测的四种常见类型

时间序列预测:预测未来某一时刻的特征量,或达到某一特征量的时间。

畸变预测:预测异常值出现的时刻。

系统预测:预测系统中众多变量间的相互协调关系的变化。

拓扑预测:将原始数据做曲线,在曲线上按定值寻找该定值发生的所有时点,并以该定值为框架构成时点数列,然后建立模型预测该定值所发生的时点。

1.2 灰色关联度与优势分析

灰色关联度是分析向量与向量之间(矩阵与矩阵)之间的关联度。而要计算关联度,一定是计算某一个待比较的参照之间的相关程度。

在这里插入图片描述
关于式(1),令i = 1,分子的第一个式子是求参考数列和原数列(矩阵第一行) 的差值,并用绝对值表示,取最小值。再将i从1递增到m,得到一个最小值的数列,并取该数列中的最小数作为分子的第一个式子。同理剩下的式子。
而分母的第一个式子,参考数列和原数列差的绝对值,也很好理解。

在这里插入图片描述
在这里插入图片描述

1.3 灰色预测模型

灰色系统理论认为,尽管客观表象复杂,但总是有整体功能的,因此必然蕴含某种内在规律。关键在于如何选择适当的方式去挖掘和利用它。灰色系统是通过对原始数据的整理来寻求其变化规律的,这是一种就数据寻求数据的现实规律的途径,即为灰色序列的生成。一切灰色序列都能通过某种生成弱化其随机性,显现其规律性。 数据生成的常用方式有累加生成、累减生成和加权累加生成。

累加生成:第一项不变,第二项 = 第一项 + 原第二项,第三项 = 第二项 + 原第三项…
累减生成:第一项不变,第二项 = 原第二项 - 第一项,第三项 = 原第三项 - 第二项…
加权累加生成:第一项不变,第二项=a第一项 + (1 - a)原第二项…

在这里插入图片描述
在这里插入图片描述

映衬了我们说的:一切灰色序列都能通过某种生成弱化其随机性,显现其规律性。

在这里插入图片描述

1.4 灰色模型GM(1,1)

灰色系统理论是基于关联空间、光滑离散函数等概念定义灰导数与灰微分方程,进而用离散数据列建立微分方程形式的动态模型,即灰色模型是利用离散随机数经过生成变为随机性被显著削弱而且较有规律的生成数建立起的微分方程形式的模型,这样便于对其变化过程进行研究和描述。

以下是PPT中介绍的模型建立,建模和写论文的同学要仔细理解。

在这里插入图片描述

在这里插入图片描述

在这里插入图片描述

注意(2)和(1)的区别

在这里插入图片描述

1.5 灰色预测步骤

在这里插入图片描述

在这里插入图片描述

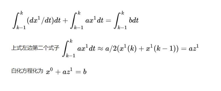
数列x是1次累加生成数列,
x1(k+1) = x0(k) + x1(k)
自然:x0(k+1) = x0(k) = x1(k+1) - x1(k)

在这里插入图片描述


http://chatgpt.dhexx.cn/article/uithLQF8.shtml

相关文章

灰色系统理论与灰色关联分析模型

灰色系统理论与灰色关联分析模型 Author:丸子 Written on: 220211 Notes:包括灰色系统知识和灰色关联分析模型两部分 笔记课程来自b站网课老哥带你学数模书本为《数学建模算法与应用(第3版)》,司守奎编著第424页 文章目录 灰色系统理论与灰色…

Python 灰色关联度 灰色预测模型

灰色关联度 灰色关联度常用于分析影响因子与被影响因子的关联,是水论文的好东西 如果数据的量纲不统一的话,需要先进行归一化处理 import numpy as npdef gray_correlation(refer, data, rho0.5): refer: 参照数列 (列向量)data: 比较数列 (以列为单位…

备战数学建模15-灰色关联分析与灰色预测模型

目录 一、灰色系统理论与灰色关联分析 1-灰色预测的概念 2-灰色关联度与优势分析 3-灰色关联分析案例分析 4-灰色生成数列 二、灰色预测模型 1-灰色模型GM 2-灰色模型GM的建模步骤 3-灰色预测经典案例1 4-灰色预测模型经典案例2 一、灰色系统理论与灰色关联分析 1-灰…

C语言:关键字----switch、case、default(开关语句)

C语言:基础开发----目录 C语言:关键字—32个(分类说明) 有32个关键字详细说明,还有跳转链接! 一、开关语句----介绍 开关语句,包括以下四种关键字: switch:开关语句case: 开关语句…

C语言关键字auto,case,default,switch应该如何使用

前言:本文章主要用于个人复习,追求简洁,感谢大家的参考、交流和搬运,后续可能会继续修改和完善。 因为是个人复习,会有部分压缩和省略。 一、auto 1.c语言中,关键字auto用于声明一个变量为自动变量&#x…

C语言-switch-case语句与多分支结构

一、switch-case语句 1. switch语句中的每个语句段中都使用break语句 switch-case语句的一般形式为: switch (表达式){case 常量表达式1: 语句段1;break;case 常量表达式2:语句段2;break;...case 常量表达式n:语句段n;break;default:语句段n1;break;}这是switch-c…

C语言——switch case 语句判断学生成绩

C语言——switch case 语句判断学生成绩 switch case 讲解: switch(),在括号里输入所定义的变量,接着在()后面输入一个{}大括号,把每一个分支语句放在大括号中。 switch()写法: int main()…

C语言--switch case 语句,case 后没有语句

背景:在看 wireshark 的解析协议部分的源码时,发现很多的 switch case 语句,case 后没有语句 的情况,随处可见的这种情况,产生疑惑,报文解析就是很好的例子。 例如:wireshark-3.2.17/epan/diss…

补充switch语句的内容和逗号运算符(C语言case后没有break的switch语句,会继续执行后面的语句再退出)

补充switch语句的内容和逗号运算符 C语言case后没有break的switch语句,会继续执行后面的语句再退出补充逗号运算符 C语言case后没有break的switch语句,会继续执行后面的语句再退出 对于switch语句,我们在使用的时候都会注意使用的规范&#…

c语言 case break,C语言中switch...case语句中break的重要性

在C语言中switch...case语句是经常用到的,下面我介绍一下在使用该语句时候需要注意的一个细节问题。话不多说,直接举例子: 例子1: switch(fruit) { case 1:printf("apple"); break; case 2:printf("banana");…

C语言CASE语句嵌套,C语言中switch case语句的嵌套

给一个含有嵌套的switch case的一段完整代码: #include int main() { int n1; int m2; switch(n) { case 1: m; case 2: n; case 3: switch(n) { case 1: n; case 2: m; n; break; } case 4: m; break; default: break; } printf("%d %d",m,n); return 0…

c语言 switch案例,c语言switch case语句使用例子

c语言switch case语句使用例子 发布时间:2020-04-23 11:48:53 来源:亿速云 阅读:421 作者:小新 这篇文章主要为大家详细介绍了c语言switch case语句使用例子,文中示例代码介绍的非常详细,具有一定的参考价值…

c语言的case语句怎么用,c语言的switchcase语句用法

凡是使用过的人都会有同2113样的感觉—5261—C语言的使用灵活这个特点既是优点又是4102缺点, 因为对1653精通C语言的用户来讲, 灵活就意味着编程可以无拘无束, 甚至随心所欲; 但对初学者或者是尚未摸着规律的用户来说,…

case是c语言变量名吗,case是什么意思_c语言中case是什么意思

c语言中case是什么意思 是程序的入口,一般结合switch使用 举个例子: int a=2; switch(a){ case 1:prinf("1");break; case 2:prinf("2");break; default:prinf("3"); } 就表示根据a的值进行判断,a的值与 case后面的哪个值相等,就执行哪个cas…

【C语言】case 关键字

🚩write in front🚩 🔎大家好,我是謓泽,希望你看完之后,能对你有所帮助,不足请指正!共同学习交流🔎 🏅2021年度博客之星物联网与嵌入式开发TOP5&#xff5…

c语言库函数总结----math.h库

思维导图大纲 前言 上回总结了string.h常用的字符串操作函数,这次总结一下另外的一个库函数math.h和数字运算有关联的库。 double acos(double x) 函数原型:double acos(double x) 功能:返回以弧度表示的 x 的反余弦。arcos(x);//时间:2019年11月15日 //作者:Kroner //编…

c语言实现库函数

目录 一.strlen函数 1.描述 2.实现 1.计数的方法 2.函数递归的方法 3.指针 - 指针方法 二.strcmp函数 1.描述 2.实现 三.strcpy函数的实现 1.描述 2.实现 四.strcat函数的实现 1.描述 2.实现 五.strstr函数的实现 1.描述 2.实现 1.BF算法实现 2.kmp算法的实现…

C语言 库函数:qsort 详解

目录 1.qsort的介绍与使用方法 2.介绍void*​ 3.举例使用qsort​ 4. qsort的模拟实现&#xff0c;了解其运作原理​ 1.qsort的介绍与使用方法 2.介绍void* 3.举例使用qsort #define _CRT_SECURE_NO_WARNINGS 1 #include<stdio.h> #include<stdlib.h> #include…

C语言库函数查找工具MSDN

一、前言   库函数在我们写程序的时候会在很大程度上提高我们的效率&#xff0c;我知道很多人可能像我一样&#xff0c;很多时候并不是不知道可以用库函数来实现&#xff0c;但就是不知道库函数如何使用&#xff0c;所以今天呢博主就来推荐资源了——C语言库函数查找工具《MS…

文件编程概念(C语言库函数系统调用API)

文件编程&#xff08;文件IO&#xff09; 文件编程就是操作文件&#xff0c;对文件进行打开&#xff0c;关闭&#xff0c;读、写等操作&#xff08;个人理解&#xff09;。之前C语言编写程序运行都是对键盘和显示器进行的&#xff0c;运行程序时会默认打开的三个文件 标准输入流…