题目:
一个未知参数θ影响一个随机变量实验的结果,这个随机实验可以看成随机变量x。x的PDF为

进行一系列的实验,发现x总是在区间[97,103]内。结果我们得出结论:θ肯定是100,这种推测正确么?
解答:
从x的pdf可以得到,x服从均值θ,方差为1的标准正态分布。
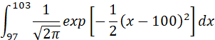
理论上来说,θ可以是任意值。我们可以计算不同θ时,实验结果落在区间[97,103]内的概率,例如当θ为100时,进行一系列实验,观察x在区间[97,103]内的概率为:


![]()
![]()
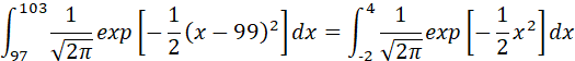
当θ为99时,进行一系列实验,观察x在区间[97,103]内的概率为:

![]()
下图给出了θ在[96,104]取值区间内时,进行一系列实验,观察x在区间[97,103]内的概率。从图中我们可以得到结论,当θ=100时,进行一系列实验,观察x在区间[97,103]内的概率最大,可达到99.73%。但没有办法得到结论θ一定是100。

附画出上图的matlab代码:
close all; clear all; clc;
x=-4.5:0.01:4.5;
y=normpdf(x,0,1);
figure('Name', 'PDF','NumberTitle', 'off')
plot(x,y)
figure('Name', 'CDF','NumberTitle', 'off')
y=normcdf(x,0,1);
plot(x,y)
t=96:0.1:104;
t1=103-t;
t2=97-t;
y=normcdf(t1,0,1)-normcdf(t2,0,1);
figure('Name', 'Result','NumberTitle', 'off')
plot(t,y)


















