有些情况下,我们需要处理源自同一张图像的不同分辨率的图像集合。这些不同分辨率的图像组成的集合称为图像金字塔。
图像金字塔的主要类型可分为低通和带通
有两种常用图像金字塔:
- Gaussian Pyramid (低通)
- Laplacian Pyramids (带通)
之所以称为金字塔,是因为金字塔底部由大尺寸的原图组成,越往上层,尺寸越小,堆叠起来就是一个金字塔的形式:
金字塔的生成过程
- 低通金字塔:使用一个恰当的平滑filter对图像进行平滑处理,接着对平滑之后的图像进行下采样(subsampling),下采样因子通常为2.(分别对应各个坐标轴)。继续对得出的结果图像做相同的操作,重复这个步骤多次。每循环一次,会得出一副更小的、平滑程度更高的、分辨率更低的图像。
如果把原图放在最底部,之后每一次的生成图像都堆叠到上一次的结果之上,就形成了金字塔的形状 - 带通金字塔:通过将金字塔中相邻两层图像做差得到。由于相邻两层图像尺寸不同,因此需要进行一些图像插值操作,已达到计算像素间差值的目的。
具体的,拉普拉斯金字塔(Laplacian Pyramids)中的每一层,是由高斯金字塔的对应层以及高一层(需要先插值放大)做差而成。
Scale Space 尺度空间
尺度空间: 将一幅图像表示为一系列的平滑图像,称为尺度空间表示,这些平滑图像可参数化表示为平滑核(用于抑制细尺度结构)的尺寸。
定义:
尺度空间的概念适用于有着任意数目变量的信号。而其在二维图像上的应用是最常见的。
尺度空间的其中一个主要类型,就是线性(高斯)尺度空间。高斯尺度空间因其良好的性质而被广泛地应用。
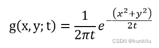
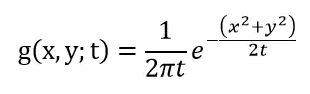
对于给定的一副二维图像 f(x,y),他的线性(高斯)尺度空间表示是由一系列的派生信号L(x,y;t)所组成,其中L(x,y,;t)由f(x,y)与一个二维高斯核卷积而成,其中二维高斯核定义如下:

因此有:

其中 * 号代表卷积。 分号表示卷机操作只对 x,y 这两个变量进行,t仅指代定义好的尺度级别(scale level)。上述L 适用于连续的尺度级别 t≥0, 但一般情况下仅会考虑离散的一组t
尺度参数 t=σ^2 是高斯filter的方差。当t趋于零时,g就成为了一个脉冲函数(除了零点,别处的函数值都为零),则有 L(x,y;0)=f(x,y), 也就是说,位于尺度级别 t = 0 的尺度空间表示(scale-space representation)就是原图本身。随着t的增大,越来越大的filter被作用于图像f,形成平滑度越来越高的L,以至于原图中越来越多的细节被丢弃。由于每个filter的标准差为σ=√t, 对于位于尺度等级t的图像,远小于√t的细节很大程度上会被丢弃。
关于filter的选取
并非任何低通filter都可用于生成尺度空间。可用于生成尺度空间的filter必须满足以下一点:由该平滑filter生成的粗尺度图像(高层图像)不会引入不存在于细尺度图像(低层图像)中的杂散结构。换言之,给定粗尺度图像中的任何一个区域,细尺度图像上总能找到相应的区域。这两个区域相比,粗尺度图像区域不能够有新的结构。
受制于尺度空间公理,高斯卷积核是实现尺度变换的唯一线性核。
为什么要提出尺度空间?
在现实世界中,物体在不同尺度下,有着不同的结构。这就表明,我们如果从不同的尺度去观察同一个物体,会得出不一样的结果。比如,观察一棵树的适当尺度应该是“米”,而观察一片叶子可能需要更细粒度的尺度才能得出较好的结果。 当计算机系统要对一个未知的场景进行分析时,并不能够提前预知要用什么样的尺度来对图像信息中的兴趣结构(interesting structures)进行描述才是最合适的。因此,唯一可行的方案就是将多个不同尺度的描述都考虑进来,以便捕获未知的尺度变化。
尺度空间理论和生物视觉之间也有着十分密切的联系。哺乳动物的视网膜以及视觉皮层第一阶段所记录的接受场的分布,与许多尺度空间操作都高度近似。
参考链接:
https://en.wikipedia.org/wiki/Scale_space
http://opencv-python-tutroals.readthedocs.io/en/latest/py_tutorials/py_imgproc/py_pyramids/py_pyramids.html
https://en.wikipedia.org/wiki/Pyramid_(image_processing)
作者:Kangel_Zenn
链接:https://www.jianshu.com/p/cefbdc2dc5b9
来源:简书
著作权归作者所有。商业转载请联系作者获得授权,非商业转载请注明出处。


















