约束度与自由度

article/2025/10/13 11:40:25

约束度与自由度

无论是在机械原理与机械设计课程,还是在理论力学课程中,我们都会遇到约束度与自由度,但我未曾想在宇哥的线性代数课上也能听到这两个熟悉的名词。在线性代数第四讲线性方程组课程中,宇哥在讲到齐次线性方程组的有解条件时,将知识点的高度上升到了整个线性代数知识体系,我听完之后觉得自己学到了真正的数学。唉,感叹大多数当代大学生学习高数线代概率论时的死记硬背、临时抱佛脚,完全没有领略到数学的真谛。虽然我在数学方面也没有什么天赋,但是在宇哥的带领之下,我却真正感受到学习数学的快乐,体会到似乎能将一串数学知识融会贯通的舒适感。

哈哈,废话不多说,今天我想给大家稍稍传授一下宇哥当时的知识拔高:

齐次线性方程组

01

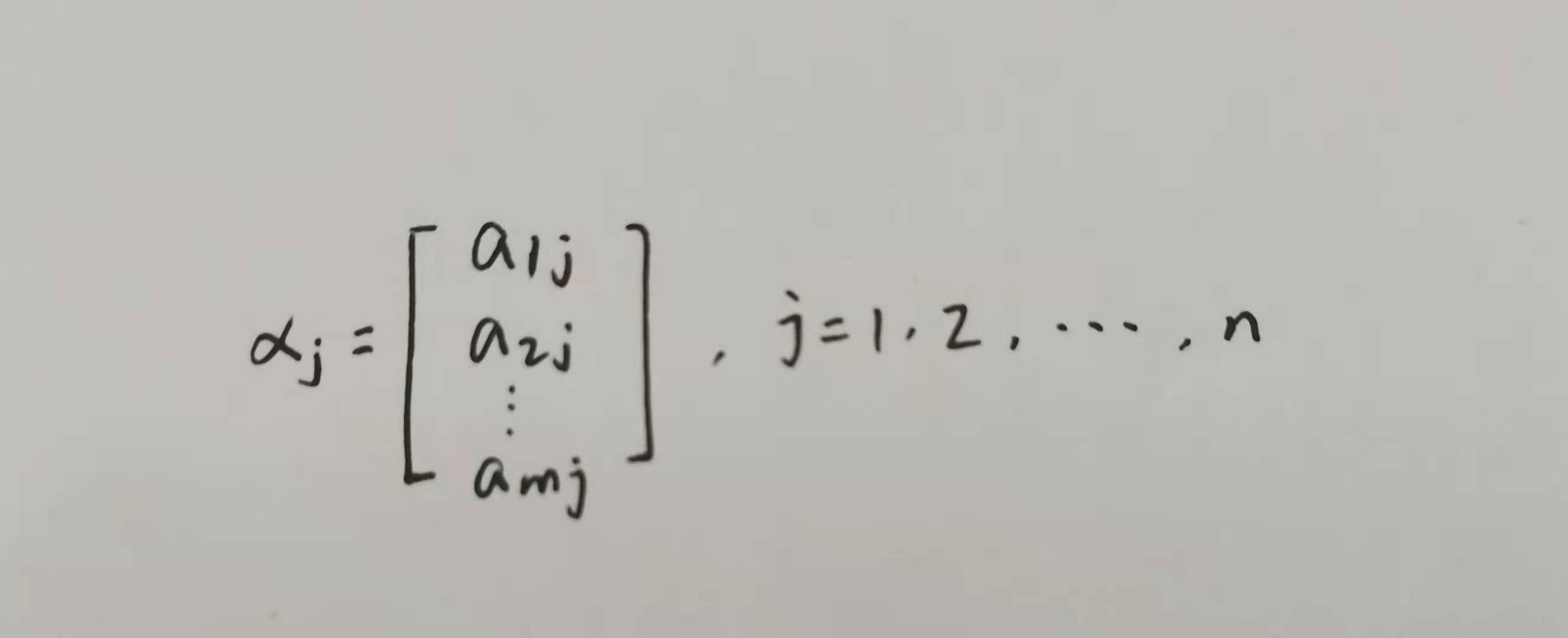
以上方程组称为m个方程n个未知量的齐次线性方程组,其向量形式如下:

02

其中,

03

其矩阵形式为:

04

其中,

05

则有解条件之一为:当矩阵A的秩 r(A)=r<n 时(α1,α2, … ,αn 线性相关),方程组有非零解,且有 n-r 个线性无关解。

06

07

08

09

最后,给大家补充一下机械原理与机械设计课程中所述的运动副的约束度与自由度

① 构件的自由度 (f):指一个构件相对另一个构件可能出现的独立运动。空间自由构件有6个自由度,平面自由构件有3个自由度

② 约束度 (s) :两构件间组成运动副后,相互间的相对运动受到某些限制,这种限制的程度称为相对约束度,简称约束度。

结论:运动副引入的约束数等于两构件相对自由度减少的数目。


http://chatgpt.dhexx.cn/article/qWZwOTwB.shtml

相关文章

这是你希望的自由职业么

每到周末文章的打开率和阅读量就变得惨淡的不行&#xff0c;索性就不分享干货&#xff0c;闲聊一下九月份私活结束后的自由职业经历。看看这是否是你向往的自由职业生活状态么&#xff1f; 九月份&#xff0c;忙完了手头的项目&#xff0c;也没心思找工作&#xff0c;一心想着借…

计算机屏幕截图按什么键,电脑按什么键自由截图

在我们工作生活中经常需要用到电脑截图来截取保存些重要信息&#xff0c;不过对于电脑新手来说还是不太清楚电脑怎么截图&#xff0c;问小编电脑按什么键自由截图。那今天小编就给大家介绍一个电脑截图的快捷方式&#xff0c;希望能帮到大家。 台式电脑使用快捷键进行截图&…

什么是机器人的自由度

自由度是机器人的一个重要技术指标&#xff0c;它是由机器人的结构决定的&#xff0c;并直接影响到机器人的机动性。 1. 刚体的自由度 物体上任何一点都与坐标轴的正交集合有关。物体能够对坐标系进行独立运动的数目称为自由度&#xff08;DOF&#xff0c;degree of freedom)。…

讲讲什么是自由度

总第223篇/张俊红 我们在前面的方差分析中有提过一个概念就是自由度&#xff0c;在前面文章中给了一个计算就是自由度样本数-1。这一篇就来具体聊聊什么是自由度。 先来看看百度百科的解释&#xff1a; 自由度(degree of freedom, df)指的是计算某一统计量时&#xff0c;取值不…

什么是自由软件?

关注星标公众号&#xff0c;不错过精彩内容 来源 | www.gnu.org 编排 | strongerHuang 可能你认为免费软件&#xff0c;就是自由软件&#xff0c;那么你肯定错了&#xff0c;下面来听听专家怎么描述自由软件的。 strongerHuang 1 自由软件定义 开源&#xff08;Open source&…

解构“自由”

“知乎”上有一个高票答案&#xff0c;研究了“什么样的人最自由”这个问题&#xff0c;作者“清流”说1&#xff1a; 我以前跟我的第一任老板讨论过一个问题&#xff1a;人类想要自由还是不想&#xff1f;结论是&#xff0c;绝大多数人本质上是不想要自由的&#xff0c;他们想…

Kettle工具入门

Kettle工具入门 Kettle工具入门 Kettle是什么&#xff1f;为什么要用Kettle&#xff1f;怎么用Kettle&#xff1f; 下载运行简单应用 表到表转换json到表的操作参考 Kettle是什么&#xff1f; Kettle是水壶。 “多喝热水”是我们对女朋友美好的祝福。因为未经处理的生水&#…

kettle安装及使用

文章目录 1、kettle简述1.1、kettle是什么 2、kettle安装配置2.1、先决条件2.1.1、安装jdk8 2.2、kettle下载2.3、打开kettle 3、kettle基本概念3.1、转换和作业3.2、运行工具3.2.1、SPOON3.2.2、KITCHEN和PAN3.2.3、Carte kettle基本使用及常见问题 1、kettle简述 1.1、kettl…

Kettle的下载安装教程和使用简介(内含第一个kettle转换案例)

本文首先介绍Kettle工具的安装及基本概念&#xff0c;然后通过一个案例实操介绍Kettle工具的使用。 本文重要的内容如下&#xff1a; Kettle的安装 1.Java的安装 登录Java的官网后&#xff0c;进入到下载页面&#xff1a;http://www.oracle.com/technetwork/java/javase/downl…

kettle Hello World教程

kettle Hello World教程 1、HelloWorld 示例 通过这个例子&#xff0c;介绍kettle的一些基础知识及应用&#xff1a; n 使用Spoon工具 n 转换的创建 n 步骤及连线 n 预定义变量 n 在Spoon中预览和执行 n 使用pan工具在终端窗口执行转换 概述 我们要实现的目标是…

kettle入门

目录 前言 一、kettle是什么 二、kettle 安装与基本使用 2.1 kettle 安装 2.2 kettle的基础使用 2.21 做一个简单的转换样例 2.2.2 小技巧 三、转换常用组件使用 3.1 输入模块 3.1.1 生成记录 3.1.2 表输入 3.2 输出模块 3.2.1表输出 3.3.2 插入/更新 3.3.3 更新 …

最新版kettle安装教程!!!

终于又想起来要把ketlle装好了&#xff0c;原先我是在虚拟机用的kettle&#xff0c;可是切换还是太麻烦了&#xff0c;今天想说装一个mac版的。进到官网发现它已经换地址了。。。 好巧不巧&#xff0c;刚好是6月5号换的。sad。 1、下载kettle 其实kettle的下载文件是mac和wi…

Kettle使用教程(一)

Kettle自己有三个主要组件&#xff1a;Spoon&#xff0c;Kitchen&#xff0c;Pan。其中Spoon是一个图形化的界面&#xff0c;用于windows的时候&#xff0c;先设置环境变量&#xff1a;pentaho_java_home&#xff0c;例如&#xff1a;C:\Program Files\Java\jdk1.7.0_25&…

Kettle — 安装和部署

前提 Kettle是纯Java编写的ETL开源工具&#xff0c;目前Kettle7和Kettle8都需要Java8或者以上才能正常运行。所以开运行Kettle前先检查Java环境是否正确配置&#xff0c;Java版本是否是8或者以上。 Kettle安装 1&#xff09;创建Kettle的目录&#xff0c;并将Kettle的zip包解…

kettle实战教程-纯实战开发

kettle实战教程-纯实战开发 欢迎关注笔者的公众号: java大师, 每日推送java、kettle运维等领域干货文章&#xff0c;关注即免费无套路附送 100G 海量学习、面试资源哟&#xff01;&#xff01;个人网站: http://www.javaman.cn/kettle/kettle-actual Kettle简介&#xff1a;Ket…

Kettle安装及配置

安装环境说明 jdk 采用 jdk-8u102-windows-x64 kettle采用kettle 8.2 文末&#xff0c;博主会将kettle下载地址附上&#xff0c;还包含其他版本&#xff08;作为本专栏开博小福利&#xff09;。kettle9.0版本以下&#xff0c;本教程都适用&#xff0c;kettle9.0及更新的其他版本…

Kettle的安装和使用

Kettle简介 Kettle是一款国外开源的ETL工具&#xff0c;纯java编写&#xff0c;可以在Window、Linux、Unix上运行&#xff0c;数据抽取高效稳定。 Kettle是“Kettle E.T.T.L. Envirnonment“只取首字母的缩写&#xff0c;这意味着它被设计用来帮助你实现你的 ETTL 需要&#…

Kettle 使用详解

第0章 ETL简介 ETL (Extract-Transform-Load 的缩写&#xff0c;即数据抽取、转换、装载的过程)&#xff0c;对于企业或行业应用来说&#xff0c;我们经常会遇到各种数据的处理&#xff0c;转换&#xff0c;迁移&#xff0c;所以了解并掌握一种ETL工具的使用&#xff0c;必不可…

Kettle基础操作

目录 Kettle基础操作 1 启动Kettle 2 创建本地资源库 3 基础操作 3.1 新建转换 3.2 新建作业 3.3 节点连接 4 导入/导出资源库 5 创建数据库连链接 Kettle基础操作 1 启动Kettle 前置环境&#xff1a;JDK 1.7以上、IE浏览器升级至IE10以上&#xff08;Kettle7.0以下…

kettle(一)kettle介绍

kettle介绍及组成 一、kettle 是什么 kettle 是一个ETL工具&#xff0c;ETL&#xff08;Extract-Transform-Load&#xff0c;数据抽取、转换、装载&#xff09;&#xff1b; kettle 是java编写&#xff0c;绿色无需安装&#xff0c;抽取高效稳定&#xff1b; kettle 主要用来…