【FLFL】

article/2025/10/6 0:46:33

论文记录

    • 1. 3.3《基于区块链的联邦学习技术综述》
    • 2. 3.4《Swarm Learning for decentralized and confidential clinical machine learning》
    • 3. 3.8《Blockchained On-Device Federated Learning》
    • 4. 3.11《FLchain: Federated Learning via MEC-enabled Blockchain Network》
    • 5. 《BatchCrypt: Efficient Homomorphic Encryption for Cross-Silo Federated Learning》4.5
    • 6. 《FLASHE: Additively Symmetric Homomorphic Encryption for Cross-Silo Federated Learning》4.6
    • 7. 《Privacy-Preserving Deep Learning》4.15
    • 8. 《Privacy-Preserving Deep Learning via Additively Homomorphic Encryption》4.19
    • 9.《联邦学习》杨强 4.横向联邦 5.4
    • 10《Practical Secure Aggregation for Privacy-Preserving Machine Learning》5.10

1. 3.3《基于区块链的联邦学习技术综述》

李凌霄, 袁莎, 金银玉. 基于区块链的联邦学习技术综述[J]. 计算机应用研究, 2021, 38(11):9. 1.
在这里插入图片描述

2. 3.4《Swarm Learning for decentralized and confidential clinical machine learning》

Warnat-Herresthal S , Schultze H , Shastry K L , et al. Swarm Learning for decentralized and confidential clinical machine learning[J]. Nature, 2021, 594(7862).
在这里插入图片描述
Q1:理论上解决FL中的中心集权、星型结构容错问题,实验对比的是单个节点和SL的表现;
Q2:Swarm网络的具体结构;
Q3:其他FL结合区块链的文章;

参考资料:
https://zhuanlan.zhihu.com/p/390643188
github代码:
https://github.com/schultzelab/swarm_learning

3. 3.8《Blockchained On-Device Federated Learning》

H Kim, Park J , Bennis M , et al. Blockchained On-Device Federated Learning[J]. IEEE Communications Letters, 2020, 24(6):1279-1283.

序言
1.首先介绍了中心式FL的局限性(以Google的vanilla为例):
 1)中心Server易受攻击
 2)对参与方无激励机制
2.BLockFL采用区块链结构的两种改进
 1)单点故障(区块链上数据无法篡改)
 2)激励机制(data/miing)

技术内容
1.FL在BlockFL中
 主要涉及参数含义以及vanilla中的损失函数的定义
2.BlockChain在BlockFL中
 设备Di生成本地更新后给到对应的矿工Mi,Mi接收来自对应Di和其他矿工M的更新,验证后装入块,直到块满或者到Twait时间,块生成;
 矿工开始代入nonce算哈希值直到满足<Target,新块生成,广播给其他的矿工,分别加入自己的账本ledger上。
(Pow机制)
 用到区块链技术三部分:
 1)块结构
 2)块生成
 3)块上链
3.一轮训练的过程
 参考流程图(没有forking情况下的)
在这里插入图片描述
时延分析
第l epoch的时延包括computation、communication、block generation delays三方面–一个计算公式
最佳λ

实验结果图

总结
对vanilla FL进行去中心化的改进,采用Blockchain的结构,利用了BlockChain上数据不可篡改的优势,避免了对于中心Server的攻击;采用激励机制,鼓励FL的参与方参与,展望激励条件可以不仅仅是参与方提供的数据量,同时考虑数据质量。

问题
Q1:激励机制奖励给参与方的是什么?
Q2:有没有可以改进的部分–eg激励机制考虑both数据的数量和质量
在这里插入图片描述

4. 3.11《FLchain: Federated Learning via MEC-enabled Blockchain Network》

[1]FLchain: Federated Learning via MEC-enabled Blockchain Network[C]// 2019 20th Asia-Pacific Network Operations and Management Symposium (APNOMS). 0.

看了一点,涉及到Fabric和以太坊里的model state tire都是盲区。
在这里插入图片描述

5. 《BatchCrypt: Efficient Homomorphic Encryption for Cross-Silo Federated Learning》4.5

论文地址
https://www.usenix.org/conference/atc20/presentation/zhang-chengliang

在这里插入图片描述
总结
1)文章先介绍cross device,cross silo以及MPC、DP等隐私保护方法,得出HE比较适用于解决cross silo中对隐私保护的要求;
3)进行FL+HE的瓶颈分析,只要是加密和通信过程的开销问题;
在这里插入图片描述

4)Batching和Quantization的必要性,原量化和BatchCrypt量化的比较,BatchCrypt中用了补码,符号位可以进行计算;
BatchCrypt例如是8bit r=8,-1-1量化为-127-127,例如0.0079*127得到量化后的值为1(四舍五入);
在这里插入图片描述

5)阈值剪裁,去掉不合适的阈值;
在这里插入图片描述
在这里插入图片描述
6)实验。

参考
参考1
参考2

问题
QBatching

6. 《FLASHE: Additively Symmetric Homomorphic Encryption for Cross-Silo Federated Learning》4.6

文章地址
在这里插入图片描述
总结
cross-silo FL中由于地理位置存在着大量的开销问题,batch encryption能有减少计算开销但通信仍是问题;
本文:
1)不用非对称密钥加密,只涉及随机数模加;
2)针对批量加密与稀疏化不兼容问题:设计根据是否稀疏化采用双/单掩码;

7. 《Privacy-Preserving Deep Learning》4.15

简短版文章链接
2015CCS完整版
参考
参考
PPDL
在这里插入图片描述
总结
15年CCS会议,比FL概念提出的还要早,整体概念和FL差不多;
主要思想是文章通过参与方随机选择一部分本地的梯度上传到服务器,供其他参与方使用,保护了隐私,准确率高,一定程度防止过拟合;
本文:
1)DSSGD,如何上传梯度–两个标准;
2)有采用DP进一步保护上传的梯度;

8. 《Privacy-Preserving Deep Learning via Additively Homomorphic Encryption》4.19

参考
参考
在这里插入图片描述

总结
在DSSGD的基础上使用同态加密,解决了梯度泄露信息的问题,以及DP用准确性换隐私保护的问题;

仍存在的问题
1)HE开销大;
2)学习率无法自适应调整的问题;

9.《联邦学习》杨强 4.横向联邦 5.4

Record
1)特征空间&样本空间;区分横向与纵向;
2)如何减少通信开销–减少CS之间的通信次数–参与方在空当多迭代几次加快收敛;
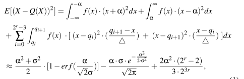
3)FL+HE中精度与隐私的平衡–用HE后损失函数被写成近似的形式;
4)《实战》中C3、C15 FL整个流程,没有涉及到传输;

Next
1)《PPDL+AHE》的代码;code

2)书中相关的参考文献
在这里插入图片描述

10《Practical Secure Aggregation for Privacy-Preserving Machine Learning》5.10

2017 CCS
在这里插入图片描述
sum
在好几篇文章中都有看到对安全聚合的引用;
3介绍了用到的技术,包括密钥共享、密钥协商、数字签名等等、有了大致的了解;
4介绍了方案的发展过程,解决1的掉线-2的推原数据-3的双mask-本文安全聚合;
5安全聚合的具体流程图;
6,7,8安全评价等没仔细看;
9与相关方案对比,其中HE部分的参考文献可以看;

参考资料
1
2


1)了解了SS、KA等技术的大致流程,加mask和聚合抵消的操作,相关的基础知识有待补充;
2)协议保护FL隐私的方案;


http://chatgpt.dhexx.cn/article/qLbUihy1.shtml

相关文章

LYF95101A 是一款高性能、高集成度、具有快速

LYF95101A 概述 LYF95101A是一款高性能、高集成度、具有快速 关断特性的单通道同步整流控制器。支持CCM, QR和 DCM的多模式工作。通过智能的控制MOSFET的开通 和关断&#xff0c;可替代反激变换器次级整流的肖特基二极管 来实现效率的提高。 LYF95101A 内置自供电电路&#xff…

渗透测试简介

病毒&#xff1a;是在计算机程序中插入的破坏计算机功能或者数据的代码&#xff0c;能影响计算机使用&#xff0c;能自我复制的一组计算机指令或者程序代码&#xff1b; ●木马&#xff1a;是比较流行的病毒文件&#xff0c;与一般的病毒不同&#xff0c;它不会自我繁殖&#x…

介绍模糊测试(Fuzz Testing,Fuzzing)

介绍模糊测试&#xff08;Fuzz Testing&#xff0c;Fuzzing&#xff09; 一、什么是模糊测试&#xff1f; 模糊测试是一种自动或半自动的测试技术&#xff0c;常被用来发现软件/操作系统/网络的代码中的错误和安全性问题&#xff0c;其中用于输入随机的数据和不合法的数据被称…

#学习笔记4#软件测试基础——测试阶段划分、黑盒测试的一些知识

今天主要看了以下几个方面的知识点&#xff0c;基本都是纯理论&#xff0c;本文只做知识点总结&#xff0c;具体内容要看转载 1.软件测试阶段划分&#xff0c;分为4个阶段&#xff1a;单元测试、集成测试、系统测试、验收测试 单元测试是方法类的覆盖&#xff0c;主要是由开…

辅助程序实现黑盒自动化测试的常见问题

背景 辅助程序&#xff08;Accessibility&#xff09;在大多数机型上具有重启设备后被激活的特性&#xff0c;可以完成Android测试框架&#xff08;Uiautomator1.0、Uiautomator2.0&#xff09;无法实现的功能。本文介绍如何搭建辅助程序和如何利用辅助程序进行黑盒测试。并总…

Android 13 Camera ITS 环境搭建(从Python安装到环境配置详解)

Python 版本 根据CameraITS.pdf 以及报错信息提示需要python版本在3.7.9及以上&#xff0c;本次使用的是3.8.10。 Python 安装 1.官方网站下载Python源码 wget https://www.python.org/ftp/python/3.8.10/Python-3.8.10.tgz 2.进入到下载路径&#xff0c;解压Python文件 …

黑盒测试常见错误类型说明及解决方法有哪些?

目录 1、用户界面错误 2、遗漏信息 3、错误的、误导的或令人迷惑的信息 1、用户界面错误 功能性 易用性&#xff08;用户学习使用程序的时间和记住怎样使用程序的时间&#xff09; 执行速度&#xff08;多数是启动速度&#xff0c;查询速度&#xff0c;刷新速度及响应速度…

浅析黑盒测试与白盒测试

这里写自定义目录标题 黑盒测试黑盒测试常见的测试&#xff1a;黑盒测试常用的方法&#xff1a;等价类划分&#xff1a;边界值分析&#xff1a;因果图分析法、错误推断法&#xff1a; 白盒测试白盒测试常见的方法&#xff1a; 黑盒测试与白盒测试的优缺点二者的优点二者的缺点 …

卸载symantec杀毒软件

(Get-WmiObject -Class Win32_Product -Filter “Name‘Symantec Endpoint Protection’” -ComputerName . ).Uninstall()

schrodinger 薛定谔安装与卸载

schrodinger 薛定谔安装 Windows 版 百度云 链接&#xff1a;https://pan.baidu.com/s/107a4KMHMvg1vrXTFHnGcWw 提取码&#xff1a;c6t4 安装步骤 download所有压缩包&#xff0c;解压任意一个压缩包即可&#xff08;压缩包之间是相互关联的&#xff09;。 进入解压的后的文…

从rookie到基佬~009:无密码卸载Symantec

今天是变直小技巧 今日份洗脑&#xff1a;无密码情况下卸载Symantec&#xff08;赛门铁克&#xff09; 结论&#xff1a;赛门铁克的服务一旦启动&#xff0c;怎么卸载都需要密码&#xff0c;反过来说&#xff0c;你不让他启动&#xff0c;他就是待宰的羔羊。 坐标国内某企业…

赛门铁克下载

Symantec&#xff08;赛门铁克&#xff09;杀毒软件&#xff0c;包括Symantec AntiVirus即SAV系列&#xff0c;Symantec Client Security即SCS系列&#xff0c;以及Symantec Endpoint Protection即SEP系列&#xff0c;都是专门为企业级用户定制的。这3套Symantec杀毒软件均包括…

Symantex Endpoint Protection赛门铁克杀毒软件安装

一、交付邮件 目前软件交付基本都是通过邮件进行。杀毒软件交付邮件中附件包含序列号以及购买产品信息。 二、官网软件下载 在右键中点击“Download Today”跳转下载页面&#xff08;吐槽&#xff1a;交互很差劲&#xff09; 登录网站&#xff1a;https://support.broadcom.…

如何卸载赛门铁克(Symantec)企业防病毒客户端软件SEP(Symantec Endpoint Protection)?

本文分三个部分介绍如何卸载赛门铁克&#xff08;Symantec&#xff09;企业防病毒客户端软件SEP的Windows版本&#xff0c;Linux版本和MacOS版本。 1 卸载SEP for Windows 版本 SEP for Windows版本卸载使用传统办法 -- 通过Windows控制面板卸载是比较容易出问题的&#xff0…

赛门铁克管理密码忘记卸载工具

链接: https://pan.baidu.com/s/1zoolODBkK_ytHh4gPvHFxw?pwd2eea 提取码: 2eea 复制这段内容后打开百度网盘手机App&#xff0c;操作更方便哦 卸载工具已附上 1、安装步骤简单&#xff0c;不多解释。 工具安装到此步骤就可以看到卸载的进度。

MAC卸载赛门铁克

使用 RemoveSymantecMacFiles 卸载适用于 Mac 操作系统的赛门铁克软件 TECH103489 Last Updated August 17, 2018 Situation 您需要卸载安装在 Mac OS X 中适用于 Macintosh 的赛门铁克产品。您已尝试过多种方法&#xff08;包括手动卸载或运行 Symantec Uninstaller&#x…

赛门铁克symantec的安装与卸载-附下载地址(本人亲测)

赛门铁克symantec的安装与卸载 下载地址 1:英文版下载地址 https://www.jb51.net/softs/398259.html 2:中文版下载地址(包含卸载工具) 链接&#xff1a;https://pan.baidu.com/s/1Naes0tUtnJRwAhI5GZ_eYw 提取码&#xff1a;7r2h 一:安装 二:赛门铁克的卸载 1:window卸载…

赛门铁克symantec 卸载需要密码解决方法

1、赛门铁克卸载的时候需要密码&#xff0c;但是不知道密码是什么&#xff0c;试过网上提供的方式怎么尝试都卸载不了&#xff0c;而且提供的卸载器都不是最新的&#xff0c;版本不对就卸载不了 2、赛门铁克卸载需要一个下载工具&#xff0c;官方其实提供了一个卸载文件的下载地…

Symantec赛门铁克安全软件免密卸载方式

装了Symantec后&#xff0c;后面希望卸载他&#xff0c;结果发现卸载需要卸载口令&#xff0c;查了一堆资料&#xff0c;总结有如下几种&#xff1a; 1、卸载口令可能是symantec&#xff0c;反正没成本可以简单试试看。不过我是没有通过&#xff0c;这个口令不对我的Symantec。…

PhotoShop CS6 安装及破解

转载https://blog.csdn.net/danmeng8068/article/details/81407672 软件资源及安装教程参考此贴&#xff1a;http://tieba.baidu.com/p/2742847351?pn1 一、软件下载&#xff1a; http://pan.baidu.com/s/1nv2FaYH 二、安装步骤&#xff1a;