BDD(二元决策图)

article/2025/10/15 17:54:02

转载自:二元决策图(Binary Decision Diagrams - BDD) (一)

在形式化验证、数字系统的设计和验证中,许多任务都涉及大型命题逻辑公式的运算。二元决策图(BDD)已经成为许多应用的首选表示方法。1986年,Bryant发表论文指出归约有序的二元决策图是布尔函数的规范表示。

几个基本概念:

布尔函数(Boolean function)描述如何基于对布尔输入的某种逻辑计算确定布尔值输出,它们在复杂性理论的问题和数字计算机的芯片设计中扮演基础角色。比如下面的逻辑电路:

 可以使用布尔函数:(x_1\oplus x_2)\oplus (x_3\oplus x_4)来表示。

有 个变量的布尔函数 为:

F:\{0,1\}^n \to \{0,1\}

函数有2^n个不同的可能输入,输出为一个True或False的布尔值,我们使用1或0来表示。

我们定义新的具有 n-1 个变量的布尔函数:

F_{x_1}(x_2,...,x_n) =F(1,x_2,x_3,...,x_n)

F_{x_1^{'}}(x_2,...,x_n)=F(0,x_2,x_3,...,x_n)

F_{x_1}F_{x_1^{'}}'称为 F 的余因子(cofactor)。F_{x_1}为正因子,F_{x_1^{'}}为否定因子。

香农展开(Shannon's expansion),或称香农分解(Shannon decomposition)是对布尔函数的一种变换方式。它可以将任意布尔函数表达为其中任何一个变量乘以一个子函数,加上这个变量的反变量乘以另一个子函数,即:

F(x_1,...,x_n )=x_i F_{x_i}+x_i^{'} F_{x_i^{'}}

INF范式(If-then-else Normal Form – INF)

If-then-else运算符表示为x\to y_0,y_1,则INF运算符定义为:

 x\to y_0,y_1=(x\land y_0 )\lor (\lnot x \land y_1 )

即,如果x值为1,则结果为y0,否则结果为y1

所有逻辑运算符都可以仅使用 if-then-else 运算符和常量0和1表达。此外,if-then-else运算可以这样实现,即所有的测试都只在(未取反的)变量上进行,变量不会出现在其他地方。比如,¬x就是x→0,1。这样,if-then-else算子产生了一种新的范式 – INF范式(If-then-else Normal Form – INF)。

INF范式是完全由 if-then-else 运算符和常量构建的布尔表达式,因此仅需要对变量执行测试。

t[0/x]表示将 中的变量 赋值为 0 得到的布尔表达式,得到以下等式:

这个就是表达式 t 对变量 的香农展开。这个简单的方程有很多有用的应用。第一个是可以从任何表达式 t 生成一个 INF。 如果 t 不包含任何变量,则它等于 0 或 1,即一个INF。否则,我们就生成表达式t中的一个变量 x 的香农展开式。其中 t[1/x] 和 t[0/x] 比表达式 t 少一个变量,这样可以递归做香农展开。

二元决策树(Binary Decision Tree)

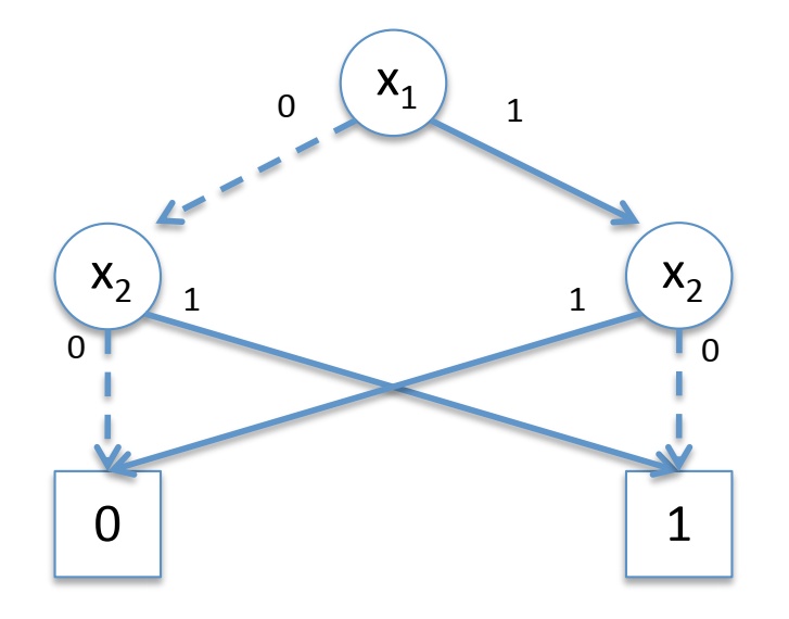
二元决策树与二叉树类似,上面的逻辑电路/函数对应的有序二元决策树如下图:

标记为 f 的顶部节点为函数节点,标记有变量名字的圆形节点为内部节点,底部的正方形节点为终端节点(标记为1-True或0-False)。给定一组变量值,计算函数 f 的值,只需要从函数节点沿着路径找到终端节点,终端节点的标记即为函数的值。

一个内部节点,如果所标记变量的值为1,则沿着实线弧前进(也称为then弧/边,或High弧/边);否则沿着虚线弧前进(也称为else弧/边,或low弧/边)。

在一个有序二元决策树中,变量在所有的路径上出现的顺序是一样的,如上图中:

 二元决策树最大的问题是它们的规模。一个有 n 个变量的二元决策树有2^n-1个节点,加上2^n个最低层次终端节点的链接,指向返回值0和1。

二元决策图(Binary Decision Diagrams - BDD)

归约(Reduction)

通常,BDD通过对BDT归约而得到。归约由以下两条规则的应用组成,从决策树开始,一直到两条规则都不能应用为止。

  1. 如果两个节点是终端节点且具有相同的标签,或者是内部节点且具有相同的子节点,则将它们合并。
  2. 如果内部节点的 high 边和 low 边指向相同的子节点,则将该节点从图中删除,并将其父节点重定向到子节点。

 上图左图中,红色椭圆中的两个节点相同,应用规则1得到右图。重复应用规则1:

 应用规则2,简化下图中的左侧椭圆中的节点,得到右侧图

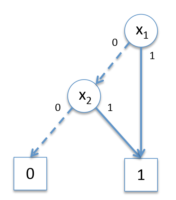
通常,我们说BDD是指ROBDD,即归约有序的二元决策图

现在我们给出定义:

BDD是一个有根的,有向无环图:

  1. 一个或两个出度为0的终端节点,标记为0或1,并且
  2. 出度为2的变量节点 的集合。节点的2个出边由 low(u) 和 high(u) 定义(在图中显示为虚线和实线),节点关联变量 var(u)。

如果在图中的所有路径上,变量都遵循给定的线性顺序,则BDD为有序的(OBDD)。

一个(O)BDD是归约的(R(O)BDD),如果:

  1. (唯一性)没有两个不同的节点 和 具有相同的变量名和 low- 和 high- 子节点,即: var(u)=var(v), low(u)=low(v), high(u)=high(v),这意味着 u=v,并且
  2. (非冗余测试)没有变量节点 具有相同的 low- 和 high- 子节点,即: low(u)≠high(u)

构建ROBDD(简写为BDD)

 构造BDD的简单方法是构造一个二元决策树,然后逐步消除冗余并标识相同的子树。但是,因为需要构造原始决策树,所以需要指数级时间。

另一种方法是在构建BDD的过程中同时进行BDD的归约过程。将每个布尔函数作为表达式,使用BDD进行运算、归约,得到最终的BDD。以为例,看布尔运算如何使用BDD实现。首先,我们构建x_1\lor x_2的BDD。变量x_1x_2的BDD为(变量顺序:):

对两个具有相同变量顺序的BDD,在应用任何布尔操作时,需要从根节点开始,沿着平行路径到终端节点。一旦到达终端节点,将指定的布尔运算应用于布尔常数0和1,以形成指定路径的结果。对于没有出现的变量,需要进行(隐式地)扩展。在这个例子中,左边是,右边是假设的,隐式扩展如下:

沿着节点的左边和右边往下到达子节点,同样这里需要进行(隐式地)扩展,得到一个假设的,如下图,底部是这一步构造的BDD。

在两个给定的BDD中都沿着0-边往子节点走。两者都指向0,我们计算,并将0作为结果,得到下面底部的BDD。

完成终端节点处理后,返回到上一层到节点,并沿着1-边往子节点走,左边的图上是标记为0的终端节点,右边的图上是标记为1的终端节点,计算,得到下面底部的BDD:

继续从节点返回节点,沿着节点的1边往下。左图需要进行(隐式地)扩展,得到一个假设的节点。然后,沿着节点的0边往下,得到,得到下面底部的BDD:

最后沿着节点的1边往下,再次到达标记为1的终端节点,如下图。

 

从图中可以看到,右侧节点的low和high子节点是相同的,按照前面提到的规则2,需要消除这个节点,只返回一个对常量1终端节点的引用。至此,我们得到了的已经熟悉的BDD,如下图所示。

 由此,我们可以总结两个二元决策图应用布尔运算的算法如下:

  • 并行地遍历两个图,在两个给定的图中始终同时沿着0-边或1-边移动
  • 当一个变量在一个图中存在,而不在另一个图中时,我们就像它存在并且有相同的high和low子节点一样继续进行(前面提到隐式地扩展,即实际上并不会创建节点,而是直接递归调用下去,后面的代码分析中可以看到,这里采用扩展结点是为了方便说明)
  • 当到达两个图的终端结点0或1时,对这些常量应用布尔运算并返回相应的常量
  • 如果对low和high子节点的运算返回相同的节点,不构造一个新节点,而只是返回在树中已经获得的单个节点。避免冗余
  • 如果将要构造一个已经在结果图中某处的节点(也就是说,具有相同的变量标签和相同的后续节点),不要创建一个新的副本,而只是返回已经存在的节点

对于,按照上述的步骤构建,如下图的右侧:

用上述步骤完成2个BDD的运算,得到下面最终的BDD:

 

BDD构建算法

本节介绍构建BDD的算法以及实现,代码实现以BuDDy开源代码为例。

数据结构

算法实现需要2个核心的数据结构,即节点表和节点hash表。

节点表

这里以数组形式描述节点表,如下图所示,数组下标使用 表示,即节点ID,其中数组中第0和1元素预留给终端节点。BDD的变量以索引形式表示,如按照一定顺序排列的变量x_1<x_2<...<x_n,使用1,2,⋯,n 索引来表示。节点表中的一个节点元素由变量、左子节点和右子节点组成,即var(u) = i, low(u)=l, high(u)=h。节点表T:u⟼(i,l,h),使用节点索引查询节点的信息,即var(u) = i, low(u)=l, high(u)=h

下面是BuDDy中节点的数据结构:

 level为节点变量ID,与low和high一起是上面介绍的节点核心信息。

Hash表

Hash表 H:(i,l,h)⟼u 将三元组 (i,l,h) 映射到节点ID,即节点的索引 u 。主要用于快速检索某一个三元组对应的节点是否存在,如果存在返回存在节点的索引。

BuDDy将Hash表合并到了节点表中,将三元组 (i,l,h) 做hash运算后,得到一个节点表索引,该索引所指向节点中的int hash变量保存的是实际 hash 指向节点的索引。如果有hash冲突,则使用int next串成单向链表。下面代码是检索时的逻辑:

构建函数

生成节点

生成节点函数用于确定待生成节点 (i,l,h) 是否已经存在,即是否存在已知的节点uvar(u) = i, low(u)=l, high(u)=h,确保生成的BDD是归约的。生成节点函数算法:

第一行是前面的规则2,即如果一个节点的左子节点和右子节点是同一个节点,则不创建新的节点,直接返回子节点。

第二行查询hash表,当前要创建的节点是否已经存在,如果已经存在,则返回当前的节点,不创建新的节点。如果当前要创建的节点不存在,则需要创建新的节点,添加到节点表中,更新hash表,并返回创建的节点。

该函数实现了归约的规则1和2,如果建立BDD时所有节点均通过这个函数创建,则能够确保创建的BDD是归约的。

下面是BuDDy代码中的创建节点函数。1269行是规则2的判断。1273~1290行是查hash表,如果找到,则直接返回现有的节点res;如果没有找到,1297后的代码创建新的节点,并更新hash表,1298~1325涉及到节点内存的管理。

 

布尔运算函数

所有布尔运算均由 APPLY(op,u1,u2) 函数完成,即计算。APPLY的实现基于香农展开:。对于所有布尔运算有:(x \to t_1,t_2) op (x \to t_1^{'},t_2^{'})=x \to t_1\ op\ t_1^{'},t_2\ op\ t_2^{'}

算法从两个BDD的根节点开始,通过递归地构造low分支和high分支来计算结果BDD,然后由它们形成新的根节点。为了避免递归调用的指数膨胀,使用了动态规划。算法如下图。

动态规划使用结果表G实现。表中的每个表项 (i,j) 或者为空,或者保存有以前 APP(i,j) 的计算结果(第4行)。算法区分四种不同的情况(5~11行),第一种处理两个参数都是终端节点的情况,其余三种处理至少一个参数是变量节点的情况。

如果u_1 u_2中至少有一个是非终端节点,算法根据变量index继续处理。如果节点具有相同的索引,则对两个low分支进行配对,并对其进行递归计算。对于high分支也是如此。这与前面的公式完全对应。如果它们有不同的index,继续将具有最低index的节点与另一个节点的low分支和high分支配对。这里,就是前面介绍的隐式的扩展结点(只是为了便于理解),实际上并不会创建节点。这个对应于这个公式:

(x_i \to t_1, t_2)\ op\ t=x_i\to t_1\ op\ t, t_2\ op\ t

下面是BuDDy中apply调用的apply_rec函数(前面的APP函数)的代码,op参数为全局变量applyop,没有通过函数调用传入。

544~590处理逻辑运算的特殊情况。

 

 592~593处理两个操作数同时为常量的情况。596~604检索前面提到的结果表,这里称之为chache。609~627为其他3种情况的处理,这里使用了堆栈来保存结果。631~634将本次计算的结果保存到结果表(cache)中。

参考文献:

[1] R. E. Bryant. Graph-based algorithms for boolean function manipulation. IEEE Transactions on Computers, C-35(8):677–691, August 1986.

[2] Frank Pfenning. Lecture Notes on Binary Decision Diagrams. October 28, 2010

[3] Henrik Reif Andersen. An Introduction to Binary Decision Diagrams. Fall 1999

[4] Fabio SOMENZI. Binary Decision Diagrams.

 


http://chatgpt.dhexx.cn/article/mUYSNb6b.shtml

相关文章

TDD和BDD的区别 (TDD vs BDD)

前言 如果你关注软件开发最佳实践方面的话题&#xff0c;你肯定听说过测试驱动开发(TDD - Test Driven Development) 和行为驱动开发(BDD - Behavior Driven Development)。这篇文章会为你阐述这两种模式的含义并举例&#xff0c;同时对二者进行比较。 测试驱动开发 (TDD) 当…

行为驱动开发(BDD)全面介绍

行为驱动开发&#xff08;BDD&#xff09;全面介绍 作者&#xff1a;杜铁绳 在软件行业中&#xff0c;软件研发项目软件产品交付经常被推迟、研发费用经常超出预算、经常遗漏客户所需的软件功能、有将近20%的项目最终无法交付&#xff0c;或者取消。这些软件研发往往花费了大…

web自动化测试进阶篇02 ——— BDD与TDD的研究实践

&#x1f60f;作者简介&#xff1a;博主是一位测试管理者&#xff0c;同时也是一名对外企业兼职讲师。 &#x1f4e1;主页地址&#xff1a;【Austin_zhai】 &#x1f646;目的与景愿&#xff1a;旨在于能帮助更多的测试行业人员提升软硬技能&#xff0c;分享行业相关最新信息。…

全面理解BDD(行为驱动开发):转变思维方式,提升软件质量

在传统的软件开发流程中&#xff0c;开发人员和测试人员的工作通常是相互独立的。开发人员负责编写代码&#xff0c;测试人员负责找出代码中的问题。然而&#xff0c;这种方法可能导致沟通不足&#xff0c;而且会浪费时间和资源。为了解决这些问题&#xff0c;出现了一种新的开…

BDD - 介绍 Behavior-Driven Development 行为驱动开发

BDD - Behavior-Driven Development 行为驱动开发 引言什么是 BDD相关软件开发流程TDDATDDBDD 和 TDD 的关系 BDD 原则BDD 流程BDD 优势 引言 自从接触到 BDD&#xff0c;深有感触&#xff0c;BDD 是广大 QA 的福音&#xff0c;测试领域的天空豁然开朗。BDD 模式更有助于团队合…

BDD自动化测试

BDD&#xff08;行为驱动开发&#xff09;自动化测试在软件测试领域一直在发展。随着agile思想在越来越多的项目中推广&#xff0c;以及非开发人员在项目的更多参与&#xff0c;BDD风格的自动化测试被越来越多项目组采纳并实施。 BDD&#xff08;Behavior Driven Development&…

端到端视频编码:DVC

本文来自CVPR 2019论文《DVC: An End-to-end Deep Video Compression Framework》 官方开源代码地址&#xff1a;https://github.com/GuoLusjtu/DVC DVC是一个端到端的视频编码模型&#xff0c;之前也有过一些基于DNN的视频编码方法&#xff0c;但是通常是使用DNN模型替换视频…

主流视频编码压缩技术基本概念(二) 算法分析

主流视频编码压缩技术基本概念&#xff08;二&#xff09; 算法分析 一、MPEG-1技术介绍1、 MPEG-1的层次及语法结构①、运动补偿序列(Sequence)②、图片组&#xff08;GOP&#xff09;③、 图片&#xff08;Picture&#xff09;④、 图片切片&#xff08;Slice&#xff09;⑤、…

视频编码解码基本知识

最近在做摄像头视频的数据处理&#xff0c;得到了网络相机的.h264格式的数据&#xff0c;需要做解码处理&#xff0c;由于对视频的编码解码原理不太了解&#xff0c;因此查找资料总结一下 为什么要进行视频编码&#xff1f; 视频编码又称为视频压缩&#xff0c;伴随着用户对高…

FFMpeg 实现视频编码、解码

FFMpeg 作为音视频领域的开源工具,它几乎可以实现所有针对音视频的处理,本文主要利用 FFMpeg 官方提供的 SDK 实现音视频最简单的几个实例:编码、解码、封装、解封装、转码、缩放以及添加水印。 接下来会由发现问题->分析问题->解决问题->实现方案,循序渐进的完成。…

感知视频编码

感知视频编码就是在视频编码的过程中&#xff0c;将HVS应用进去&#xff0c;挖掘主观视频感知冗余&#xff0c;进一步提高视频编码压缩效率。 1.Computational visual perception:三种视觉感知计算模型 &#xff08;1&#xff09;视觉敏感模型 &#xff08;2&#xff09;视觉注…

Android视频编码的坑

视频开发是一个核心方向&#xff0c;那Camera开发一直是Android的一个核心&#xff0c;笔者做过Camera HAL&#xff0c;也做过Camera App, 同时也开发过Camera 滤镜&#xff0c;这个过程中也遇到和解决过很多棘手的问题&#xff0c;也一直想总结一篇&#xff0c;看到这篇后感觉…

视频编码未来简史

首先我们回顾一下视频编码的历史&#xff0c;视频编码起源于广播电视&#xff0c;在很长一段时间里视频编解码的变革主要推动力是来自于广播电视。当然&#xff0c;今天我们看互联网的视频编码是速度越来越快&#xff0c;昨天在ICET2017年世界大会上&#xff0c;ICET的主席还说…

PCS2021:针对游戏内容的视频编码工具分析和数据集

本文来自PCS2021论文《Video Coding Tool Analysis and Dataset for Gaming Content》 随着近几年游戏市场的逐渐壮大&#xff0c;新的游戏形态&#xff08;AR、VR、云游戏等&#xff09;逐渐发展。和传统的摄像机内容和屏幕内容相比&#xff0c;游戏内容有着不同的特点导致对于…

视频编码综述

你用手机、电脑看电影追剧时&#xff0c;是看的高清还是标清&#xff1f;我想只要网速够得上应该没有人愿意再看标清了吧&#xff01;毕竟高清视频的高分辨率和清晰画质总是能让人有更好的观影体验。 伴随着用户对高清视频的需求量的增加&#xff0c;视频多媒体的视频数据量也在…

混合视频编码方法

参考文献&#xff1a; IP网络视频传输&#xff1a;技术、标准和应用 朱秀昌&#xff0c;唐贵进。--北京&#xff1a;人民邮电出版社&#xff0c;2017.9 预测编码和变换编码是混合编码的基础&#xff0c;当然除此之外还有运动估计、运动补偿、量化、熵编码、去方块滤波等。下面…

【视频编解码-02】视频编码的目的、条件和目标

视频编码&#xff0c;是视频处理中的一个核心技术。 现代我们所看到的所有视频&#xff0c;包括电视、互联网、手机等等&#xff0c;几乎所有的视频都会被编码、解码。 整个视频技术的基本流程是&#xff1a;视频数据的采集、视频数据的编码、视频数据的传输、视频数据的解码、…

【视频】视频文件格式和视频编码

我们经常在电脑、电视、手机或者其他终端产品看视频&#xff0c;我们对视频有个大概了解&#xff0c;比如清晰度、大小、视频类型等&#xff0c;但是对于视频内部结构我们应该一无所知&#xff0c;现在我们来一步一步解开视频的神秘面纱。 首先大家要清楚两个概念&#xff0c;视…

H.265视频编码原理总结

H.265视频编码原理总结 转载地址 1 概述 H.265&#xff08;HEVC High Efficiency Video Coding&#xff09;是现行H.264标准于2003年实现标准化以来时隔10年推出的新标准&#xff0c;将成为支撑未来十年的影像服务和产品的视频压缩技术。其特点是&#xff0c;支持1080p以上的…

视频编码流程详解

1、视频编码整体流程 2、FFmpeg视频编码详细流程 从本地读取YUV数据编码为H264格式的数据&#xff0c;然后再存入到本地&#xff0c;编码后的数据有带startcode。 与FFmpeg示例音频编码的流程基本一致。 3、关键函数说明 &#xff08;1&#xff09;avcodec_find_encoder_by_n…