准确率,召回率

article/2025/10/7 23:52:50

1、准确率与召回率(Precision & Recall

准确率召回率是广泛用于信息检索和统计学分类领域的两个度量值,用来评价结果的质量。其中精度是检索出相关文档数与检索出的文档总数的比率,衡量的是检索系统的查准率;召回率是指检索出的相关文档数和文档库中所有的相关文档数的比率,衡量的是检索系统的查全率

一般来说,Precision就是检索出来的条目(比如:文档、网页等)有多少是准确的,Recall就是所有准确的条目有多少被检索出来了。

正确率、召回率和 F 值是在鱼龙混杂的环境中,选出目标的重要评价指标。不妨看看这些指标的定义先:

    1. 正确率 = 提取出的正确信息条数 /  提取出的信息条数     

    2. 召回率 = 提取出的正确信息条数 /  样本中的信息条数    

两者取值在01之间,数值越接近1,查准率或查全率就越高。   

    3. F  = 正确率 * 召回率 * 2 / (正确率 + 召回率) F 值即为正确率和召回率的调和平均值)

不妨举这样一个例子:某池塘有1400条鲤鱼,300只虾,300只鳖。现在以捕鲤鱼为目的。撒一大网,逮着了700条鲤鱼,200只虾,100只鳖。那么,这些指标分别如下:

正确率 = 700 / (700 + 200 + 100) = 70%

召回率 = 700 / 1400 = 50%

F = 70% * 50% * 2 / (70% + 50%) = 58.3%

不妨看看如果把池子里的所有的鲤鱼、虾和鳖都一网打尽,这些指标又有何变化:

正确率 = 1400 / (1400 + 300 + 300) = 70%

召回率 = 1400 / 1400 = 100%

F = 70% * 100% * 2 / (70% + 100%) = 82.35%        

由此可见,正确率是评估捕获的成果中目标成果所占得比例;召回率,顾名思义,就是从关注领域中,召回目标类别的比例;而F值,则是综合这二者指标的评估指标,用于综合反映整体的指标。

当然希望检索结果Precision越高越好,同时Recall也越高越好,但事实上这两者在某些情况下有矛盾的。比如极端情况下,我们只搜索出了一个结果,且是准确的,那么Precision就是100%,但是Recall就很低;而如果我们把所有结果都返回,那么比如Recall100%,但是Precision就会很低。因此在不同的场合中需要自己判断希望Precision比较高或是Recall比较高。如果是做实验研究,可以绘制Precision-Recall曲线来帮助分析。

2、综合评价指标(F-Measure

PR指标有时候会出现的矛盾的情况,这样就需要综合考虑他们,最常见的方法就是F-Measure(又称为F-Score)。

F-MeasurePrecisionRecall加权调和平均

当参数α=1时,就是最常见的F1,也即

可知F1综合了PR的结果,当F1较高时则能说明试验方法比较有效。

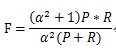
3E

E值表示查准率P和查全率R的加权平均值,当其中一个为0时,E值为1,其计算公式:

b越大,表示查准率的权重越大。

4、平均正确率(Average Precision, AP

平均正确率表示不同查全率的点上的正确率的平均。

 

 

 

 


http://chatgpt.dhexx.cn/article/fFlWPlYf.shtml

相关文章

如何解释准确率、精确率与召回率?

对于二分类问题,机器预测的和实际的还是会有所偏差,所以我们引入以下几个概念来评价分类器的优良。 首先有关TP、TN、FP、FN的概念。TP与TN都是机器(预测)分类分对了的情况,TP是预测为正类且预测正确,TN是…

准确率(Accuracy)、精确率(Precision)、召回率(Recall)、F值(F-Measure)、AUC、ROC的理解

一、准确率、精确率、召回率和 F 值 (1)若一个实例是正类,但是被预测成为正类,即为真正类(True Postive TP) (2)若一个实例是负类,但是被预测成为负类,即为真负类(True Negative TN) (3)若一个实例是负类,但是被预…

准确率(Accuracy), 精确率(Precision), 召回率(Recall)和F1-Measure

yu Code 15 Comments 机器学习(ML),自然语言处理(NLP),信息检索(IR)等领域,评估(Evaluation)是一个必要的 工作,而其评价指标往往有如下几点:准确率(Accuracy),精确率(Precision),召回率(Recall)和F1-Measure。(注: 相对来说,IR 的 ground truth 很多时候是一个 Ordered L…

准确率,精准率,召回率,真正率,假正率,ROC/AUC

目录 前言一.准确率二.精准率三.召回率四.精准率和召回率的关系,F1分数五.F1分数六.灵敏度和特异度七.真正率和假正率八.ROC曲线 前言 最近在看到这些词得时候老是混淆,看了之后还很容易遗忘,于是查了些资料把他们记录下来。 我们在设计深度学…

一文读懂准确率、精准率、召回率、ROC、AUC、F1值

准确率,精准率,召回率 分类问题中的混淆矩阵如下 TP: 预测为1,预测正确,即实际1 FP: 预测为1,预测错误,即实际0 FN: 预测为0,预测错确,即实际…

准确率(accuracy)、召唤率(recall)和精确率(precision)、ROC,AUC

准确率(accuracy)、召唤率(recall)和精确率(precision) 一、概述 召回率、准确率、精确率、F值的作用: 在机器学习、数据挖掘、推荐系统完成建模之后,需要对模型的效果做评价。 二、定义 首先给出一个…

WebStorm License Activation (WebStorm许可证激活)

User or company name(用户或公司名称): EMBRACE License key(许可证密钥): LICENSE BEGIN 89374-12042010 00001ZR8S1vh1XhRKJ"RyCdHS67DkS PtwqvZyxwRYFBdHRo61xnxm2!s"ePT PHym64P04eGd5A4T77JDanp47rgyKj LICENSE END 把这以上两段文本复制到相应的文本框里点…

webstorm 激活码

找了好多激活的都不好用,后来发现了这个,记录下,方便以后使用 打开网址(IntelliJ IDEA 注册码),下载补丁 然后将补丁复制到安装目录的bin目录下(下面框起来的是补丁路径,不一定是你们…

WebStorm 2019激活方法

1、先下载安装JetBrains WebStorm 2019,安装完成先不要运行2、接下来对软件进行注册破解,首先以记事本的方式打开hosts文件,将代码添加至hosts文件屏蔽软件联网;hosts文件默认目录【C:\Windows\System32\drivers\etc】0.0.0.0 acc…

WebStorm 2019 激活

WebStorm 2019 激活 激活码: YZVR7WDLV8-eyJsaWNlbnNlSWQiOiJZWlZSN1dETFY4IiwibGljZW5zZWVOYW1lIjoiamV0YnJhaW5zIGpzIiwiYXNzaWduZWVOYW1lIjoiIiwiYXNzaWduZWVFbWFpbCI6IiIsImxpY2Vuc2VSZXN0cmljdGlvbiI6IkZvciBlZHVjYXRpb25hbCB1c2Ugb25seSIsImNoZWNrQ29uY3Vyc…

IDEA和Webstorm激活

全家桶激活 最近用edu邮箱申请了一个JetBrains针对学生免费的激活码。可以激活IntelliJ IDEA,WebStorm,PyCharm,PHPStorm等.. 有需要的小伙伴们可以拿去激活 有效期到2018.9.10 7WXOZVMK1E-eyJsaWNlbnNlSWQiOiI2RlIjoiQ0wiLCJwYWlkVXBU…

webstorm2018激活方法

webstorm2018激活方法 下载补丁包(IntelliJ IDEA 注册码) 把下载的补丁包复制到webstorm的安装目录的bin下面 编辑bin目录下的webstorm.exe.vmoptions和webstorm64.exe.vmoptions文件 在这两文件的最后一行加入-javaagent:E:\Program Files (x86)\Je…

webstorm2016.2.3激活(服务器+注册码方式)

目前webstorm最新版本为2016.2.3,激活方式如下: 一、服务器方式 1、联网状态下运行WS,Help---register进入激活页面,激活方式选择Licence server,然后服务器输入:http://owo.help,点击Activat…

PHPstorm webstorm idea工具激活

亲自测试,都跑起来了,激活到2099,我是win11 64 ,下载的版本统一都是2021.3 方法如下 网上找下这个激活工具 直接搜索对应激活码,基本可以用 失败:key is invalid 这个只出现在webstorm上 这个是因为之前…

WebStorm安装、配置、激活码

下载最新版的WebStorm官网地址 安装过程直接下一步即可 首次运行WebStorm会显示如下提示框:导入WebStorm的首选项设置和许可证信息 之前安装过WebStorm的,可以选择第一个选项导入之前所做的设置即可 小编是首次安装WebStorm,选择图中选项&…

WebStorm2018版永久激活方法

WebStorm是一款非常好用的前端开发神器,但是如果不购买正式版的话只能获得30天的试用期。下面就介绍一下最新2018版的永久激活步骤吧! 首先我们需要下载破解补丁,直接百度搜索关键词——IntelliJ IDEA 注册码。进入红框处网站后,…

WebStorm的安装使用简单版本教程——WebStorm激活码到设置步骤解

WebStorm软件安装使用教程 1、在官网下载好WebStorm软件2018.3版本以上的建议使用比较新的2020 2021年版本软件的 2、下载完成后安装,不会的自行百度这里我以经安装完成就不演示了比较简单的 3、如果是选择了试用期一个月的 可以等试用期过了弹出窗口再输入激活码…

webstorm2016.2简单激活方法

License server激活 这可能是最简单的了,在激活框,选择 License server, 输入:http://114.215.133.70:41017(已失效) 目前可以用以下的server地址测试: http://idea.imsxm.com/ (…

让你的 Webstorm 永久激活

让你的 Webstorm 永久激活 Webstorm 是常用的开发软件,奈何实在价格不菲,网上有很多 license server 的账号,但是 jetBrains 更新很快,需要经常更换账号。破解软件的方式又稍显复杂,网上找到了永久激活又省事的办法&a…

webstorm激活方法

安装完成后,打开 WebStorm, 在打开的 License Activation 窗口中选择第三个选项: License server。 在输入框输入网址即可 最新网址: https://s.tuzhihao.com:666/ (曾用网址在下面 , 最新网址不能用请换以前的试试) 最后点击 Activate。 提…