准确率(accuracy)、召唤率(recall)和精确率(precision)、ROC,AUC

article/2025/10/7 23:49:51

准确率(accuracy)、召唤率(recall)和精确率(precision)

一、概述

召回率、准确率、精确率、F值的作用:

在机器学习、数据挖掘、推荐系统完成建模之后,需要对模型的效果做评价。

二、定义

首先给出一个大家经常见到的图:
混淆矩阵
在这里插入图片描述
假正:实际——负例
假负:实际——正例

详细定义

1.准确率

(accuracy)=(TP+TN)/(TP+FN+FP+TN) 【正确的/总的】
通俗解释: 在所有样本中,预测正确的概率

2. 精确率

(precision)=TP/(TP+FP) 【真正/预测正】
通俗解释:你认为的正样本中,有多少是真的正确的概率

3. 召回率

(recall)=TP/(TP+FN) 【真正/实际正】
通俗解释:正样本中有多少是被找了出来

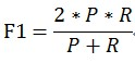
4.F1

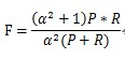
P和R指标有时候会出现的矛盾的情况,这样就需要综合考虑他们,最常见的方法就是F-Measure。
在这里插入图片描述
当参数α=1时,就是最常见的F1,也即
在这里插入图片描述

ROC,AUC

1.FPR——x轴 (伪阳率)

在这里插入图片描述
【假正/实际负】
从负例中随便拿一个,被错误估计成正例的概率
越小越好

2.recall——y轴 (真阳率)

(recall)=TP/(TP+FN) 【真正/实际正】
通俗解释:正样本中有多少是被找了出来

3.ROC曲线

在这里插入图片描述
ROC曲线的横轴是FPRate,纵轴是TPRate,

当二者相等时,即y=x,表示的意义是:
对于不论真实类别是1还是0的样本,分类器预测为1的概率是相等的。
换句话说,分类器对于正例和负例毫无区分能力,

而我们希望分类器达到的效果是:
对于真实类别为1的样本,分类器预测为1的概率(即TPRate),要大于真实类别为0而预测类别为1的概率(即FPRate),即y>x,因此大部分的ROC曲线长成下面这个样子:
在这里插入图片描述

4.AUC

ROC曲线的面积
通常(0.5~0.8)
小于0.5看正负标签是否需要转换,或者模型太差。。。


http://chatgpt.dhexx.cn/article/SQqLgwFU.shtml

相关文章

WebStorm License Activation (WebStorm许可证激活)

User or company name(用户或公司名称): EMBRACE License key(许可证密钥): LICENSE BEGIN 89374-12042010 00001ZR8S1vh1XhRKJ"RyCdHS67DkS PtwqvZyxwRYFBdHRo61xnxm2!s"ePT PHym64P04eGd5A4T77JDanp47rgyKj LICENSE END 把这以上两段文本复制到相应的文本框里点…

webstorm 激活码

找了好多激活的都不好用,后来发现了这个,记录下,方便以后使用 打开网址(IntelliJ IDEA 注册码),下载补丁 然后将补丁复制到安装目录的bin目录下(下面框起来的是补丁路径,不一定是你们…

WebStorm 2019激活方法

1、先下载安装JetBrains WebStorm 2019,安装完成先不要运行2、接下来对软件进行注册破解,首先以记事本的方式打开hosts文件,将代码添加至hosts文件屏蔽软件联网;hosts文件默认目录【C:\Windows\System32\drivers\etc】0.0.0.0 acc…

WebStorm 2019 激活

WebStorm 2019 激活 激活码: YZVR7WDLV8-eyJsaWNlbnNlSWQiOiJZWlZSN1dETFY4IiwibGljZW5zZWVOYW1lIjoiamV0YnJhaW5zIGpzIiwiYXNzaWduZWVOYW1lIjoiIiwiYXNzaWduZWVFbWFpbCI6IiIsImxpY2Vuc2VSZXN0cmljdGlvbiI6IkZvciBlZHVjYXRpb25hbCB1c2Ugb25seSIsImNoZWNrQ29uY3Vyc…

IDEA和Webstorm激活

全家桶激活 最近用edu邮箱申请了一个JetBrains针对学生免费的激活码。可以激活IntelliJ IDEA,WebStorm,PyCharm,PHPStorm等.. 有需要的小伙伴们可以拿去激活 有效期到2018.9.10 7WXOZVMK1E-eyJsaWNlbnNlSWQiOiI2RlIjoiQ0wiLCJwYWlkVXBU…

webstorm2018激活方法

webstorm2018激活方法 下载补丁包(IntelliJ IDEA 注册码) 把下载的补丁包复制到webstorm的安装目录的bin下面 编辑bin目录下的webstorm.exe.vmoptions和webstorm64.exe.vmoptions文件 在这两文件的最后一行加入-javaagent:E:\Program Files (x86)\Je…

webstorm2016.2.3激活(服务器+注册码方式)

目前webstorm最新版本为2016.2.3,激活方式如下: 一、服务器方式 1、联网状态下运行WS,Help---register进入激活页面,激活方式选择Licence server,然后服务器输入:http://owo.help,点击Activat…

PHPstorm webstorm idea工具激活

亲自测试,都跑起来了,激活到2099,我是win11 64 ,下载的版本统一都是2021.3 方法如下 网上找下这个激活工具 直接搜索对应激活码,基本可以用 失败:key is invalid 这个只出现在webstorm上 这个是因为之前…

WebStorm安装、配置、激活码

下载最新版的WebStorm官网地址 安装过程直接下一步即可 首次运行WebStorm会显示如下提示框:导入WebStorm的首选项设置和许可证信息 之前安装过WebStorm的,可以选择第一个选项导入之前所做的设置即可 小编是首次安装WebStorm,选择图中选项&…

WebStorm2018版永久激活方法

WebStorm是一款非常好用的前端开发神器,但是如果不购买正式版的话只能获得30天的试用期。下面就介绍一下最新2018版的永久激活步骤吧! 首先我们需要下载破解补丁,直接百度搜索关键词——IntelliJ IDEA 注册码。进入红框处网站后,…

WebStorm的安装使用简单版本教程——WebStorm激活码到设置步骤解

WebStorm软件安装使用教程 1、在官网下载好WebStorm软件2018.3版本以上的建议使用比较新的2020 2021年版本软件的 2、下载完成后安装,不会的自行百度这里我以经安装完成就不演示了比较简单的 3、如果是选择了试用期一个月的 可以等试用期过了弹出窗口再输入激活码…

webstorm2016.2简单激活方法

License server激活 这可能是最简单的了,在激活框,选择 License server, 输入:http://114.215.133.70:41017(已失效) 目前可以用以下的server地址测试: http://idea.imsxm.com/ (…

让你的 Webstorm 永久激活

让你的 Webstorm 永久激活 Webstorm 是常用的开发软件,奈何实在价格不菲,网上有很多 license server 的账号,但是 jetBrains 更新很快,需要经常更换账号。破解软件的方式又稍显复杂,网上找到了永久激活又省事的办法&a…

webstorm激活方法

安装完成后,打开 WebStorm, 在打开的 License Activation 窗口中选择第三个选项: License server。 在输入框输入网址即可 最新网址: https://s.tuzhihao.com:666/ (曾用网址在下面 , 最新网址不能用请换以前的试试) 最后点击 Activate。 提…

webstrom 激活操作

第一种 1打开网址(IntelliJ IDEA 注册码),我们能看到下面的界面,下载包放入webstrom安装位置 2 同步修改安装目录下的webstorm.exe.vmoptions和webstorm64.exe.vmoptions文件。 添加 -javaagent:H:\WebStorm 2018.3.2\bin \Jetbr…

Webstrom的安装和激活

最新的WebStrom的安装和激活 -------------------…

快速激活Webstorm

此方法步骤是针对于已经安装好的软件的,我们在打开试用的软件时候,会有试用截止日期出现。 当我们打开webstorm软件后,左键点击上面一行菜单栏中的help即”帮助“选项。点击之后,会有列表弹出,我们选择倒数第三个“reg…

垃圾回收机制学习总结

链接一篇讲的非常棒的文章 https://juejin.cn/post/6981588276356317214#heading-21 提出一些问题:方便后续回顾垃圾回收机制。 1、什么是垃圾回收机制? GC 即 Garbage Collection ,程序工作过程中会产生很多 垃圾,这些垃圾是…

垃圾回收机制

1.常见误区 1.垃圾回收线程的优先级很高,以保证不再使用的内存将被及时回收。 (垃圾回收再jvm中优先级相当相当低。当程序运行时,至少会有两个线程开启启动,一个是我们的主线程,一个时垃圾回收线程,垃圾回…

Python垃圾回收机制详解

最近想了解一下Python的内存回收机制,特此来标记一下 平时在写代码的时候,关注的是写出能实现业务逻辑的代码,因为现在计算机的内存也比较宽裕,所以写程序的时候也就没怎么考虑垃圾回收这一方面的知识。俗话说,出来混总…