离散信源熵2

article/2025/10/19 3:43:22

目录

1:熵的凸性

              相对熵的下凸性

              熵的上凸性

2:信源的分类

3:自信息

四:离散无记忆扩展信源

五:马尔科夫信源

六:马尔可夫信源的信源熵

                 求解方法

                  计算例子 


1:熵的凸性

凸函数是定义在定义域为凸集的函数。
1:凸集的形象解释:我们在集合C中取任意两个元素,在这两个元素之间画一条直线,如果这条直线上的每一点都属于C,则集合C叫凸集。

2:上凸函数与下凸函数

看突出的部分,向下凸就是下凸函数,向上凸就是上凸函数。

3:重要不等式

 统计平均可以看成一个加权线性组合,利用下凸函数性质即可得到该不等式

 相对熵的下凸性

熵的上凸性

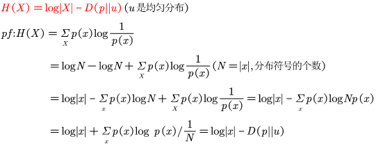
离散随机变量的熵与相对熵的关系:

这就好理解:常数+一个下凸函数的反=上凸函数
TH:熵函数就是随机分布P的上凸函数。

 分析:

       对信源无失真编码时,我们无法改变信源符号的原始分布(一个客观事实),但是我们可以对字母表进行一一映射,试图改变编码后符号的概率分布,使得编码后的码字尽可能携带多的信息量,在总信息量不变的前提,就有可能保证平均码长小。一一映射也使得信源的解码无差错。怎么做一一映射属于优化问题,也就是使得编码后的分布成最优分布。由于凸函数的极值就是最值,求极值的方法较为简单。

2:信源的分类

按照:信源符号的取值,以及取值时间的离散或连续两方面去分类。
几种信源信源

3:自信息

1:自信息定义

 自信息的意义:在发生前表征事件不确定性的大小,在发生后表征事件所提供的信息量。
2:其他形式自信息

四:离散无记忆扩展信源

五:马尔科夫信源

1:马尔科夫链

马克科夫链的状态转移概率:

p^{n}_{ij}(m):当前时刻为m,从状态i经过n步步长到达状态j的:n步转移概率。
2:齐次马尔科夫链

特点:转移概率与初始时刻无关,也就是转移概率是平稳的

齐次马氏链关键:初始分布+状态概率矩阵。
各态历经性

从w的下标j可知:无论之前处于哪个状态只要步长足够大,最后达到J状态概率相同。
稳态求解: 

六:马尔可夫信源的信源熵

时齐马尔科夫信源
条件概率:与时间起点无关,则信源的输出可以看作时齐的马尔可夫链,称此信源为:时齐马尔可夫信源。
 

例子:注意状态转移矩阵和符号转移矩阵的区别。

 求解方法

注意:求熵针对符号,用的是符号条件熵。

计算例子 

注意:看输出,这里只输出一个符号,所以符号和状态矩阵等价。


例子2:


注意:输出是两个符号,每个状态是两个符号


http://chatgpt.dhexx.cn/article/TTcxQdPj.shtml

相关文章

【信息论】信源与信源熵(一)

— 主要内容 1. 信源的分类与描述 2. 离散信源的信息熵和互信息 3. 离散序列信源的熵 4. 连续信源的熵与互信息 5. 冗余度 2.1 信源的分类与描述 — 信源的定义 产生消息(符号)、消息序列和连续消息的来源。 信源的基本…

信息论实验一:信源熵的计算

本次实验是基础的计算信源熵,代码很简单。 为了便于计算,将概率和不为1的重新输入以及把概率为0删除!!! format short; %定义输出的格式 p input(p ); %输…

第二章-信源与信息熵(一)

— 主要内容 1. 信源的分类与描述 2. 离散信源的信息熵和互信息 3. 离散序列信源的熵 4. 连续信源的熵与互信息 5. 冗余度 2.1 信源的分类与描述 — 信源的定义 产生消息(符号)、消息序列和连续消息的来源。 信…

[信息论与编码] 03. 离散信源、信源熵、联合熵、条件熵

离散信源 信源即信息发出的源头,在后续的信道模型中,信源发出的信息即视为信道输入的信息。 根据信源发出信息的取值,可将信源分为离散信源和连续信源。 顾名思义,离散信源即发出的信息取值为离散型的信源;连续信源即…

Tomcat目录详解

Tomcat 1.bin:启动和关闭Tomcat2.conf3.lib4. logs5.temp6.webapps7.work Tomcat 1.bin:启动和关闭Tomcat 该目录下存放的是二进制可执行文件, 如果是安装版,那么这个目录下会有两个exe文件:tomcat6.exe、tomcat6w.…

Tomcat介绍及三种启动方式的区别

一、Tomcat的下载 二、Tomcat目录说明 三、Tomcat常用命令 四、Tomcat服务的安装 五、Tomcat启动的三种方式 六、三种启动方式的区别 七、Tomcat端口占用问题 一、Tomcat的下载 官方下载网址:http://tomcat.apache.org/,可自行下载需要的版本。 …

一、Tomcat概述

一、Tomcat概述 Tomcat是Java语言开发的,Tomcat服务器是一个免费的开放源代码的Web应用服务器,是Apache软件基金会的Jakarta项目中的一个核心项目,由Apache、Sun和其他一些公司及个人共同开发而成。Tomcat属于轻量级应用服务器,在中小型系统…

Tomcat介绍使用+JavaWeb创建+打成war包部署

Tomcat简介 终端访问服务器,通过ip端口号访问,web应用部署在web服务器上,才可以”对接“ ip端口 进程交互 Tomcat、Jboss、Weblogic、Jetty Tomcat下载地址 tomcat地址 http://tomcat.apache.org 解压缩 解压过是一个文件夹 bin: 各个平台…

tomcat介绍-通俗易懂篇

我叫Tomcat:一款web服务器 如何将我们的Java代码,运行在网络上,出学时,首先接触到的一般都是Servlet以及Jsp(或掠过Jsp)而Tomcat就是这两者的容器,帮你处理动态网页部分 (一&#xf…

Tomcat介绍及安装JDK1.8

Tomcat介绍 Tomcat是Apache软件基金会(Apache Software Foundation)的Jakarta项目中的一个核心项目,由Apache、Sun和其他一些公司及个人共同开发而成; java程序写的网站用tomcatjdk来运行; tomcat是一个中间件&#xf…

Tomcat介绍和安装,以及tomcat的虚拟主机配置

为什么Tomcat火了 Tomcat介绍Tomcat核心组件简述Tomcat处理请求过程Tomcat目录机构 Tomcat安装虚拟主机配置 Tomcat介绍 ●自从JSP发布之后,推出了各式各样的JSP引擎,Apache Group在完成GNUJSP1.0的开发以后,开始考虑在SUN的JSWDK基础上开发一个可以直接提供Web服务的JSP服务器…

Tomcat基础详解

一、Tomcat目录介绍 bin: 专门用来存放Tomcat服务器的可执行程序 conf: 专门用来存放Tomcat服务器的配置文件 lib: 专门用来存放Tomcat服务器的jar包 logs: 专门用来存放Tomcat服务器运行时输出的日志信息 temp: 专门…

tomcat目录介绍

这里以apache-tomcat-8.5.69为例,目录结构如下: 一共有bin,conf,lib,logs,temp,webapps,work, 一共7个文件夹,下面来对它们分别进行介绍: &#…

tomcat介绍与使用

tomcat介绍与使用 web服务器 web服务器是运行及发布web应用的容器,只有将开发的web项目放置到该容器中,才能使网络中的所有用户通过浏览器进行访问。常见的web服务器如下: Tomcat:主流的web服务器之一,适合初学者使用…

Tomcat详解

Tomcat详解 1.简介 Tomcat 服务器是一个免费的开放源代码的Web 应用服务器,属于轻量级应用服务器。 性质:Java web服务器 2.安装Tomcat Tomcat官网点此跳转 进入官网,根据自己的电脑版本在核心文件下选择相应的压缩包下载,Li…

Tomcat详细介绍和使用总结

文章目录 Tomcat 介绍Tomcat作为Servlet容器的基本功能Tomcat的组成结构Tomcat的工作模式Tomcat 版本 Tomcat 安装和配置安装配置启动与关闭Tomcat的运行脚本 Oracle公司现在作为Java语言的开发和发布者,是当仁不让的标准接口的制定者。Oracle公司不仅制定了Web应用…

Tomcat 介绍与使用

文章目录 1.1 Tomcat介绍1.1.1 关于服务器1.1.2 Tomcat下载与安装1.1.3 Tomcat各版本所需支持1.1.4 Tomcat目录结构详解 1.2 Tomcat基本使用1.2.1 Tomcat启动和停止及问题分析解决1)启动和停止2)启动时问题 1.2.2 IDEA集成Tomcat服务器 1.1 Tomcat介绍 …

TOMCAT介绍--自定义配置Host

TOMCAT介绍 1、服务器概述1.1、基本概念1.1.1、servle容器1.1.2、web容器1.1.3、web服务器 2.1、常见的服务器2.1.1、webLogic2.1.2、WebSphere2.1.3、Tomcat 2、Tomcat基本概念2.1概述2.2、虚拟主机2.3、web应用2.4、DNS服务器2.5、Hosts文件 3、tomcat核心配置3.1、配置虚拟主…

【JavaWeb】之Tomcat介绍、安装与使用

【JavaWeb】Tomcat 前言一、Tomcat简介1.什么是Tomcat2.其他常用Web服务器 二、Tomcat安装1.下载Tomcat2.配置环境变量 三、Tomcat使用1.启动与关闭Tomcat2.修改Tomcat的端口号和主机名称3.使用IDEA搭建Web开发环境4.在Tomcat中部署web项目 四、Web项目目录结构五、网站访问流程…

tomcat详细介绍

tomcat是java语言编写的软件 JVM是java虚拟机的缩写 java虚拟机本质就是一个程序,当它在命令行上启动的时候,就开始执行保存在某字节码文件中的指令。 java语言的可移植性正是建立在java虚拟机的基础上。任何平台只要装有针对该平台的java虚拟机&#xf…