如何设置IPv4和IPv6报文的DSCP值——网络测试仪实操

article/2025/10/20 17:17:28

一、操作说明

在QoS测试中,经常要设置不同优先级的报文,来验证被测设备对于优先级的调度。所以,我们就要了解如何设置IPv6和IPv6报文中的DSCP(大部分使用DSCP值,也会用到TOS值)
这里我们使用测试接交换机,交换机转发测试仪发出的报文,我们在接收端口抓包,验证配置正确性。

二、测试拓扑

在这里插入图片描述

拓扑说明
测试仪两个端口和DUT两个端口相连
测试P1端口发出流量,经过DUT转发后,从B端口发出,进入P2端口。

三、测试思路

1.创建两个Port之间的流量,这里为了便捷就使用Raw流。
2.修改IPv4和IPv6报文中的DSCP值,在接收端口抓包查看DSCP字段是否符合设置预期

四、测试步骤

1、IPv4报文DSCP值设置
(1)占用端口
在这里插入图片描述

(2)创建流量,这里为了便捷,使用RAW流
在这里插入图片描述

(3)设置IPv4头部中的DSCP值。首先选在TOS或DSCP,这里我们以DSCP为例。
在这里插入图片描述

设置DSCP类型。这里有两个类型:CodePoint和Class Selector。
在这里插入图片描述

其中,Class Selector对应我们常说的AFxx
在这里插入图片描述

其中,CodePoint,对应我们常说的CSxx。这里根据客户要要求设定。
在这里插入图片描述

另外,点击QoS Edit按钮,这里可以看到DiffServ和ToS的设置,以及DiffServ下,CodePoint和Cass Selector的对应关系。
在这里插入图片描述

2、IPv6报文的DSCP值设置
(1)设置RAW流
(2)将IPv4头删除,添加IPv6报文头
在这里插入图片描述

(3)可以看到,报文头里只有Traffic Class(十进制)字段,我们就要通过设置Traffic Class字段,来实现DSCP值的设置。
在这里插入图片描述

这里需要注意下,我们首先看下报文中的DSCP值。Traffic Class字段有8bits,其中前6bits是DSCP值,后2bits是ECN(默认00)
在这里插入图片描述

因此,我们在报文编辑时填的Traffic Class数值时包括ECN的。
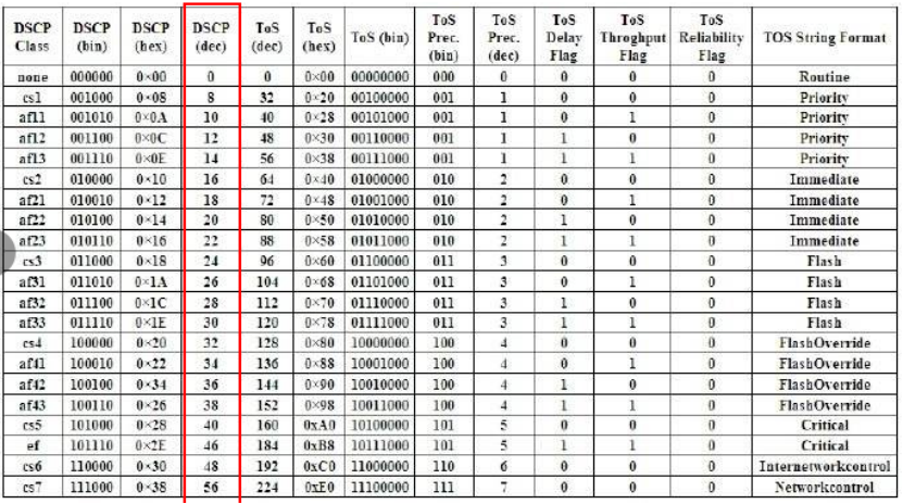
(4)编辑Traffic Class字段
我们先找到DSCP值10进制的编码表,例如下面这张。因为后面还有两个bit的ECN值00。所以我们把10进制的DSCP值*4,就得到了10进制的Traffic Class值。
在这里插入图片描述

例如,我们这里使用AF43对应10进制38, 38*4=152。
在这里插入图片描述

(5)发送流量,接收端口抓包,显示DSCP值为AF43
在这里插入图片描述


http://chatgpt.dhexx.cn/article/NBQg84w6.shtml

相关文章

DSCP vs IPv4 Tos

首先看IPv4包头如下 其中,Qos用到的是Tos定义有下面两种: 老的IPv4 TOS Byte定义和值 新的DSCP定义和值 DSCP值 DSCP ValueMeaningDrop ProbabilityEquivalent IP Precedence Value101 110 (46)High Priority Expedited Forwarding (EF)N/A101 – …

c语言socket设置IPV4/6的dscp值

环境&#xff1a;linux centos7 、x86 、UDP包 使用sock需要增加头文件 #include <sys/socket.h> #include <sys/types.h> 设置方法很简单&#xff0c;都是使用setsockopt函数&#xff0c;就是找资料及如何太麻烦&#xff0c;尤其是IPV6。需要注意IPV4设置的是I…

tos cos dscp 区别和作用

tos cos 和dscp 都是通过iptable 的mange 的mark 标签来更改的。 谈到qos首先需要了解qos调度的几个重要过程,qos调度过程包括网络入口数据流量的分类和标记、骨干网设备上的拥塞避免和拥塞管理、网路出口的队列调度这几个重要过程. 1、cos和tos的区别: 通过acl对流量进行分类以…

IP优先级和DSCP之间的关系

1. IP优先级和DSCP之间的关系 DiffServ体系定义的DS字段&#xff0c;取代IPv4中ToS字段作出有关数据包分类和流量调节功能的策略。 1.1. ToS字段 在IPv4的报文头中&#xff0c;TOS字段是1字节&#xff0c;根据RFC1122的定义&#xff0c;IP优先级&#xff08;IPPrecedence&…

802.1P优先级、IP优先级、TOS优先级及DSCP优先级的分类和对应

1、802.1P优先级&#xff08;有时也称COS优先级&#xff09;&#xff1a; 802.1p用户优先级定义在二层802.1Q 标签头中的TCI字段中。&#xff0c;和VLAN ID一起使用&#xff0c;位于高位起16-18bit字段&#xff0c;长度3bit&#xff0c;取值范围0-7&#xff0c;0优先级最低&…

DSCP 与IP 优先级IP优先级

首先看IPv4包头如下 其中&#xff0c;Qos用到的是Tos定义有下面两种&#xff1a; 老的IPv4 TOS Byte定义和值 新的DSCP定义和值 DSCP值 DSCP Value Meaning Drop Probability Equivalent IP Precedence Value 101 110 (46) High Priority Expedited Forwarding (EF) N/A…

IP Precedence、DSCP、TOS

刚开始接触QoS时&#xff0c;经常会被IP Precedence、DSCP、TOS这些名词搞迷糊&#xff0c;那么接下来就梳理一下。 首先 IP Precedence IPv4中有8bit作为TOS字段&#xff0c;一开始RFC791定义了TOS前三位为IP Precedence&#xff0c;划分了8个优先级&#xff0c;可用于流分类…

【网络】Cos和ToS和DSCP|Qos|PHB的含义和区别以及映射

目录 视频教程&#xff1a; 介绍和区别 Qos/Cos IP-TOS&#xff08;IPP/CS&#xff09;和DSCP PHB&#xff08;Per-Hop-Behaviors&#xff09; 区别 各个等级的DSCP值和含义(PHB) 映射 COS到DSCP的映射 IP-Precedence到DSCP的映射&#xff08;Tos-->DSCP&#xff09…

TOS 和DSCP

IPv4报文中有三种承载QoS优先级标签的方式&#xff0c;分别为基于二层的CoS字段&#xff08;IEEE802.1p&#xff09;的优先级、基于IP层的IP优先级&#xff08;IP Precedence&#xff09;字段ToS优先级和基于IP层的DSCP&#xff08;Differentiated Services Codepoint&#xff…

什么是DSCP,如何使用DSCP标记搭配ROS策略

什么是DSCP&#xff0c;如何使用DSCP标记搭配ROS策略 一、什么是DSCP DSCP&#xff1a;差分服务代码点&#xff08;Differentiated Services Code Point&#xff09;&#xff0c;IETF于1998年12月发布了Diff-Serv&#xff08;Differentiated Service&#xff09;的QoS分类标准…

TOS 和 DSCP理解

背景 IPv4报文中有三种承载QoS优先级标签的方式&#xff0c;分别为基于二层的CoS字段&#xff08;IEEE802.1p&#xff09;的优先级、基于IP层的IP优先级&#xff08;IP Precedence&#xff09;字段ToS优先级和基于IP层的DSCP&#xff08;Differentiated Services Codepoint&am…

谈谈ES5和ES6的区别

我们都知道JavaScript是由三部分组成&#xff1a; 1. ECMAScript(核心)&#xff1a;规定了语言的组成部分>语法、类型、语句、关键字、保留字、操作符、对象 2. BOM(浏览器对象模型): 支持访问和操作浏览器窗口&#xff0c;可以控制浏览器显示页面以外的部分。 3. DOM(文…

ES5基础语法

一.类与对象 class father {that this;constructor(uname, age) {this.uname uname;this.age age;}sing(song) {console.log(this.uname song);}}class son extends father {constructor(uname,age) {super(uname,age);this.unameuname;this.age age;}sing(song){console.…

ES5语法

从今天起&#xff0c;我们开始接触JS部分&#xff0c;先从ES5一些简单的语法入手。下面先看下思维导图&#xff0c;确定我们的学习思路&#xff1a; 今天我们先学习代码规范&#xff0c;数据类型以及数据类型转换三个模块 代码规范 JS中的一切都区分大小写 标识符&#xff1…

es5 es6 互相转换

- 工具&#xff1a;Visual Studio Code - 具体过程 1.新建项目&#xff0c;dist存放ES6格式的&#xff0c;src存放ES5格式的&#xff0c;如下 index.html内容&#xff0c;此处引用dist中的js 2.打开终端&#xff08;ctrl &#xff09; npm需要安装&#xff0c;安装node即可…

套接字

套接字&#xff08;socket&#xff09;最早是由BSD在1982年引入的通信机制&#xff0c;目前已被广泛移植到主流的操作系统中。对于应用开发人员来说&#xff0c;套接字&#xff08;socket&#xff09;是一种特殊的I/O接口&#xff0c;也是一种文件描述符。socket是一种常用的进…

原始套接字简介

一 原始套接字概述 原始套接字&#xff0c;指在传输层下面使用的套接字。流式套接字和数据报套接字这两种套接字工作在传输层&#xff0c;主要为应用层的应用程序提供服务&#xff0c;并且在接收和发送时只能操作数据部分&#xff0c;而不能对IP首部或TCP和UDP首部进行操作&am…

网络套接字编程(socket 详解)

socket 编程 套接字概念 Socket本身有“插座”的意思&#xff0c;在Linux环境下&#xff0c;用于表示进程间网络通信的特殊文件类型。本质为内核借助缓冲区形成的伪文件。既然是文件&#xff0c;那么理所当然的&#xff0c;我们可以使用文件描述符引用套接字。与管道类似的&a…

Socket 套接字原理详解

Socket 套接字原理详解 socket 编程介绍 Socket编程封装了常见的TCP、UDP操作&#xff0c;可以实现非常方便的网络编程。 socket() 函数介绍 # socket.socket(family,type) tcpSocketsocket.socket(AF_INET, SOCK_STREAM) # family 地址系列应为 AF_INET(IPv4), AF_INET6(IP…

TCP的套接字

摘自&#xff1a;《深入理解计算机网络》 王达著 机械工业出版社 相关知识链接 1. IPV4数据报头部格式 2. IPv6数据报头部格式 3. IPv4数据报的封装与解封装 4. IPv4数据报的分段与重组 5. ARP协议报文格式及ARP表 6. ARP地址解析原理 7. ICMP协议及报文格式 8. IPv6协…