html页分割线最简单的实现方式

article/2025/10/14 9:52:17

我们在写前台页的时候一般会碰到需要实现两个快中间加一条竖线,这样会使得页面分布更加清晰,下面就来说一说我的分割线的实现方式,设置一个div并给他设置宽高,然后设置其边框的颜色和宽度。

竖向分割线:

<body><div style="width:200px;height:200px;background-color:#f0f0f0;float:left;"></div><div style="width:2px;height:200px;border-left:1px solid #ccc;float:left;margin-left:15px;"></div><div style="width:200px;height:200px;background-color:#ccc;float:left;margin-left:15px;"></div>
</body>

效果图:

横向分割线:

<body><div style="width:200px;height:200px;background-color:#f0f0f0;"></div><div style="height:2px;width:200px;border-top:1px solid #ccc;float:left;margin-top:15px;"></div><div style="width:200px;height:200px;background-color:#ccc;margin-top:30px;"></div>
</body>

效果图:


http://chatgpt.dhexx.cn/article/FyICMFuo.shtml

相关文章

【html问题】在网页中添加垂直分割线

html中添加水平分割线的方法非常简单&#xff0c;就是使用<hr>标签&#xff0c;但是却没有简单的添加垂直分割线的方法&#xff0c;我在学习的这段时间&#xff0c;自己琢磨了一些添加垂直分割线的方法。 1.在文本中直接使用符号"|"。 优点&#xff1a;简单方…

css之分割线特效

温馨小提示&#xff0c;下面的盒子用的都是Grid布局&#xff0c;如果想要其他布局可以点击这里 CSS Grid Generator 盒子html <div class"parent1"><div class"div1">斜分割线</div><div class"div2">SETTINGS</di…

HTML--页面分割

页面分割排版&#xff0c;最终效果图示&#xff1a;&#xff08;手绘&#xff0c;比较简陋。&#xff09; 思路。一共四个html页面&#xff0c;一个做个父页面home.html&#xff0c;另外三个分别是top.html, left.html, right.html 然后把后面三个html页面拼在一起&#xff0…

HTML设置水平分割线

2019独角兽企业重金招聘Python工程师标准>>> 在Web中使用水平分割线可以分割不同的文字段落或者其它网页组件,轻松地修饰了段落排版,使之更美观。当然,水平分割线还可以更加明显地突出某一段重要的文字,使之更加醒目。 使用<hr>标签可以轻松地设置一条水平…

HTML链接(详细)与分割线(部分)

&#xff08;一&#xff09;说明模块 HTML链接用法------三种属性&#xff1a; * href属性&#xff1a;指定跳转目标&#xff0c;也就是指定需要打开的链接地址&#xff0c;是必须存在的&#xff0c;不可缺省的 * target属性&#xff1a;指定链接标签的弹出方式&…

Web前端基础—html

目录 1. html简介 1.1 常用标签介绍 1.1.1 input输入功能 1.1.2 html的列表 1.1.3 标题标签 1.1.4 分割线 1.1.5 视频播放 1.1.6 一个超简单的作业演示&#xff08;初识style&#xff09; 1. html简介 <!DOCTYPE html><html lang"en"><head&g…

html分割线

34755人阅读 各种分割线Html代码 一、基本线条&#xff1a; 1、<HR> 2、<HRaligncenter width300 color#987cb9SIZE1> align线条位置&#xff08;可选left、right、center&#xff09;&#xff1b;width线条长度&#xff1b;color颜色&#xff1b;size厚度 二、…

html几种美丽的分割线

普通 <HR> <HR aligncenter width300 color#987cb9 SIZE1> align 线条位置&#xff08;可选left、right、center&#xff09;&#xff1b;width 线条长度&#xff1b;color 颜色&#xff1b;size 厚度 特效&#xff08;效果并不是孤立的&#xff0c;可相互组合&am…

Python机器学习基础教程

Python机器学习教程 第一章&#xff1a;对于机器学习&#xff0c;我们选择了Python 第二章&#xff1a;了解SciPy、Pandas 持续更新 ... ...

[机器学习实战] 机器学习基础

1. 机器学习的主要任务&#xff1a;&#xff08;分类、回归&#xff09;有监督学习、&#xff08;聚类、密度估计&#xff09;无监督学习 2. 如何选择合适算法&#xff1a;使用机器学习的目的&#xff1b;需要分析的数据是什么&#xff1b;——分类、回归、聚类还是密度估计&am…

机器学习基本概念

本文首先介绍机器学习的基本流程&#xff0c;然后针对机器学习涉及的数据、算法和评估这三个方面用到的基础概念进行介绍。 1.机器学习流程 机器学习是一个数据流转、分析以及得到结果的过程&#xff0c;它的整个流程大致可以分为六个步骤&#xff0c;按照数据流自上而下的顺…

机器学习基础——损失函数与风险函数

机器学习的目标是从模型的假设空间中选取最优的模型&#xff0c;其具体的策略有经验风险最小化和结构风险最小化。下面简单介绍损失函数和风险函数的相关概念。参考自李航《统计学习方法》。 损失函数 损失函数(loss function)用来预测模型单次预测的好坏&#xff0c;即模型的…

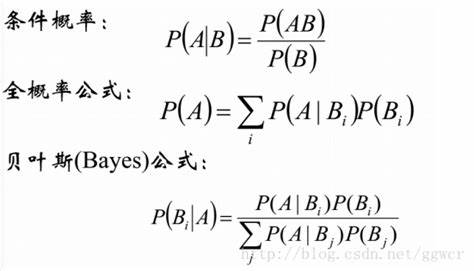
机器学习基础知识之概率论基础详解

机器学习基础知识之概率论基础详解 文章目录 机器学习基础知识之概率论基础详解引言一、随机事件以及其运算1、样本空间的概念2、随机事件3、随机变量4、事件之间的关系4.1包含关系4.2相等关系4.3互不相容 5、事件间的运算5.1并5.2交5.3差5.4对立事件5.5运算性质 6、事件域 二、…

【机器学习基础】机器学习模型与算法最全分类汇总!

机器学习 Author&#xff1a;louwill Machine Learning Lab 本文总共涉及了26种机器学习模型与算法&#xff0c;几乎涵盖了全部主流的机器学习算法。包括线性回归、逻辑回归、Lasso回归、Ridge回归、线性判别分析、近邻、决策树、感知机、神经网络、支持向量机、AdaBoost、GBDT…

python基础教程免费下载-《Python机器学习基础教程》高清版免费PDF下载

Python机器学习基础教程-[德] 安德里亚斯穆勒(Andreas C.Mller)[美]莎拉吉多(Sarah Guido) 著,张亮(hysic) 译 下载地址1:网盘下载 下载地址2:网盘下载 内容简介 本书是机器学习入门书,以Python语言介绍。主要内容包括:机器学习的基本概念及其应用;实践中常用的…

机器学习开发框架

目录 目录 1.什么是机器学习开发框架 2.机器学习框架和深度学习框架的关系 3.常见深度学习框架 1.什么是机器学习开发框架 机器学习开发框架本质上是一种编程库或工具&#xff0c;目的是能够让开发人员更容易、更快速地构建机器学习模型。 机器学习开发框架封装了大量的可…

《Python机器学习基础教程》学习记录(一)

开篇 为了提升自己&#xff0c;准备学习《Python机器学习基础教程》作者: [德]安德里亚斯穆勒 / [美]莎拉吉多&#xff0c;译者: 张亮 &#xff1b;写此博客&#xff0c;用作记录书中的代码&#xff0c;学习心得等。 第一章 1.4.4 matplotlib matplotlib 是Python 主要的科学…

【机器学习基础】9 大主题!机器学习算法理论面试题大汇总

机器学习是一门理论性和实战性都比较强的技术学科。在应聘机器学习相关工作岗位时&#xff0c;我们常常会遇到各种各样的机器学习问题和知识点。 算法理论基础不仅包含基本概念、数学基础&#xff0c;也包含了机器学习、深度学习相关。今天给大家推荐一个不错的算法理论基础面试…

机器学习数学基础

目录 1 线性代数1.1 矩阵定义1.2 矩阵中的概念1.2.1 向量 1.3 矩阵的运算1.4 矩阵的转置1.5 矩阵的逆 2 微积分2.1 导数的定义2.2 偏导数2.3 方向导数2.4 梯度2.5 凸函数和凹函数 3 概率统计3.1 常用统计变量3.1.1 数学期望和大数定律3.1.2 协方差3.1.3 相关系数 3.2 常见概率分…

图解机器学习算法(1) | 机器学习基础知识(机器学习通关指南·完结)

作者&#xff1a;韩信子ShowMeAI教程地址&#xff1a;https://www.showmeai.tech/tutorials/34本文地址&#xff1a;https://www.showmeai.tech/article-detail/185声明&#xff1a;版权所有&#xff0c;转载请联系平台与作者并注明出处 1. 机器学习概述 1&#xff09;什么是机…