【视觉SLAM十四讲】视觉里程计—特征点法

article/2025/10/3 19:26:36

本文为视觉 SLAM 学习笔记,讲解视觉里程计中的特征点法。

本讲内容概要

  • 图像特征的意义,在单幅及多幅图像中提取特征点。
  • 对极几何的原理,利用对极几何的约束恢复图像间相机的三维运动
  • PnP 问题,利用已知三维结构与图像的对应关系求解相机的三维运动
  • ICP 问题,利用点云的匹配关系求解相机的三维运动
  • 通过三角化获得二维图像上对应点的三维结构

特征点法

经典 SLAM 模型中以位姿——路标(Landmark)来描述 SLAM 过程。我们在经典 SLAM 系统中说的运动方程是位姿与位姿之间的关系,而观测方程说的是位姿与路标的关系。

路标是三维空间中固定不变的点,且需满足以下的特点:

  • 数量充足,以实现良好的定位
  • 较好的区分性,以实现数据关联

在视觉 SLAM 中,·通常利用图像特征点作为 SLAM 中的路标,称为特征法。

特征点

特征点是图像中比较有代表性的部分,例如下图中的角点、边缘、区块:

在这里插入图片描述

好的特征点需要满足以下几个特点:

  • 可重复性:在不同地方观察同一特征点,相差不应该过大
  • 可区分性:不同特征点应该易于辨别
  • 高效:特征点的提取和匹配效率要高
  • 本地:特征只与图像局部性质有关

我们很容易看出,区分性排序为:角点>边缘>区块。因此在视觉 SLAM 中,我们通常使用角点作为特征点,边缘在某些情况下会用到,区块一般不用。

特征点的信息

特征点自己的信息有位置、大小、方向、评分等,称为关键点。

我们一般不通过特征点本身来区分特征点,而是通过点周围的图像来区分,因为同一特征点可能因为光照等因素的变化亮度差很大,误被识别为不同特征点。特征点周围的图像信息被称为描述子。描述子随着相机角度或光照的变化而变化不大。

当我们要找到表现好的描述子,其计算量会变大。SIFT 具有平移、缩放和旋转的不变性,性能高但计算量很大。比如 ORB 描述子为简单描述子,只有平移或缩放(尺度)不变性,性能不高但计算量小,可以满足实时性。目前 ORB 描述子在 SLAM 中是一种很好的描述。

如果你对各种关键点和描述子感兴趣,建议参考 OpenCV features2d 模块。

ORB 特征

因为 ORB 是 SLAM 中较为成功的一种描述,我们以它为代表介绍特征。SIFT 的相关资料已经有很多介绍,可自行查阅。

ORB 的关键点是一个 Oriented FAST,即带旋转的 FAST ,其描述也是带旋转的 BRIEF。FAST 和 BRIEF 都是在特征描述中属于较为简单实时性好,但精度不好的方式,SLAM 中图像位移不大时也是可以匹配到的。

FAST 是一种关键点。其思想为:以一个点为中心,周围取像素,如果连续有 n 个点的灰度值与中心点相差一个阈值以上,我们就认为该点为关键点。这种方式计算量很小,只是比大小,因此提取 FAST 点速度很快,还可以使用一些加速手段。如取中心点周围 10 个点进行比较,则称为 FAST10。但是这样提取到 FAST 点太多,我们还需要网格等计算评分来筛选出好的特征点,然后特征点就可以使用了。

在这里插入图片描述

但是这样提出的 FAST 只是一个位置,我们还需要计算一个 FAST 旋转。旋转相当于图像的重心,如果左边为暗右边为亮则指向右边,最后计算得到的是图像梯度指向的角度。旋转的计算过程如下:

  1. 在一个小的图像块 B B B 中,定义图像块的矩为:

    m p q = ∑ x , y ∈ B x p y q I ( x , y ) , p , q = { 0 , 1 } m_{pq}=\sum\limits_{x,y∈B}x^py^qI(x,y),\quad p,q=\{0,1\} mpq=x,yBxpyqI(x,y),p,q={0,1}

  2. 通过矩可以找到图像块的质心:
    C = ( m 10 m 00 , m 01 m 00 ) C=(\frac{m_{10}}{m_{00}},\frac{m_{01}}{m_{00}}) C=(m00m10,m00m01)

  3. 连接图像块的几何中心 O O O 与质心 C C C,得到一个方向向量 O C ⃗ \vec{OC} OC ,于是特征点的方向可以定义为:
    θ = a r c t a n ( m 01 / m 10 ) \theta=arctan(m_{01}/m_{10}) θ=arctan(m01/m10)

FAST 只有平移不变性和旋转不变性,但没有尺度(缩放)不变性。尺度不变性为:当从远处和近处看向 FAST 是否还是角点,或者分辨率不同的情况下 FAST 角点还是不是角点。解决这个问题,我们一般会将图像做一个图像金字塔。最底层为图像最原始的分辨率,上面几层为原始图像缩小后的图像,最终构成一个分辨率不同大小的图像为金字塔。我们可以给每层提取一个 FAST,这样就获得了各种尺度下的 FAST 特征,我们可认为其具有一定程度上的尺度不变性。

BRIEF

BRIEF 是一种二进制的描述子,如 BRIEF-128 为 128 位,每一位表示附近每个点对 A、B 的大小关系,使用汉明距离进行计算。BRIEF 描述了附近图像的信息,可作为 FAST 点的描述。A、B 点对的选取可随机均匀分布、满足高斯分布或满足特定 pattern。已有文献对不同的选取方式进行了测试,结果相差不大,我们可以随机选取。在选定某种固定的 pattern 后不能再变,否则失去了比较的意义。

在计算描述的时候,需要先将图像按照 FAST 中计算的角度进行旋转,再去进行比较,称为旋转后的 BRIEF。下图为 ORB-SLAM 的 pattern:

在这里插入图片描述

特征匹配

我们已经有了两张图的特征点,现在需要通过判断描述子的差异来判断哪些特征为同一个点。

最简单的特征匹配方法为暴力匹配,即 A 中一特征点与 B 中所有特征点之间计算描述子的距离,哪个最小就匹配哪个。描述子距离表示了两特征间的相似程度,可取不同的距离量度范数。对于浮点类型的描述子,使用欧氏距离,对于二进制的描述子(如 BRIEF),使用汉明距离。

当想要某帧和一张地图时,暴力匹配运算量过大,需要**快速近似最近邻(FLANN)**算法来加速。因为其过程较为复杂,且实现已经集成到 OpenCV,这里不进行介绍,如果感兴趣可自行百度。

实践:特征提取和匹配

OpenCV 的安装见 Ubuntu 安装 OpenCV。

首先读取两张图像,在这两张图像间进行特征匹配:

if ( argc != 3 )
{cout<<"usage: feature_extraction img1 img2"<<endl;return 1;
}
//-- 读取图像
Mat img_1 = imread ( argv[1], CV_LOAD_IMAGE_COLOR );
Mat img_2 = imread ( argv[2], CV_LOAD_IMAGE_COLOR );

然后申请关键点、描述子和匹配:

//-- 初始化
std::vector<KeyPoint> keypoints_1, keypoints_2;
Mat descriptors_1, descriptors_2;
Ptr<FeatureDetector> detector = ORB::create(); // 在这里可以设置提取特征点的数量
Ptr<DescriptorExtractor> descriptor = ORB::create();
// 不能使用欧氏距离,要声明汉明距离
Ptr<DescriptorMatcher> matcher  = DescriptorMatcher::create ( "BruteForce-Hamming" );

第一步:检测 Oriented FAST 角点位置

detector->detect ( img_1,keypoints_1 );
detector->detect ( img_2,keypoints_2 );

第二步:根据角点位置计算 BRIEF 描述子

descriptor->compute ( img_1, keypoints_1, descriptors_1 );
descriptor->compute ( img_2, keypoints_2, descriptors_2 );
Mat outimg1;
// 画出提取的特征
drawKeypoints( img_1, keypoints_1, outimg1, Scalar::all(-1), DrawMatchesFlags::DEFAULT );
imshow("ORB特征点",outimg1);

第三步:对两幅图像中的 BRIEF 描述子进行匹配,使用 Hamming 距离

vector<DMatch> matches;
//BFMatcher matcher ( NORM_HAMMING );
matcher->match ( descriptors_1, descriptors_2, matches );

第四步:匹配点对筛选。因为使用了暴力匹配,第一个图中的每个点不一定都在第二张图中有匹配,因此存在很多误匹配的点,要进行筛选。

double min_dist=10000, max_dist=0;//找出所有匹配之间的最小距离和最大距离, 即是最相似的和最不相似的两组点之间的距离
for ( int i = 0; i < descriptors_1.rows; i++ )
{double dist = matches[i].distance;if ( dist < min_dist ) min_dist = dist;if ( dist > max_dist ) max_dist = dist;
}// 仅供娱乐的写法
min_dist = min_element( matches.begin(), matches.end(), [](const DMatch& m1, const DMatch& m2) {return m1.distance<m2.distance;} )->distance;
max_dist = max_element( matches.begin(), matches.end(), [](const DMatch& m1, const DMatch& m2) {return m1.distance<m2.distance;} )->distance;printf ( "-- Max dist : %f \n", max_dist );
printf ( "-- Min dist : %f \n", min_dist );//当描述子之间的距离大于两倍的最小距离时,即认为匹配有误.但有时候最小距离会非常小,设置一个经验值30作为下限.
std::vector< DMatch > good_matches;
for ( int i = 0; i < descriptors_1.rows; i++ )
{if ( matches[i].distance <= max ( 2*min_dist, 30.0 ) ){good_matches.push_back ( matches[i] );}
}

第五步:绘制匹配结果

Mat img_match;
Mat img_goodmatch;
drawMatches ( img_1, keypoints_1, img_2, keypoints_2, matches, img_match );
drawMatches ( img_1, keypoints_1, img_2, keypoints_2, good_matches, img_goodmatch );
imshow ( "所有匹配点对", img_match );
imshow ( "优化后匹配点对", img_goodmatch );
waitKey(0);

如果此时发生报错:

pose_estimation_3d2d.cpp:151:50: error: no matching function for call to ‘g2o::BlockSolver<g2o::BlockSolverTraits<6, 3> >::BlockSolver(g2o::BlockSolver<g2o::BlockSolverTraits<6, 3> >::LinearSolverType*&)’Block* solver_ptr = new Block ( linearSolver );     // 矩阵块求解器^
In file included from /usr/local/include/g2o/core/block_solver.h:199:0,from /home/xin/Slam/slambook/slambook-master/ch7/pose_estimation_3d2d.cpp:10:

出现这种错误的原因是 g2o 的新旧版本间指针类型不匹配。我们需要进行修改。

在 pose_estimation_3d2d.cpp 中,第 151-152 行,修改前代码如下:

Block* solver_ptr = new Block ( linearSolver );     // 矩阵块求解器
g2o::OptimizationAlgorithmLevenberg* solver = new g2o::OptimizationAlgorithmLevenberg ( solver_ptr );

修改后代码(修改的是 151-152 行):

Block* solver_ptr = new Block ( std::unique_ptr<Block::LinearSolverType>(linearSolver) );     // 矩阵块求解器
g2o::OptimizationAlgorithmLevenberg* solver = new g2o::OptimizationAlgorithmLevenberg ( std::unique_ptr<Block>(solver_ptr) );

在 pose_estimation_3d3d.cpp 中,第 279-280 行,修改前代码如下:

Block* solver_ptr = new Block( linearSolver );      // 矩阵块求解器
g2o::OptimizationAlgorithmGaussNewton* solver = new g2o::OptimizationAlgorithmGaussNewton( solver_ptr );

修改后代码:

Block* solver_ptr = new Block( std::unique_ptr<Block::LinearSolverType>(linearSolver) ); // 矩阵块求解器
g2o::OptimizationAlgorithmGaussNewton* solver = new g2o::OptimizationAlgorithmGaussNewton( std::unique_ptr<Block>(solver_ptr) );

最后在 1.png, 2.png 下执行:

./build/feature_extraction 1.png 2.png

提取的特征点如下图,可见特征点都集中在灰度变化明显的地方:

在这里插入图片描述

暴力匹配得到的匹配结果,存在大量误匹配:

在这里插入图片描述

经过筛选之后,剩下的匹配大多都是正确的匹配:

在这里插入图片描述

特征点匹配后,得到了特征点之间的关系:

  • 若只有两个单目图像,得到 2D-2D 间的关系——对极约束
  • 若匹配的是帧和地图,得到 3D-2D 间的关系——PnP
  • 若匹配的是 RGB-D 图,得到 3D-3D 间的关系——ICP

2D-2D:对极几何

对极约束

现在,我们以及找到了很对匹配的点,下面为其中的一个点对:

在这里插入图片描述

几何关系:

  • 两个相机中心分别为 O 1 , O 2 O_1,O_2 O1,O2 P P P 在两个图像的投影为 p 1 , p 2 p_1,p_2 p1,p2,连线 O 1 p 1 ⃗ , O 2 p 2 ⃗ \vec{O_1p_1},\vec{O_2p_2} O1p1 ,O2p2 在三维空间中相交于点 P P P,为路标点

  • l 1 l_1 l1 O 2 p 2 ⃗ \vec{O_2p_2} O2p2 在平面 I 1 I_1 I1 的投影,称为极线, e 1 , e 2 e_1,e_2 e1,e2 称为极点

  • 两个相机之间的变换为 T 12 T_{12} T12

实践中:

  • p 1 , p 2 p_1,p_2 p1,p2 通过特征匹配得到, P P P 未知, e 1 , e 2 e_1,e_2 e1,e2 未知, T 12 T_{12} T12 待求。
  • 这是一个通过匹配点建图和求解位姿的问题,是经典的 SLAM 问题

我们设世界坐标为 P = [ X , Y , Z ] T P=[X,Y,Z]^T P=[X,Y,Z]T。由相机模型,两个像素点 p 1 , p 2 p_1,p_2 p1,p2 的像素位置为:
s 1 p 1 = K P , s 2 p 2 = K ( R P + t ) s_1p_1=KP, \quad s_2p_2=K(RP+t) s1p1=KP,s2p2=K(RP+t)
使用归一化坐标(去掉内参):
x 1 = K − 1 p 1 , x 2 = K − 1 p 2 x_1=K^{-1}p_1, \quad x_2=K^{-1}p_2 x1=K1p1,x2=K1p2
x 1 , x 2 x_1,x_2 x1,x2 是两个像素点的归一化平面上的坐标,带入上式得齐次关系:
x 2 = R x 1 + t x_2=Rx_1+t x2=Rx1+t
两侧左乘 t ^ \hat t t^,相当于两边同时与 t t t 叉乘:
t ^ x 2 = t ^ R x 1 \hat t x_2=\hat t Rx_1 t^x2=t^Rx1
两边左乘 x 2 T x_2^T x2T
x 2 T t ^ x 2 = x 2 T t ^ R x 1 x_2^T\hat t x_2=x_2^T\hat t Rx_1 x2Tt^x2=x2Tt^Rx1
因为 t ^ x 2 \hat t x_2 t^x2 是一个与 t t t x 2 x_2 x2 都垂直的向量,与 x 2 x_2 x2 做内积时为 0:
x 2 T t ^ R x 1 = 0 x_2^T\hat t Rx_1=0 x2Tt^Rx1=0
重新代入 p 1 , p 2 p_1,p_2 p1,p2
p 2 T K − T t ^ R K − 1 p 1 = 0 p_2^TK^{-T}\hat tRK^{-1}p_1=0 p2TKTt^RK1p1=0
上面两个式子为对极约束

设本质矩阵 E = t ^ R E=\hat tR E=t^R,基础矩阵 F = K − T E K − 1 F=K^{-T}EK^{-1} F=KTEK1,上式化简为:
x 2 T E x 1 = p 2 T F p 1 = 0 x_2^TEx_1=p_2^TFp_1=0 x2TEx1=p2TFp1=0
在 SLAM 中内参 K K K 已知,可以使用 E E E

尺度不确定性

在前面 x 2 T t ^ R x 1 = 0 x_2^T\hat t Rx_1=0 x2Tt^Rx1=0 中,给 R R R 数乘后等式仍成立,则 E = t ^ R E=\hat tR E=t^R 有多解,为尺度不确定性。

位姿估计的步骤

  1. 根据匹配点对的像素位置求出 E E E
  2. E E E 恢复 R , t R,t R,t

对极约束性质:

  • 乘任意非零常数,对极约束仍满足, E E E 在不同尺度下等价
  • 平移和旋转共 3 个自由度, t ^ R \hat tR t^R 共 6 个自由度,由于尺度不变性会丢失一个自由度,故 E E E 只有 5 个自由度。但 E E E 的非线性性质会使 5 对点求解困难
  • E E E 当作普通矩阵用 8 点法估计 E E E,只利用了 E E E 的线性性质。

本质矩阵——八点法求 E E E

考虑一对匹配点的对极约束:

在这里插入图片描述

E E E 展开为向量形式:
e ⃗ = [ e 1 , e 2 , e 3 , e 4 , e 5 , e 6 , e 7 , e 8 , e 9 ] T \vec{e}=[e_1,e_2,e_3,e_4,e_5,e_6,e_7,e_8,e_9]^T e =[e1,e2,e3,e4,e5,e6,e7,e8,e9]T
对极约束可以写为线性形式:
[ u 1 u 1 , u 1 v 2 , u 1 , v 1 u 2 , v 1 v 2 , v 1 , u 2 , v 2 , 1 ] ⋅ e ⃗ = 0 [u_1u_1,u_1v_2,u_1,v_1u_2,v_1v_2,v_1,u_2,v_2,1]·\vec{e}=0 [u1u1,u1v2,u1,v1u2,v1v2,v1,u2,v2,1]e =0
将 8 对点放入方程中,得到线性方程组:

在这里插入图片描述

a x = 0 ax=0 ax=0,解出 x x x 得到 E E E 即可。方程的解是欠定的, k e ke ke 也是方程的解。这与 e e e 的尺度等价性是一致的。

E E E 计算 R , t R,t R,t:奇异值(SVD)分解:
E = U Σ V T E=U\Sigma V^T E=UΣVT

t 1 ^ = U R Z ( π 2 ) Σ U T , R 1 = U R Z T ( π 2 ) V T \hat{t_1}=UR_Z(\frac{\pi}{2})\Sigma U^T, \quad R_1=UR_Z^T(\frac{\pi}{2})V^T t1^=URZ(2π)ΣUT,R1=URZT(2π)VT

t 2 ^ = U R Z ( − π 2 Σ U T ) , R 2 = U R Z T ( − π 2 ) V T \hat{t_2}=UR_Z(-\frac{\pi}{2}\Sigma U^T), \quad R_2=UR_Z^T(-\frac{\pi}{2})V^T t2^=URZ(2πΣUT),R2=URZT(2π)VT

得到四组解:

在这里插入图片描述

将验证点带入解中,只有 1 个为正,即为正确解。

讨论八点法

  1. 用于单目初始化。相机运动过程中地图为 3D 的,可以使用 PnP 求解,因此八点法只在初始化时使用
  2. 尺度不确定性:将轨迹和地图缩放任意倍,得到观测值相同。因此在实际中,我们将 t t t 归一化或将特征点的平均深度设为 1。即要么限制运动,要么限制结构,否则会任意倍的放缩
  3. 纯旋转时,即 t = 0 t=0 t=0 时, E = 0 E=0 E=0 无法分解
  4. 因为两张图有很多特征点,当多于 8 对时,我们计算最小二乘法或 RANSAC(后面会详细讲解)。

单应矩阵

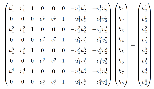
从单应矩阵恢复 R , t R,t R,t 时,八点法在特征点共面时会退化。设特征点位于某平面上: n T P + d = 0 n^TP+d=0 nTP+d=0 − n T P d = 1 -\frac{n^TP}{d}=1 dnTP=1。则两个图像特征点的坐标关系为:
p 2 = K ( R P + t ) = … = K ( R − t n T d ) K − 1 p 1 p_2=K(RP+t)=…=K(R-\frac{tn^T}{d})K^{-1}p_1 p2=K(RP+t)==K(RdtnT)K1p1
我们得到了直接描述图像坐标 p 1 p_1 p1 p 2 p_2 p2 间的变换。将中间的部分记为 H H H
p 2 = H p 1 p_2=Hp_1 p2=Hp1
展开后有:

在这里插入图片描述

写成关于 H H H 的线性方程:

在这里插入图片描述

类似八点法,先计算 H H H,再用 H H H 恢复 R , t , n , d , K R,t,n,d,K R,t,n,d,K

小结

在 2D-2D 情况下,只知道图像坐标之间的对应关系。

  • 当特征点在平面上时(例如俯视和仰视),使用 H H H 恢复 R , t R,t R,t
  • 否则使用 E E E F F F 恢复 R , t R,t R,t

求得 R , t R,t R,t 后,利用三角化计算特征点的 3D 位置,即深度。

实践:对极约束求解相机运动

首先是特征点匹配封装为一个函数,具体内容与前面实践相同:

void find_feature_matches (const Mat& img_1, const Mat& img_2,std::vector<KeyPoint>& keypoints_1,std::vector<KeyPoint>& keypoints_2,std::vector< DMatch >& matches );

然后计算基础矩阵、本质矩阵和单应矩阵,并恢复相机位姿 R 21 , t 21 R_{21},t_{21} R21,t21

//-- 计算基础矩阵
Mat fundamental_matrix;
fundamental_matrix = findFundamentalMat ( points1, points2, CV_FM_8POINT );
cout<<"fundamental_matrix is "<<endl<< fundamental_matrix<<endl;//-- 计算本质矩阵
Point2d principal_point ( 325.1, 249.7 );	//相机光心, TUM dataset标定值
double focal_length = 521;			//相机焦距, TUM dataset标定值
Mat essential_matrix;
essential_matrix = findEssentialMat ( points1, points2, focal_length, principal_point );
cout<<"essential_matrix is "<<endl<< essential_matrix<<endl;//-- 计算单应矩阵
Mat homography_matrix;
homography_matrix = findHomography ( points1, points2, RANSAC, 3 );
cout<<"homography_matrix is "<<endl<<homography_matrix<<endl;//-- 从本质矩阵中恢复旋转和平移信息.
recoverPose ( essential_matrix, points1, points2, R, t, focal_length, principal_point );
cout<<"R is "<<endl<<R<<endl;
cout<<"t is "<<endl<<t<<endl;

然后还可以对其进行验证,验证对极约束是否近似为 0:

Mat K = ( Mat_<double> ( 3,3 ) << 520.9, 0, 325.1, 0, 521.0, 249.7, 0, 0, 1 );
for ( DMatch m: matches )
{Point2d pt1 = pixel2cam ( keypoints_1[ m.queryIdx ].pt, K );Mat y1 = ( Mat_<double> ( 3,1 ) << pt1.x, pt1.y, 1 );Point2d pt2 = pixel2cam ( keypoints_2[ m.trainIdx ].pt, K );Mat y2 = ( Mat_<double> ( 3,1 ) << pt2.x, pt2.y, 1 );Mat d = y2.t() * t_x * R * y1;cout << "epipolar constraint = " << d << endl;
}

得到的矩阵输出结果如下,其中 E E E t ^ R \hat tR t^R 只差一个倍数:

在这里插入图片描述

验证对极约束,因为误差的存在,得到的结果近似为 0:

在这里插入图片描述

OpenCV 中仅使用了 E E E 来求解 R , t R,t R,t,关于如何使用 H H H 求解位姿没有直接提供,可以参考 ORB-SLAM 和 SVO。

三角测量

前面已经求解出了运动,现在要根据运动求解特征点的 3D 位置。几何关系为:
s 1 x 1 = s 2 R x 2 + t s_1x_1=s_2Rx_2+t s1x1=s2Rx2+t
s 2 s_2 s2 时,两侧乘 x 1 ^ \hat{x_1} x1^
s 1 x 1 ^ x 1 = 0 = s 2 x 1 ^ R x 2 + x 1 ^ t s_1\hat{x_1}x_1=0=s_2\hat{x_1}Rx_2+\hat{x_1}t s1x1^x1=0=s2x1^Rx2+x1^t
反之亦然。

或者同时解 s 1 , s 2 s_1,s_2 s1,s2,求 [ − R x 2 , x 1 ] [ s 1 s 2 ] = t [-Rx_2,x_1]\left[ \begin{matrix} s_1 \\ s_2 \end{matrix} \right]=t [Rx2,x1][s1s2]=t 的最小二乘解:
x = ( A T A ) − 1 A T b x=(A^TA)^{-1}A^Tb x=(ATA)1ATb
系数矩阵的伪逆不可靠, A T A A^TA ATA 行列式近似 0。

解得深度的质量与平移相关,但平移大时特征匹配可能不成功。相机前进时虽然有位移,但位于图像中心的点无法三角化(没有视差)。

实践:三角测量

直接调用 OpenCV 中的接口,传入 2D 位姿,得到齐次坐标:

Mat pts_4d;
cv::triangulatePoints( T1, T2, pts_1, pts_2, pts_4d );

3D-2D:PnP

已知 3D 点的空间位置(世界坐标)和相机上的投影点,求解相机的旋转和平移(外参)。有两种方法:

  • 代数:构造线性方程问题,用线性代数方法求解。不鲁棒。方法有 DLT、P3P 等。
  • 优化:构建优化问题,通常定义误差,最小化误差。有初始值时通常选择优化方法。方法有 Bundle Adjustment

直接线性变换(DLT)

设空间点 P = ( X , Y , Z ) T P=(X,Y,Z)^T P=(X,Y,Z)T,其投影点位 x = ( u , v , 1 ) x=(u,v,1) x=(u,v,1),用归一化坐标表示。投影关系为 s x = [ R ∣ t ] p sx=[R|t]p sx=[Rt]p,这里 [ R ∣ t ] [R|t] [Rt] 为增广矩阵,展开后有:

在这里插入图片描述

其中 x , p x,p x,p 已知。将其看成关于 t t t 的线性方程,求解 t t t。注意最下面的一行:
s = [ t 9 , t 10 , t 11 , t 12 ] [ X , Y , Z , 1 ] T s=[t_9,t_{10},t_{11},t_{12}][X,Y,Z,1]^T s=[t9,t10,t11,t12][X,Y,Z,1]T
用它消去前两行的 s s s,则一对特征点可以提供 2 个方程:
t 1 T P − t 3 T P u 1 = 0 , t 2 T P − t 3 T P v 1 = 0 t_1^TP-t_3^TPu_1=0, \quad t_2^TP-t_3^TPv_1=0 t1TPt3TPu1=0,t2TPt3TPv1=0
因此,为了求解 12 个未知数,需要 12 / 6 = 6 12/6=6 12/6=6 对点。如果超出 6 对,求解最小二乘解。

我们在 DLT 时将 R , t R,t R,t 看作了独立的未知量,因此求解后的结果可能不满足旋转矩阵的约束,因此我们还需要使用 QR 分解将矩阵投影回 S O ( 3 ) SO(3) SO(3)

P3P

利用 3 对点求相机外参。

在这里插入图片描述

对应关系:
Δ O a b − Δ O A B , Δ O b c − Δ O B C , Δ O a c − Δ O A C \Delta Oab-\Delta OAB, \quad \Delta Obc-\Delta OBC, \quad \Delta Oac-\Delta OAC ΔOabΔOAB,ΔObcΔOBC,ΔOacΔOAC
由余弦定理有:
O A 2 + O B 2 − 2 O A ⋅ O B ⋅ c o s < a , b > = A B 2 OA^2+OB^2-2OA·OB·cos<a,b>=AB^2 OA2+OB22OAOBcos<a,b>=AB2

O B 2 + O C 2 − 2 O B ⋅ O C ⋅ c o s < b , c > = B C 2 OB^2+OC^2-2OB·OC·cos<b,c>=BC^2 OB2+OC22OBOCcos<b,c>=BC2

O A 2 + O C 2 − 2 O A ⋅ O C ⋅ c o s < a , c > = A C 2 OA^2+OC^2-2OA·OC·cos<a,c>=AC^2 OA2+OC22OAOCcos<a,c>=AC2

对上面 3 个式子同时除以 O C 2 OC^2 OC2,并记 x = O A / O C , y = O B / O C x=OA/OC,y=OB/OC x=OA/OC,y=OB/OC 得:
x 2 + y 2 − 2 x y c o s < a , b > = A B 2 / O C 2 x^2+y^2-2xycos<a,b>=AB^2/OC^2 x2+y22xycos<a,b>=AB2/OC2

y 2 + 1 − 2 y c o s < b , c > = B C 2 / O C 2 y^2+1-2ycos<b,c>=BC^2/OC^2 y2+12ycos<b,c>=BC2/OC2

x 2 + 1 − 2 x c o s < a , c > = A C 2 / O C 2 x^2+1-2xcos<a,c>=AC^2/OC^2 x2+12xcos<a,c>=AC2/OC2

v = A B 2 / O C 2 , u v = B C 2 / O C 2 , w v = A C 2 / O C 2 v=AB^2/OC^2,uv=BC^2/OC^2,wv=AC^2/OC^2 v=AB2/OC2,uv=BC2/OC2,wv=AC2/OC2,有:
x 2 + y 2 − 2 x y c o s < a , b > − v = 0 x^2+y^2-2xycos<a,b>-v=0 x2+y22xycos<a,b>v=0

y 2 + 1 − 2 y c o s < b , c > − u v = 0 y^2+1-2ycos<b,c>-uv=0 y2+12ycos<b,c>uv=0

x 2 + 1 − 2 x c o s < a , c > − w v = 0 x^2+1-2xcos<a,c>-wv=0 x2+12xcos<a,c>wv=0

用第一个式子代入下面两个消去 v v v,得到关于 x , y x,y x,y 的二元二次方程,用吴氏消元法解析解得:
( 1 − u ) y 2 − u x 2 − c o s < b , c > + 2 u x y c o s < a , b > + 1 = 0 (1-u)y^2-ux^2-cos<b,c>+2uxycos<a,b>+1=0 (1u)y2ux2cos<b,c>+2uxycos<a,b>+1=0

( 1 − w ) x 2 − w y 2 − c o s < a , c > x + 2 w x y c o s < a , b > + 1 = 0 (1-w)x^2-wy^2-cos<a,c>x+2wxycos<a,b>+1=0 (1w)x2wy2cos<a,c>x+2wxycos<a,b>+1=0

得到 x , y x,y x,y 后,利用:
x 2 + y 2 − 2 x y c o s < a , b > = v x^2+y^2-2xycos<a,b>=v x2+y22xycos<a,b>=v
解得 v v v,从而得到 O C OC OC 的长度,进而得到各点的距离。

但是 P3P 对三个点以上的情况难以处理,并且误匹配时算法会失效。

Bundle Adjustment

Bundle Adjustment 是一个最小重投影误差问题,下面给出两个视图间的形式。

在这里插入图片描述

p 2 p_2 p2 P P P 的真实投影点,但因为相机位姿估计上的误差,投影点会变为 p 2 ^ \hat{p_2} p2^,因此我们需要最小化重投影的误差来优化相机位姿。

在第六讲我们讲过非线性优化,因此这里只需要定义一个最小二乘问题,并将 J J J 推导出来即可。

投影关系:
s i u i = K exp ⁡ ( ξ ^ ) P i s_iu_i=K\exp(\hat{\xi})P_i siui=Kexp(ξ^)Pi
因为外参是估计的,因此等式存在误差。定义重投影误差并对其二范数的平方和取最小化:
ξ ∗ = arg ⁡ min ⁡ ξ 1 2 ∑ i = 1 n ∣ ∣ u i − 1 s i K exp ⁡ ( ξ ^ ) P i ∣ ∣ 2 2 \xi^*=\arg \min\limits_\xi\frac{1}{2}\sum\limits_{i=1}^n||u_i-\frac{1}{s_i}K\exp(\hat{\xi})P_i||_2^2 ξ=argξmin21i=1nuisi1Kexp(ξ^)Pi22
因为我们需要知道误差对应着的位姿,需要利用扰动模型求误差相对于位姿的导数。最后用非线性优化的知识进行求解即可,中间推导过程有些复杂,限于篇幅不做介绍。

实践:求解 PnP

首先使用前面介绍的特征匹配找到 ORB 特征,然后计算相机位姿,调用了 OpenCV 的 solvePnP 函数

// 调用OpenCV 的 PnP 求解,可选择EPNP,DLS等方法
// 给定2d和世界坐标3d点和内参,返回R、t
solvePnP ( pts_3d, pts_2d, K, Mat(), r, t, false );

也可以用 Bundle Adjustment 解决 PnP 问题,使用 g2o 优化,选好顶点和边即可。顶点为用李代数表示的相机位姿(VertexSE3Expmap),误差定义为 X , Y , Z X,Y,Z X,Y,Z 投影到 u , v u,v u,v 的投影误差(VertexSBAPointXYZ)。本实验中使用的是 g2o 自带的 edge,没有必要把雅可比再实现一遍。但以后在实际当中如果自己定义了 edge,就要计算导数。

EPnP 计算得到的结果:

在这里插入图片描述

然后是用 Bundle Adjustment 优化得到的结果:

在这里插入图片描述

一开始误差较大,随着迭代次数的增加,误差 ξ \xi ξ 逐渐减小。优化后的位姿与优化前相差不大,但更加平滑。

3D-3D:ICP

给定匹配好的两组 3D 点,求其旋转和平移,可用迭代最近邻点(ICP)求解。

P = { p 1 , … , p n } , P ′ = { p 1 ′ , … , p n ′ } P=\{p_1,…,p_n\}, \quad P'=\{p_1',…,p_n'\} P={p1,,pn},P={p1,,pn},运动关系为 p i = R p i ′ + t p_i=Rp_i'+t pi=Rpi+t

我们有两种方法求解这个问题。

SVD 方法

定义误差项 e i = p i − ( R p i ′ + t ) e_i=p_i-(Rp_i'+t) ei=pi(Rpi+t),以及最小二乘问题:
min ⁡ R , t J = 1 2 ∑ i = 1 n ∣ ∣ ( p i − ( R p i ′ + t ) ) ∣ ∣ 2 2 \min\limits_{R,t}J=\frac{1}{2}\sum\limits_{i=1}^n||(p_i-(Rp_i'+t))||^2_2 R,tminJ=21i=1n(pi(Rpi+t))22
稍加推导,定义质心 p = 1 n ∑ i = 1 n ( p i ) , p ′ = 1 n ∑ i = 1 n ( p i ′ ) p=\frac{1}{n}\sum\limits_{i=1}^n(p_i), \quad p'=\frac{1}{n}\sum\limits_{i=1}^n(p_i') p=n1i=1n(pi),p=n1i=1n(pi),改写目标函数:
1 2 ∑ i = 1 n ∣ ∣ ( p i − ( R p i ′ + t ) ) ∣ ∣ 2 2 = 1 2 ∑ i = 1 n ∣ ∣ ( p i − R p i ′ − t − p + R p ′ + p − R p ′ ) ∣ ∣ 2 \frac{1}{2}\sum\limits_{i=1}^n||(p_i-(Rp_i'+t))||^2_2=\frac{1}{2}\sum\limits_{i=1}^n||(p_i-Rp_i'-t-p+Rp'+p-Rp')||^2 21i=1n(pi(Rpi+t))22=21i=1n(piRpitp+Rp+pRp)2

= 1 2 ∑ i = 1 n ∣ ∣ ( p i − p − R ( p i ′ − p ′ ) ) + ( p − R p ′ − t ) ∣ ∣ 2 =\frac{1}{2}\sum\limits_{i=1}^n||(p_i-p-R(p_i'-p'))+(p-Rp'-t)||^2 =21i=1n(pipR(pip))+(pRpt)2

展开后:
= 1 2 ∑ i = 1 n ( ∣ ∣ p i − p − R ( p i ′ − p ′ ) ∣ ∣ 2 + ∣ ∣ p − R p ′ − t ∣ ∣ 2 + 2 ( … ) ) =\frac{1}{2}\sum\limits_{i=1}^n(||p_i-p-R(p_i'-p')||^2+||p-Rp'-t||^2+2(…)) =21i=1n(pipR(pip)2+pRpt2+2())
其中交叉项求和为 0。目标函数简化为:
min ⁡ R , t J = 1 2 ∑ i = 1 n ( ∣ ∣ p i − p − R ( p i ′ − p ′ ) ∣ ∣ 2 + ∣ ∣ p − R p ′ − t ∣ ∣ 2 \min\limits_{R,t}J=\frac{1}{2}\sum\limits_{i=1}^n(||p_i-p-R(p_i'-p')||^2+||p-Rp'-t||^2 R,tminJ=21i=1n(pipR(pip)2+pRpt2
其中第一项只和 R R R 有关,第二项和 R , t R,t R,t 有关,我们可以最小化第一项,然后令第二项为 0 得到 t t t

现在对左侧的式子(旋转)进行求解。

定义去质心坐标 q i = p i − p , q i = p i ′ − p ′ q_i=p_i-p, \quad q_i=p_i'-p' qi=pip,qi=pip,简化为:
R ∗ = arg ⁡ min ⁡ R 1 2 ∑ i = 1 n ∣ ∣ q i − R q i ′ ∣ ∣ 2 R^*=\arg\min\limits_R\frac{1}{2}\sum\limits_{i=1}^n||q_i-Rq_i'||^2 R=argRmin21i=1nqiRqi2
展开后:
= 1 2 ∑ i = 1 n q i T q i + q i ′ T R T R q i ′ − 2 q i T R q i ′ =\frac{1}{2}\sum\limits_{i=1}^nq_i^Tq_i+q_i'^TR^TRq_i'-2q_i^TRq_i' =21i=1nqiTqi+qiTRTRqi2qiTRqi
其中第一项与 R R R 无关,第二项 R T R R^TR RTR 的结果为 I I I,因此只需要最小化最后一项:
∑ i = 1 n − q i T R q i ′ = ∑ i = 1 n − t r ( R q i ′ q i T ) = − t r ( R ∑ i = 1 n q i ′ q i T ) \sum\limits_{i=1}^n-q_i^TRq_i'=\sum\limits_{i=1}^n-tr(Rq_i'q_i^T)=-tr(R\sum\limits_{i=1}^nq_i'q_i^T) i=1nqiTRqi=i=1ntr(RqiqiT)=tr(Ri=1nqiqiT)
利用 SVD 可以解出结果:
W = ∑ i = 1 n q i q i T , W = U Σ V T , R = U V T W=\sum\limits_{i=1}^nq_iq_i^T, \quad W=U\Sigma V^T, \quad R=UV^T W=i=1nqiqiT,W=UΣVT,R=UVT

非线性优化

已知匹配时,ICP 问题存在唯一解或无穷多解。唯一解时问题为凸问题,极小值就是全局最优解,初始值可以随意指定。非线性优化的结果与 SVD 一样,且优化很快收敛。

在激光情况下,可能未知匹配关系,我们认为距离最近的两个点为同一个,所以该方法称为迭代最近点。

由于一个像素的深度数据可能测量不到,我们可以混用 PnP 和 ICP 优化,将所有误差放在同一个问题中考虑,方便求解。

实践:求解 ICP

这里演示两种求解 ICP 的方法。

SVD 方法

只需要根据我们刚才的推导过程写出代码即可。首先计算质心:

Point3f p1, p2;
int N = pts1.size();
for ( int i=0; i<N; i++ )
{p1 += pts1[i];p2 += pts2[i];
}
p1 = Point3f( Vec3f(p1) /  N);
p2 = Point3f( Vec3f(p2) / N);

然后去质心:

vector<Point3f>     q1 ( N ), q2 ( N );
for ( int i=0; i<N; i++ )
{q1[i] = pts1[i] - p1;q2[i] = pts2[i] - p2;
}

计算 W W W

// compute q1*q2^T
Eigen::Matrix3d W = Eigen::Matrix3d::Zero();
for ( int i=0; i<N; i++ ){W += Eigen::Vector3d ( q1[i].x, q1[i].y, q1[i].z ) * Eigen::Vector3d ( q2[i].x, q2[i].y, q2[i].z ).transpose();
}
cout<<"W="<<W<<endl;

W W W 进行 SVD 分解,求出 U , V U,V U,V

Eigen::JacobiSVD<Eigen::Matrix3d> svd ( W, Eigen::ComputeFullU|Eigen::ComputeFullV );
Eigen::Matrix3d U = svd.matrixU();
Eigen::Matrix3d V = svd.matrixV();if (U.determinant() * V.determinant() < 0)for (int x = 0; x < 3; ++x)U(x, 2) *= -1;
cout<<"U="<<U<<endl;
cout<<"V="<<V<<endl;

最后求解 R , t R,t R,t,转换为 cv::Mat

Eigen::Matrix3d R_ = U* ( V.transpose() );
Eigen::Vector3d t_ = Eigen::Vector3d ( p1.x, p1.y, p1.z ) - R_ * Eigen::Vector3d ( p2.x, p2.y, p2.z );// convert to cv::Mat
R = ( Mat_<double> ( 3,3 ) <<R_ ( 0,0 ), R_ ( 0,1 ), R_ ( 0,2 ),R_ ( 1,0 ), R_ ( 1,1 ), R_ ( 1,2 ),R_ ( 2,0 ), R_ ( 2,1 ), R_ ( 2,2 ));
t = ( Mat_<double> ( 3,1 ) << t_ ( 0,0 ), t_ ( 1,0 ), t_ ( 2,0 ) );

非线性优化方法

edge 为单元边,只关联一个相机位姿,给定两个点,计算误差:

virtual void computeError(){const g2o::VertexSE3Expmap* pose = static_cast<const g2o::VertexSE3Expmap*> ( _vertices[0] );// measurement is p, point is p'_error = _measurement - pose->estimate().map( _point );
}

观测量关于位姿的导数(雅可比矩阵):

_jacobianOplusXi(0,0) = 0;
_jacobianOplusXi(0,1) = -z;
_jacobianOplusXi(0,2) = y;
_jacobianOplusXi(0,3) = -1;
_jacobianOplusXi(0,4) = 0;
_jacobianOplusXi(0,5) = 0;_jacobianOplusXi(1,0) = z;
_jacobianOplusXi(1,1) = 0;
_jacobianOplusXi(1,2) = -x;
_jacobianOplusXi(1,3) = 0;
_jacobianOplusXi(1,4) = -1;
_jacobianOplusXi(1,5) = 0;_jacobianOplusXi(2,0) = -y;
_jacobianOplusXi(2,1) = x;
_jacobianOplusXi(2,2) = 0;
_jacobianOplusXi(2,3) = 0;
_jacobianOplusXi(2,4) = 0;
_jacobianOplusXi(2,5) = -1;

在 mian 中先找匹配,分别用 ICP 和 Bundle Adjustment 计算位姿:

Mat R, t;
pose_estimation_3d3d ( pts1, pts2, R, t );
cout<<"ICP via SVD results: "<<endl;
cout<<"R = "<<R<<endl;
cout<<"t = "<<t<<endl;
cout<<"R_inv = "<<R.t() <<endl;
cout<<"t_inv = "<<-R.t() *t<<endl;cout<<"calling bundle adjustment"<<endl;bundleAdjustment( pts1, pts2, R, t );

在 mian 中先找匹配,分别用 ICP 和 Bundle Adjustment 计算位姿:

Mat R, t;
pose_estimation_3d3d ( pts1, pts2, R, t );
cout<<"ICP via SVD results: "<<endl;
cout<<"R = "<<R<<endl;
cout<<"t = "<<t<<endl;
cout<<"R_inv = "<<R.t() <<endl;
cout<<"t_inv = "<<-R.t() *t<<endl;cout<<"calling bundle adjustment"<<endl;bundleAdjustment( pts1, pts2, R, t );

http://chatgpt.dhexx.cn/article/DfW0IJpm.shtml

相关文章

【记录】一个深度学习算法工程师的成长之路( 思考和方法以及计划 )

原文链接:https://blog.csdn.net/TeFuirnever/article/details/100999282 声明&#xff1a; 1&#xff09;该文章整理自网上的大牛和机器学习专家无私奉献的资料&#xff0c;具体引用的资料请看参考文献。 2&#xff09;本文仅供学术交流&#xff0c;非商用。所以每一部分具体的…

面向动态环境基于面元的RGB-D SLAM系统

点击上方“3D视觉工坊”&#xff0c;选择“星标” 干货第一时间送达 作者&#xff1a;robot L https://zhuanlan.zhihu.com/p/142175916 本文仅做学术分享&#xff0c;如有侵权&#xff0c;请联系删除。 主要内容 面向动态环境基于面元的RGB-D SLAM系统&#xff0c;主要内容如下…

StaticFusion

主要内容 面向动态环境基于面元的RGB-D SLAM系统&#xff0c;主要内容如下&#xff1a; 同时估计RGB-D相机位姿并分割当前帧图片中的静态像素。将当前帧像素的静态概率当做一个取值范围为 的连续变量&#xff0c;和位姿一起联合优化。构建静态场景的面元地图。为此&#xff…

Caffe各层参数详解

在之前的文章中&#xff0c;整理了 ubuntu18安装和caffe-cpu安装问题汇总&#xff08;含详细流程&#xff09;&#xff0c;这篇文章则对caffe的各个层进行一个剖析。文章篇幅较长&#xff0c;可根据目录按层选择阅读。 简述 Net是由Layer层层组成的 Net是由Solver文件支配的…

CoppeliaSim用户手册中文翻译版(二)

CoppeliaSim 用户手册 文章目录 5. 计算模块5.1 计算模块属性对话框5.2 碰撞检测5.3 距离计算5.4 逆运动学5.4.1 IK组和IK元素的基础知识5.4.2 解决IK和FK的任何类型的机制 5.5 逆运动对话框5.5.1 IK元素对话框 5.6 动力学5.6.1 设计动态仿真5.6.2 一般动力学特性5.6.2.1 动态引…

【记录】一个深度学习算法工程师的成长之路(思考和方法以及计划)

声明&#xff1a; 1&#xff09;该文章整理自网上的大牛和机器学习专家无私奉献的资料&#xff0c;具体引用的资料请看参考文献。 2&#xff09;本文仅供学术交流&#xff0c;非商用。所以每一部分具体的参考资料并没有详细对应。如果某部分不小心侵犯了大家的利益&#xff0c…

五年无人驾驶工作总结及展望

点击上方“小白学视觉”&#xff0c;选择加"星标"或“置顶” 重磅干货&#xff0c;第一时间送达本文转自|计算机视觉工坊现在是晚上22点46分&#xff0c;大小美女都睡觉了&#xff0c;我突然想写一篇这五年无人驾驶工作的总结。没有打草稿&#xff0c;想到啥说啥。如…

CoppeliaSim用户手册中文翻译版(一)

CoppeliaSim 用户手册 文章目录 主要功能历史版本许可证致谢和鸣谢概述1. 用户界面1.1 页面和视图1.2 自定义用户界面1.3 位置/方向操作1.3.1 位置对话框1.3.2 方向对话框1.3.3 使用鼠标移动物体 1.4 欧拉角1.5 用户设置1.6 快捷键1.7 命令行 2. 场景和模型2.1 场景2.2 模型2.2…

深度学习一(PyTorch物体检测实战)

深度学习一(PyTorch物体检测实战) 文章目录 深度学习一(PyTorch物体检测实战)1、浅谈物体检测与PyTorch1.1、深度学习与计算机视觉1.1.1 发展历史1.2.2 计算机视觉 1.2、物体检测技术1.2.1、发展历程1.2.2、技术应用领域1.2.3、评价指标 3、PyTorch简介1.3.1、诞生于特点1.3.2、…

目前学什么专业的人在搞SLAM?各有什么优势?

点击上方“小白学视觉”&#xff0c;选择加"星标"或“置顶” 重磅干货&#xff0c;第一时间送达 原提问&#xff1a; 目前学什么专业的人在搞SLAM&#xff1f;如需要哪些专业知识&#xff0c;或者找什么专业的人合作&#xff1f; 李雅不诺夫 一些比较牛掰的论文后面都…

opencv-python学习笔记(十):实现人脸特征转换

引言 本次实验来自实验楼&#xff0c;而实验楼代码的出处为如下GitHub链接&#xff0c;加上一些自己的理解与说明&#xff0c;总结成本文笔记。 https://github.com/matthewearl/faceswap 所需环境 Dlib是一个高级的机器学习库&#xff0c;它是为解决复杂的现实世界问题而创…

ROS会议 ROSCon 2017

----ROSCon2012-2017----来源链接&#xff1a;https://roscon.ros.org 具体讲座的日程安排&#xff1a; 2017&#xff1a;https://roscon.ros.org/2017/ 2016&#xff1a;https://roscon.ros.org/2016/ 2015&#xff1a;https://roscon.ros.org/2015/ 2014&#xff1a;http…

Frenet坐标系下横纵向轨迹决策规划(SL投影及ST投影)及Apollo决策算法解析

参考&#xff1a; &#xff08;1&#xff09;《攻城狮说 | 应对复杂路况&#xff0c;自动驾驶如何规划它的下一步&#xff1f; “老司机”炼成记&#xff01;》微信公众号文章 Pony.ai小马智行 &#xff08;2&#xff09;《【Apollo】apollo3.5决策分享 --by 百度美研 Yifei J…

基于Ubuntu 18.04机器人操作系统环境和深度学习环境配置

基于Ubuntu 18.04机器人操作系统环境和深度学习环境配置详解 CUDACudnnROSanacondaubuntu装机必备 笔记本双系统安装U盘启动项安装ubuntu18.04.1关闭无线驱动冲突&#xff08;联想&#xff09;(option)更新软件源为国内软件源apt-get 锁问题rc.localaria2c BaiduExport ROS me…

几何向量:向量乘法(叉乘)

转载自: https://blog.csdn.net/yinhun2012/article/details/79444277 之前我们学习了物理意义上的做功&#xff0c;也就是数学中向量点积的实际意义&#xff0c;这一篇我们学习物理上另外一种力的作用&#xff0c;也就是力矩。 物理上定义力矩是力对物体产生转动作用的物理量…

向量和矩阵的点乘和叉乘

向量 定义&#xff1a;向量是由N个实数组成的一行N列或N行一列的的数组。 点乘&#xff1a;又叫做点积、内积、数量积、标量积&#xff0c;向量a[a1,a2,...,an]和向量b[b1,b2b...,bn]点乘的结果是一个标量&#xff0c;记作a.b&#xff1b; 几何解释&#xff1a;a.b |a| |b| &…

向量叉乘与叉乘矩阵

本文以三维向量来说明向量的叉乘计算原理以及叉乘矩阵如何求取 1、向量叉乘的计算原理 a、b分别为三维向量&#xff1a; a叉乘b一般定义为&#xff1a; 或 可是这只是一个符号的定义啊&#xff0c;具体怎么得到代数值呢 关键方法就是引入单位坐标向量&#xff0c; 这里用i j k…

3维向量的点乘叉乘运算

3维向量的点乘叉乘运算 文章目录 3维向量的点乘叉乘运算三维向量的点乘三维向量的叉乘点到直线的距离点到平面的距离 三维向量的点乘 点乘得到的是对应元素乘积的和&#xff0c;是一个标量&#xff0c;没有方向 V1( x1, y1, z1)V2(x2, y2, z2) x1x2 y1y2 z1*z2 点乘可以用…

通俗理解三维向量的点乘与叉乘

通俗理解三维向量的点乘和叉乘 一般接触得比较多的是二维向量的点乘和叉乘&#xff0c;但是做到与三维几何相关的工作的时候&#xff0c;三维向量的知识是必不可少的。 注意&#xff1a;三维向量和三维矢量是同一个东西&#xff0c;都是来自英文单词的Vector的中文翻译&#…