软件项目管理 7.1.项目进度基本概念

article/2025/10/23 2:40:28

【公众号@ “项目管理研究所” 将会第一时间更新文章并分享《行业分析报告》】
归档于软件项目管理初级学习路线
第七章 软件项目进度计划
《初级学习路线合集 》


前言

大家好,这节我们学习软件项目管理—进度基本概念。

首先介绍进度计划的重要性:

  1. 按时完成项目是项目经理最大的挑战之一
  2. 时间是项目规划中灵活性最小的因素
  3. 进度问题是项目冲突的主要原因

进度是对执行的活动和里程碑制定的工作计划日期表。

项目进度计划过程

任务定义:

WBS定义了交付成果,为了完成项目的各个交付成果,所必须进行的所有具体活动就是项目任务。

例如这是某项目的WBS,其中这个设计工作包交付成果就是设计说明书,为次需要两个任务,任务一和任务二。

任务一是编写设计说明书,任务二是设计评审,以此类推,我们定义所有的项目任务。

项目的任务之间存在一定的关联关系,例如编写设计说明书之后,才可以进行设计评审。

任务关系:

由于项目各项任务之间存在一定的关联关系,需要根据这些关系安排任务之间的顺序。

例如有的任务是前置,有的任务是后置任务。

任务之间的关系主要有四种逻辑关系。如图所示:其中最常用的关系是结束-开始的逻辑关系。

任务之间关联关系的依据,我们总结出了四个关系:

  1. 强制性依赖关系:他是任务之间共有的依赖关系,而不以人的意志为转移的,所以是硬逻辑。例如:编写设计说明书与设计评审就是强制性依赖关系。
  2. 软逻辑关系:不是硬逻辑关系,不是任务之间共有的关系,但是是主观的安排,是安排者有一定逻辑考虑的关系。
  3. 外部依赖关系:是依赖于项目之外因素的一种关系。例如:用户环境测试,这个活动我们要依赖于用户环境准备好。
  4. 内部依赖关系:他是内部的一种强制性关系

我们根据任务的依赖关系,可以确认项目任务关系依赖矩阵,例如这个图:其中d (i,j)=1,标识d(i)是d(j)的前置,否则d(i,j)等于0;

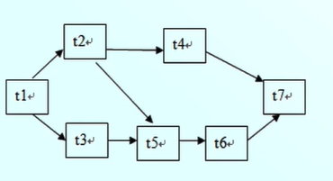
例如这是某项目的网络关系图,他说明了任务之间的关联关系,其中他t1是t2、t3的前置,通过这些关系,我们可以的得出依赖矩阵。


那么t1是t2、t3的前置,我们就可以看到关联矩阵第一行的第二第三列为1。

进度管理图示:

传统进度管理:

  1. 网络图
  2. 甘特图
  3. 里程碑图
  4. 资源图

敏捷项目进度管理:

  1. 燃尽图(Burndown Chart)
  2. 燃起图(Burnup Chart)

常用的网络图:
网络图是活动排序的一个输出,可以展示项目中各个活动与活动之间的逻辑关系。常用的图有PDM网络图和ADM网络图。

这是一个PDM网络图,结点表示项目任务,其中的箭线表示任务之间的逻辑关系,他可以方便的表示任务之间的逻辑关系。我们前面提到的四种逻辑关系,PDM网络图都是可以体现出来的。

这是某项目的PDM网络图,我们把它转应成对应的ADM网络图。

ADM网络图又称为双代号网络图,在ADM网络图中,箭线表示任务,两个代号唯一确定一个任务所以叫双代号,那么代号代表前一个任务的结束,同时也表示后一个任务的开始。

那么ADM网络图是有虚活动的,例如我们看ADM网络图当中,6——5之间虚线就是虚活动。那么虚活动不是一个真实的活动,就是为了表示逻辑关系,也不需要消耗资源的这么一个活动。

例如某活动A和B,从逻辑上都是1——2,如果我们表达成这么一个形式是不对的。所以应该增加一个3——2的一个虚活动,其中1——2是活动A,1——3表示活动B。

甘特图-实例:

甘特图可以显示任务的基本信息,方便查看任务的工期,开始和结束时间以及资源的信息。

里程碑图:

他可以显示项目进展中重大工作的完成情况,表示事件的一个标记,不需要消耗资源和时间。

资源图:

资源图用来表示项目进展中资源的分配情况。

[外链图片转存失败,源站可能有防盗链机制,建议将图片保存下来直接上传(img-EQOzAKba-1654917861621)(https://files.mdnice.com/user/31056/87e50d80-36e3-45d4-b844-fb7353f87c3c.png)]

敏捷项目进度任务图示主要采用燃尽图和燃起图:

燃尽图表示还有多少任务没有完成,如图所示:

燃起图表示已经完成了多少任务,如图所示:

总结

到这里,第七章 第一节 进度管理基本概念就讲解完毕了!下一节介绍传统历时估算~

如果您觉得这篇文章有帮助到您的的话不妨点赞支持一下哟~~😉

后续将持续更新【软件项目管理初级学习路线】的全知识点,大家感兴趣的多多关注博主哟~
————————————————


http://chatgpt.dhexx.cn/article/C2HATHYB.shtml

相关文章

第四章 软件项目进度管理

本章内容提要 1.软件项目进度管理概述 2.活动定义和排序 3.估算活动资源 4.活动历时估计 5.制定进度计划 6.进度控制(项目跟踪) 7.案例分析 第一节 软件项目进度管理概述 1.进度是对执行的活动和里程碑所制定的工作计划日期表。 2.项目进度管理也被称作项目时间管理、工…

2022 199管综真题及答案解析

2022 199管综真题及答案解析

大学英语六级历年真题Word,PDF,和音频 下载

1 链接:https://pan.baidu.com/s/11w-bAM1JoHTt_HjNfor70g 提取码:ro6w 复制这段内容后打开百度网盘手机App,操作更方便哦 1 1 1 1 1 下载方式: 扫码联系获取 1学习人工智能可以扫码关注了 链接:https://pan.bai…

2020年408真题_2020年408真题和参考解析

初试考完这几天后台都在催出408的答案,这就来啦! (ps: 点击阅读原文可进入王道论坛下载真题和答案解析pdf文档) 参考答案和解析: 往期推荐: 你以为初试结束了,考研就结束了吗? 趁热回忆2020考研专业课真题吧…

【信息系统项目管理师】2018年下半年信息系统项目管理师上午综合知识真题

【信息系统项目管理师】2018年下半年信息系统项目管理师上午综合知识真题 章节No章节总分数获得分考点心得1综合知识168两化融合,企业系统规划,系统生命周期,设计模式,质量模型,网络协议,网络存储技术&…

2020年408真题_2020年港澳台联考真题——英语!

导 读 现距离2021年港澳台全国联考仅剩余206天的时间啦!上周开始小莎老师就大家的需求,开始给大家发放福利,持续派送2020年港澳台联考真题,其中内容包括联考真题(中文、数学、英语、物理、化学、历史、地理)共七个科目,可供同学们借鉴参考,熟悉考型,多加练习,取长…

华为OD机试(Java)真题目录汇总(20222023)

1、其它语言华为OD机试真题目录 华为OD机试(Python)真题目录汇总 华为OD机试(C)真题目录汇总 华为OD机试(JavaScript)真题目录汇总 2、Java语言实现华为OD机试目录 1.华为OD机试真题JAVA实现【火星文计…

2020年408真题_2020年港澳台联考真题——数学!

导 读 现距离2021年港澳台全国联考仅剩余207天的时间啦!上周开始小莎老师就大家的需求,开始给大家发放福利,持续派送2020年港澳台联考真题,其中内容包括联考真题(中文、数学、英语、物理、化学、历史、地理)共七个科目&#xff0c…

计算机408专业考研真题,2021年计算机考研408历年真题及答案

全国硕士研究生招生考试计算机科学与技术学科联考《计算机学科专业基础综合(408)》历年真题及模拟试题详解【视频讲解】 内容简介 本书共分为三部分: (1)备考指南:首先对考试大纲进行了解读,让考生掌握考研计算机联考的性质、考查方式和考查内容。 (2)历年考研真题及详解:提…

2021年专升本高等数学真题

想看更多算法题,可以扫描上方二维码关注我微信公众号“数据结构和算法”,截止到目前我已经在公众号中更新了500多道算法题,其中部分已经整理成了pdf文档,截止到目前总共有1000多页(并且还会不断的增加)&…

二级mysql真题_计算机二级MySQL数据库真题

计算机二级MySQL数据库真题 一、选择题 1.在MySQL中,通常使用________语句来进行数据的检索、输出操作。 A.SELECT B.INSERT C.DELETE D.UPDATE 2.在SELECT语句中,可以使用________子句,将结果集中的.数据行根据选择列的值进行逻辑分组&#…

计算机网络考研真题汇总

计算机网络考研真题汇总 一、计算机网络体系结构相关真题 一、计算机网络体系结构相关真题 习题一: 习题二: 习题三: 习题4: 习题5: 习题6: 习题7:

专插本历年真题_21年专插本历年真题试卷无偿分享

👍1.专插本真题解读考试大纲 每年专插本的题型不会有太大变动,难度上下浮动也不会有很大出入,所以专插本真题具有十分大的权威性,对于每个备考的学生来说都是非常重要的。通过专插本历年真题我们可以了解到考试的 题型命题风格、 …

408操作系统历年真题

操作系统历年真题 2009年真题题目一吸烟者问题 题目二 2010年真题补充clock算法 2011年真题题目一题目二 2016 年真题2012 年真题题目一题目二(文件) 2013 年真题2014 年真题2017 年真题2019 年真题2018 年真题题目一:内存题目二:…

408数据结构历年真题

数据结构历年真题 2009 年真题2010 年真题2011 年真题2012年真题2013 年真题2018 年真题 2009 年真题 注意看题目中要求的是 时间上高效, 时空上高效 尽可能高效 typedef int ElemType; typedef struct LNode{ //定义单链表节点类型ElemType data: /…

408计算机网络历年真题

文章目录 2017 年真题2010 年真题2011 年联考真题2019 年真题2020 年真题(162-174)2009 年真题(P172有解析)2018 年真题(161-174)2013 年真题2014年真题2012 年真题(多看几遍这道题!…

MySQL数据库总结

文章目录 一、数据库简介二、MySQL数据类型(5.5版本)三、Sql语句(1)Sql语句简介(2)数据定义语言DDLcreate,alter,drop(3)数据操纵语言DMLupdate,insert,delete(4)数据控制语言DCLgrant,revoke(5)数据查询语言DQLselect(6)分组查询与分页查询group by,limit 四、完整…

查看MySql数据库密码

第一步: 导出链接,导出连接获取到 connections.ncx 文件 这里需要勾选 导出密码!!! 不然导出的文件里不包含加密的密码 第二步: 找到加密密码,进行破解 在导出的connections.ncx文件中找到password&#x…