一、基本RS锁存器
1.简介
RS锁存器为最基本的时序逻辑电路,其特点是电路中各点的电位值不仅与当前时刻有关,还与电路前一时刻状态有关。


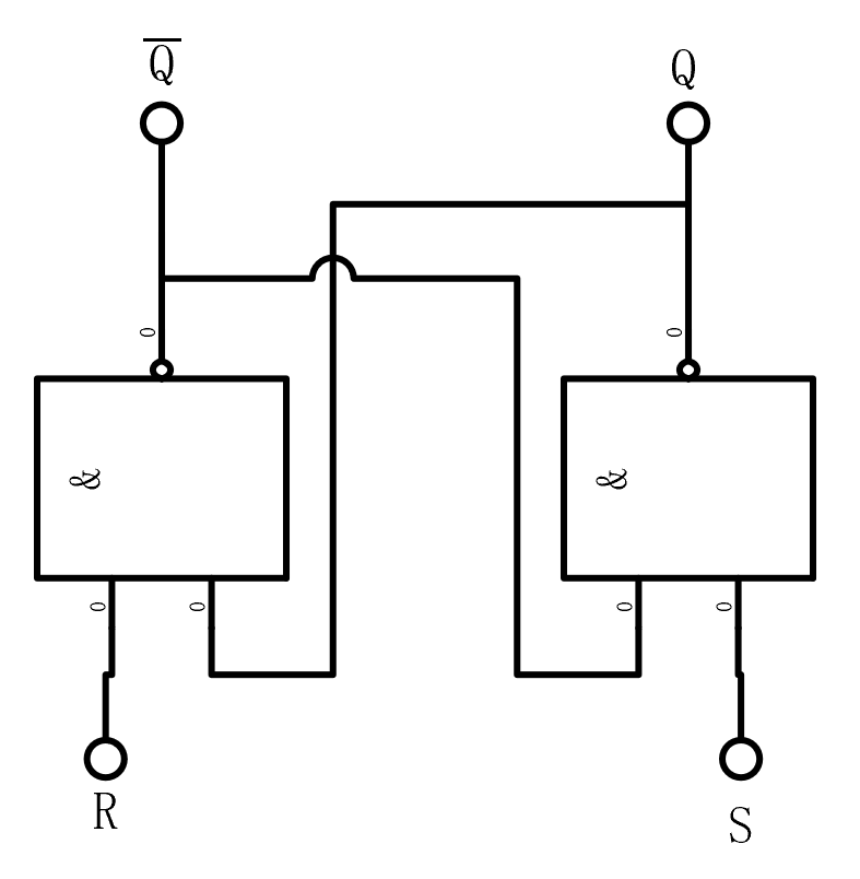
上图所示电路为基本RS锁存器,其重要的结构特点为反馈线,该线使得时序逻辑电路与普通组合逻辑电路有所区分。
2.输出状态规定
基本RS锁存器状态有两种,及0状态与1状态。当输出Q = 0且Q非 = 1时,我们称该锁存器处于0状态。与之相反,Q = 1且Q非 = 0时,该锁存器处于1状态。
在描述输出时,常用Qn表示现态,及当前电路正处于的状态。常用Qn+1表示次太,及为该状态之后一瞬间的状态。
3.输入输出特性
RS锁存器输入端为R(reset)和S(set),均为低电平有效。当R = 1, S = 1时,锁存器始终保持之前状态,而当R = 0, S = 1时,锁存器变至“0状态”。与之对应,当R = 1, S = 0时,锁存器转换为“1状态”。该输入输出特性的特性表如下:
| R | S | Qn | Qn+1 | 功能说明 |
|---|---|---|---|---|
| 0 | 0 | 0 | X | 不允许 |
| 0 | 0 | 1 | X | 不允许 |
| 0 | 1 | 0 | 0 | 置0 |
| 0 | 1 | 1 | 0 | 置0 |
| 1 | 0 | 0 | 1 | 置1 |
| 1 | 0 | 1 | 1 | 置1 |
| 1 | 1 | 0 | 0 | 保持 |
| 1 | 1 | 1 | 1 | 保持 |
4.存在问题
基本RS锁存器作为最基本的时序逻辑电路,仍存在一些问题,例如,R S同时输入低电平时会出错,当计算机中多个锁存器需要同时置0或置1时,由于输入信号快慢不同,会导致多个锁存器输出出现快慢不一致的问题,于是,我们需要在基本锁存器的基础上,对其结构进行改进。
二、逻辑门控RS锁存器
1.简介
逻辑门控RS锁存器的电路结构如下所示,由该图可知,电路上部为一个基本RS锁存器,在其下部,增添了两个与非门电路用于控制输入信号。


2.输入输出特性
上半部分的基本RS锁存电路与上文分析的完全相似,其输入端分别为“置0”与“置1”,且均为低电平有效。
我们着重分析下半部分。当CP = 0时,我们可以发现无论R S输入何值,下端两个与非门输出均为高电平。此时我们称输入被封锁。当CP = 1时,根据我们对基本RS锁存器的了解可知,此电路变为高电平有效电路,及R = 0, S = 1时,锁存器变为1状态,R = 1, S = 0时,锁存器变为0状态。
3.优缺点
逻辑门控RS锁存器对基本RS锁存器进行了优化,当锁存器处于被封锁状态时改变R与S的值,可在封锁解除后多个锁存器统一改变状态。但它仍有缺点,当CP = 1时,输入量发生变化,则无法达到统一改变锁存器状态的目的。此外,R S同时输入高电平会导致锁存器出错。
三、主从RS触发器
1.简介
主从RS触发器由两个逻辑门控RS触发器组成,其中上半部分为从,下半部分为主。其CP信号正好相反。


2.输入输出特性
由于主从RS触发器由两个逻辑门控RS锁存器组成,其基本输出特性可由上文对逻辑门控RS锁存器电路分析得知,故本部分只分析主从触发器反转时特性变化情况。
主从触发器的触发反转需要两个节拍,CP = 1时,主锁存器对R S输入进行相应,从锁存器被封锁,保持原有状态。而当CP = 0时,主锁存器被封锁,从锁存器接收主锁存器信号并作出响应。
3.优缺点
由分析可知,主从触发器的状态改变是在CP下降沿时产生,当CP = 0时,主锁存器被封锁,故不会出现上文所说的空翻情况,可使多个触发器达到同时反转的目的。但此电路依旧无法解决R S同时为1时电路无法工作的问题,为解决此问题,我们引入JK触发器。
四、主从JK触发器
1.简介
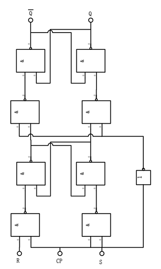
主从JK触发器电路结构如下图所示,与主从RS触发器相比,主从JK触发器多出两根反馈线。


2.特性分析
由电路图及逻辑门性质可知,当从触发器处于“1状态”时,输入端J被封锁,当从触发器处于“0状态”时,输入端K被封锁。由此可见,两根反馈线使该触发器解决了两输入端不能同时为1的问题。
3.优缺点
主从JK触发器解决了两输入端不能同时为1的问题,但随之而来的新问题是,当CP = 1时,若主锁存器存在多次输入变化,只能记录第一次变化结果。若想解决该问题,需要引入边沿触发器。
五、边沿D触发器
1.简介
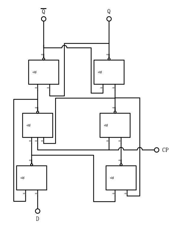
顾名思义,边沿触发器输出状态只有在时钟信号处在高低转换瞬间才会发生改变,下图是最简单的边沿D触发器。


2.特性表
边沿D触发器在CP处于上升沿(由0到1)时发生状态改变,具体操控方式如下表:
| D | Qn | Qn+1 |
|---|---|---|
| 0 | 0 | 0 |
| 0 | 1 | 0 |
| 1 | 0 | 1 |
| 1 | 1 | 1 |
3.特性方程
Qn+1 = D
4.驱动表
| Qn | Qn+1 | D |
|---|---|---|
| 0 | 0 | 0 |
| 0 | 1 | 1 |
| 1 | 0 | 0 |
| 1 | 1 | 1 |
六、边沿JK触发器
1.简介
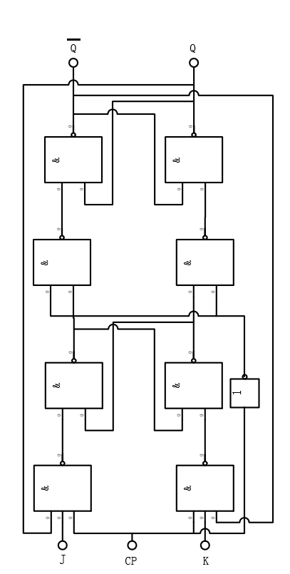
下图所示为边沿JK触发器,它很好得解决了上述芯片存在的问题,两个输入端可同时输入有效信号,可避免空翻情况与多个触发器调节状态时快慢不一的问题。


2.特性表
边沿JK触发器为下降沿触发
| J | K | Qn | Qn+1 | 功能说明 |
|---|---|---|---|---|
| 0 | 0 | 0 | 0 | 保持原状态 |
| 0 | 0 | 1 | 1 | 保持原状态 |
| 0 | 1 | 0 | 0 | 复位 |
| 0 | 1 | 1 | 0 | 复位 |
| 1 | 0 | 0 | 1 | 置位 |
| 1 | 0 | 1 | 1 | 置位 |
| 1 | 1 | 0 | 1 | 翻转 |
| 1 | 1 | 1 | 0 | 翻转 |
3.特性方程
Qn+1 = JQn + K’Qn
4.驱动表
| Qn | Qn+1 | J | K |
|---|---|---|---|
| 0 | 0 | 0 | X |
| 0 | 1 | 1 | X |
| 1 | 0 | X | 1 |
| 1 | 1 | X | 0 |














