机器学习之朴素贝叶斯实现垃圾邮件过滤

article/2025/10/4 5:32:26

一.朴素贝叶斯概述

朴素贝叶斯法是基于贝叶斯定理与特征条件独立性假设的分类方法。对于给定的训练集,首先基于特征条件独立假设学习输入输出的联合概率分布(朴素贝叶斯法这种通过学习得到模型的机制,显然属于生成模型);然后基于此模型,对给定的输入 x,利用贝叶斯定理求出后验概率最大的输出 y

二.朴素贝叶斯的基本公式

1.联合分布率

联合概率表示为包含多个条件并且所有的条件都同时成立的概率,记作 P ( X = a , Y = b ) P(X=a,Y=b) P(X=a,Y=b) 或 P ( a , b ) P(a,b) P(a,b) 或 P ( a b ) P(ab) P(ab)

2.条件概率

有一个装了 7 块石头的罐子,其中 3 块是白色的,4 块是黑色的。如果从罐子中随机取出一块石头,那么是白色石头的可能性是多少

显然,取出白色石头的概率为 3/7 ,取到黑色石头的概率是 4/7 。我们使用 P(white) 来表示取到白色石头的概率,其概率值可以通过白色石头数目除以总的石头数目来得到。 

7 块石头如图所示,放在两个桶中,那么条件概率应该如何计算 ?

要计算 P(white) 或者 P(black) ,显然,石头所在桶的信息是会改变结果的,这就是条件概率 conditional probability。假定计算的是从 B 桶取到白色石头的概率,这个概率可以记作 P(white|bucketB) ,我们称之为 “在已知石头出自 B 桶的条件下,取出白色石头的概率”。

很容易得到,P(white|bucketA) 值为 2/4 ,P(white|bucketB)的值为 1/3 。

条件概率计算公式如下:

 

放到我们这个例子中来: P(white|bucketB) = P(white and bucketB) / P(bucketB)

公式解读:

P(white|bucketB):在已知石头出自 B 桶的条件下,取出白色石头的概率
P(white and bucketB):取出 B 桶中 白色石头的概率 = 1 / 7
P(bucketB):取出 B 桶中石头的概率 3 / 7
 

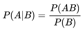
3.贝叶斯定理

另外一种有效计算条件概率的方法称为贝叶斯定理。贝叶斯定理告诉我们如何交换条件概率中的条件与结果,即如果已知 P(X|Y),要求 P(Y|X):

P(Y∣X)=P(X∣Y)P(Y)​/P(X)

P(Y):先验概率。先验概率(prior probability)是指事情还没有发生,求这件事情发生的可能性的大小,是先验概率。它往往作为"由因求果"问题中的"因"出现。

P ( Y ∣ X ) P(Y|X) P(Y∣X):后验概率。后验概率是指事情已经发生,求这件事情发生的原因是由某个因素引起的可能性的大小。后验概率的计算要以先验概率为基础

P ( X ∣ Y ) P(X|Y) P(X∣Y) :条件概率,又叫似然概率,一般是通过历史数据统计得到。一般不把它叫做先验概率,但从定义上也符合先验定义。

4.朴素贝叶斯分类器

朴素贝叶斯法通过训练数据集学习联合概率分布 P ( X , Y ) P(X,Y) P(X,Y),其实就是学习先验概率分布和条件概率分布:

先验概率分布:

条件概率分布:

 于是由条件概率公式可以求出联合概率分布 

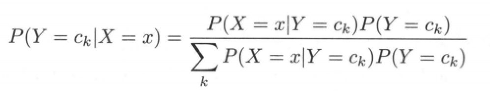
朴素贝叶斯法分类时,对给定的输入 x,通过上述学习到的模型计算后验概率分布 P(Y = c_k|X = x) 将后验概率最大的类作为 x 的类的输出。后验概率根据贝叶斯定理进行计算:

对分母运用全概率公式:

 

将条件独立性假设 4.3 带入上式,得到朴素贝叶斯分类基本公式:

 

上式中的分母对于所有类别来说都是一样的,对计算结果不会产生影响,所以,朴素贝叶斯分类器可以简化为

 

三.实现垃圾邮件过滤

1、朴素贝叶斯实现垃圾邮件分类的步骤

(1)收集数据:提供文本文件。

(2)准备数据:将文本文件解析成词条向量。

(3)分析数据:检查词条确保解析的正确性。

(4)训练算法:计算不同的独立特征的条件概率。

(5)测试算法:计算错误率。

(6)使用算法:构建一个完整的程序对一组文档进行分类

2.数据集下载

email文件夹下有两个文件夹ham和spam :点击下载数据集

ham文件夹下的txt文件为正常邮件

spam文件下的txt文件为垃圾邮件

3.代码实现

# -*- coding: UTF-8 -*-
import numpy as np
import re
import random"""
函数说明:将切分的实验样本词条整理成不重复的词条列表,也就是词汇表
Parameters:dataSet - 整理的样本数据集
Returns:vocabSet - 返回不重复的词条列表,也就是词汇表
"""
def createVocabList(dataSet):vocabSet = set([])  # 创建一个空的不重复列表for document in dataSet:vocabSet = vocabSet | set(document)  # 取并集return list(vocabSet)"""
函数说明:根据vocabList词汇表,将inputSet向量化,向量的每个元素为1或0
Parameters:vocabList - createVocabList返回的列表inputSet - 切分的词条列表
Returns:returnVec - 文档向量,词集模型
"""
def setOfWords2Vec(vocabList, inputSet):returnVec = [0] * len(vocabList)               #创建一个其中所含元素都为0的向量for word in inputSet:                          #遍历每个词条if word in vocabList:                      #如果词条存在于词汇表中,则置1returnVec[vocabList.index(word)] = 1else:print("the word: %s is not in my Vocabulary!" % word)return returnVec        #返回文档向量"""
函数说明:根据vocabList词汇表,构建词袋模型
Parameters:vocabList - createVocabList返回的列表inputSet - 切分的词条列表
Returns:returnVec - 文档向量,词袋模型
"""
def bagOfWords2VecMN(vocabList, inputSet):returnVec = [0] * len(vocabList)  # 创建一个其中所含元素都为0的向量for word in inputSet:             # 遍历每个词条if word in vocabList:         # 如果词条存在于词汇表中,则计数加一returnVec[vocabList.index(word)] += 1return returnVec  # 返回词袋模型"""
函数说明:朴素贝叶斯分类器训练函数
Parameters:trainMatrix - 训练文档矩阵,即setOfWords2Vec返回的returnVec构成的矩阵trainCategory - 训练类别标签向量,即loadDataSet返回的classVec
Returns:p0Vect - 正常邮件类的条件概率数组p1Vect - 垃圾邮件类的条件概率数组pAbusive - 文档属于垃圾邮件类的概率
"""
def trainNB0(trainMatrix, trainCategory):numTrainDocs = len(trainMatrix)  # 计算训练的文档数目numWords = len(trainMatrix[0])  # 计算每篇文档的词条数pAbusive = sum(trainCategory) / float(numTrainDocs)  # 文档属于垃圾邮件类的概率p0Num = np.ones(numWords)p1Num = np.ones(numWords)  # 创建numpy.ones数组,词条出现数初始化为1,拉普拉斯平滑p0Denom = 2.0p1Denom = 2.0  # 分母初始化为2 ,拉普拉斯平滑for i in range(numTrainDocs):if trainCategory[i] == 1:  # 统计属于侮辱类的条件概率所需的数据,即P(w0|1),P(w1|1),P(w2|1)···p1Num += trainMatrix[i]p1Denom += sum(trainMatrix[i])else:  # 统计属于非侮辱类的条件概率所需的数据,即P(w0|0),P(w1|0),P(w2|0)···p0Num += trainMatrix[i]p0Denom += sum(trainMatrix[i])p1Vect = np.log(p1Num / p1Denom)p0Vect = np.log(p0Num / p0Denom)   #取对数,防止下溢出return p0Vect, p1Vect, pAbusive  # 返回属于正常邮件类的条件概率数组,属于侮辱垃圾邮件类的条件概率数组,文档属于垃圾邮件类的概率"""
函数说明:朴素贝叶斯分类器分类函数
Parameters:vec2Classify - 待分类的词条数组p0Vec - 正常邮件类的条件概率数组p1Vec - 垃圾邮件类的条件概率数组pClass1 - 文档属于垃圾邮件的概率
Returns:0 - 属于正常邮件类1 - 属于垃圾邮件类
"""
def classifyNB(vec2Classify, p0Vec, p1Vec, pClass1):#p1 = reduce(lambda x, y: x * y, vec2Classify * p1Vec) * pClass1  # 对应元素相乘#p0 = reduce(lambda x, y: x * y, vec2Classify * p0Vec) * (1.0 - pClass1)p1=sum(vec2Classify*p1Vec)+np.log(pClass1)p0=sum(vec2Classify*p0Vec)+np.log(1.0-pClass1)if p1 > p0:return 1else:return 0"""
函数说明:接收一个大字符串并将其解析为字符串列表
"""
def textParse(bigString):  # 将字符串转换为字符列表listOfTokens = re.split(r'\W*', bigString)  # 将特殊符号作为切分标志进行字符串切分,即非字母、非数字return [tok.lower() for tok in listOfTokens if len(tok) > 2]  # 除了单个字母,例如大写的I,其它单词变成小写"""
函数说明:测试朴素贝叶斯分类器,使用朴素贝叶斯进行交叉验证
"""
def spamTest():docList = []classList = []fullText = []for i in range(1, 26):  # 遍历25个txt文件wordList = textParse(open('email/spam/%d.txt' % i, 'r').read())  # 读取每个垃圾邮件,并字符串转换成字符串列表docList.append(wordList)fullText.append(wordList)classList.append(1)  # 标记垃圾邮件,1表示垃圾文件wordList = textParse(open('email/ham/%d.txt' % i, 'r').read())  # 读取每个非垃圾邮件,并字符串转换成字符串列表docList.append(wordList)fullText.append(wordList)classList.append(0)  # 标记正常邮件,0表示正常文件vocabList = createVocabList(docList)  # 创建词汇表,不重复trainingSet = list(range(50))testSet = []  # 创建存储训练集的索引值的列表和测试集的索引值的列表for i in range(10):  # 从50个邮件中,随机挑选出40个作为训练集,10个做测试集randIndex = int(random.uniform(0, len(trainingSet)))  # 随机选取索索引值testSet.append(trainingSet[randIndex])  # 添加测试集的索引值del (trainingSet[randIndex])  # 在训练集列表中删除添加到测试集的索引值trainMat = []trainClasses = []  # 创建训练集矩阵和训练集类别标签系向量for docIndex in trainingSet:  # 遍历训练集trainMat.append(setOfWords2Vec(vocabList, docList[docIndex]))  # 将生成的词集模型添加到训练矩阵中trainClasses.append(classList[docIndex])  # 将类别添加到训练集类别标签系向量中p0V, p1V, pSpam = trainNB0(np.array(trainMat), np.array(trainClasses))  # 训练朴素贝叶斯模型errorCount = 0  # 错误分类计数for docIndex in testSet:  # 遍历测试集wordVector = setOfWords2Vec(vocabList, docList[docIndex])  # 测试集的词集模型if classifyNB(np.array(wordVector), p0V, p1V, pSpam) != classList[docIndex]:  # 如果分类错误errorCount += 1  # 错误计数加1print("分类错误的测试集:", docList[docIndex])print('错误率:%.2f%%' % (float(errorCount) / len(testSet) * 100))if __name__ == '__main__':spamTest()

 4.运行结果

 

5.朴素贝叶斯评价

优点:在数据较少的情况下仍然有效,可以处理多类别问题

缺点:对于输入数据的准备方式较为敏感;由于朴素贝叶斯的“朴素”特点,所以会带来一些准确率上的损失

 


http://chatgpt.dhexx.cn/article/96alDq7u.shtml

相关文章

基于逻辑回归方法完成垃圾邮件过滤任务

一、基于逻辑回归方法完成垃圾邮件过滤任务 1、✌ 任务描述 我们日常学习以及工作中会收到非常多的邮件,除了与学习工作相关的邮件,还会收到许多垃圾邮件,包括广告邮件、欺诈邮件等等。本任务通过邮件中包含的文本内容来判断该邮件是正常邮…

【机器学习实战】朴素贝叶斯应用之垃圾邮件过滤

1.什么是朴素贝叶斯2.贝叶斯公式3.朴素贝叶斯常用的三个模型4.朴素贝叶斯实现垃圾邮件过滤的步骤5.垃圾邮件过滤实验:(一)、准备收集好的数据集,并下载到本地文件夹(二)、朴素贝叶斯分类器训练函数&#xf…

贝叶斯垃圾邮件过滤

贝叶斯垃圾邮件过滤 译自From Wikipedia, the free encyclopedia 贝叶斯垃圾邮件过滤是一种筛选电子邮件的统计技术。在它的基本形式中,它使用天真贝叶斯分类器在词特征包上识别垃圾电子邮件,这是一种在文本分类中常用的方法。 天真贝叶斯分类器通过使用…

【布隆过滤器】如何防止缓存穿透、海量邮箱的垃圾邮件过滤等问题?

目录 一、布隆过滤器是什么? 二、布隆过滤器的模拟实现 2.1、模拟实现 2.2、布隆过滤器的优点和缺点 优点: 缺点: 2.3、布隆过滤器的删除功能 2.4、布隆过滤器的使用场景 一、布隆过滤器是什么? 它是一种概率型数据结构&am…

垃圾邮件过滤挑战

垃圾邮件过滤挑战 随着网络应用的逐渐发展,电子邮件成为人们日常工作生活中不可分割的一部分。与此同时,垃圾邮件的问题困扰着许多电子邮件的使用者,它们不仅为电子邮件的使用者带来阅读负担,更占用了有限的邮箱空间。为此本研究…

基于C#的机器学习--垃圾邮件过滤

在这一章,我们将建立一个垃圾邮件过滤分类模型。我们将使用一个包含垃圾邮件和非垃圾邮件的原始电子邮件数据集,并使用它来训练我们的ML模型。我们将开始遵循上一章讨论的开发ML模型的步骤。这将帮助我们理解工作流程。 在本章中,我们将讨论以…

基于内容的垃圾邮件过滤

1 引言 电子邮件(E-mail)以其方便、快捷、低成本的独特魅力成为人们日常生活中不可缺少的通信手段之一。但电子邮件给人们带来极大便利的同时,也日益显示出其负面影响,那就是我们每天收到的邮件中有很大一部分是那种“不请自来”…

朴素贝叶斯——垃圾邮件过滤

文章目录 利用朴素贝叶斯进行文档分类1、获取数据集2、切分文本3、构建词表和分类4、构建分类器5、测试算法 利用朴素贝叶斯进行垃圾邮件过滤1、导入数据集2、垃圾邮件预测 总结 利用朴素贝叶斯进行文档分类 1、获取数据集 下载数据集,获取到一些邮件文档。其中ha…

贝叶斯算法:垃圾邮件过滤

准备 100封邮件,50封垃圾邮件和50封正常邮件参考 : 贝叶斯算法原理 程序过程解释 垃圾邮件分类的数学基础是贝叶斯推断(bayesian inference)。整个程序过程主要有以下几个部分构成: step 1 : 提取邮件并处理 1、使用 TDirectory.GetFiles(xPat…

毕业设计-基于深度学习的垃圾邮件过滤系统的设计与实现

目录 前言 课题背景和意义 实现技术思路 实现效果图样例 前言 📅大四是整个大学期间最忙碌的时光,一边要忙着备考或实习为毕业后面临的就业升学做准备,一边要为毕业设计耗费大量精力。近几年各个学校要求的毕设项目越来越难,有不少课题是研究生级别难度的,对本科…

机器学习:朴素贝叶斯算法与垃圾邮件过滤

简介 贝叶斯算法是由英国数学家托马斯贝叶斯提出的,这个算法的提出是为了解决“逆向概率”的问题。首先我们先来解释下正向概率与逆向概率的含义: 正向概率:假设一个箱子里有5个黄色球和5个白色球,随机从箱子里拿出一个球&#…

朴素贝叶斯算法--垃圾邮件过滤

文章目录 一、朴素贝叶斯概述1、贝叶斯决策理论2、条件概率3、朴素贝叶斯4、朴素贝叶斯一般过程 二、朴素贝叶斯算法--垃圾邮件1、准备数据:从文本中构建词向量2、训练算法:从词向量计算概率3、测试算法:根据现实情况修改分类器5、垃圾邮件分…

机器学习-朴素贝叶斯过滤垃圾邮件

一、朴素贝叶斯实现垃圾邮件分类的原理 什么是朴素贝叶斯算法:用贝叶斯定理来预测一个未知类别的样本属于各个类别的可能性,选择可能性最大的一个类别作为该样本的最终类别。 用这个算法处理垃圾邮件就可以理解为:用贝叶斯定理来预测一封由若干个单词组成…

机器学习项目(一)——垃圾邮件的过滤技术

一、垃圾邮件过滤技术项目需求与设计方案 二、数据的内容分析 (1、是否为垃圾邮件的标签,spam——是垃圾邮件;ham——不是垃圾邮件) (2、邮件的内容分析——主要包含:发件人、收件人、发件时间以及邮件的内…

多线程的闭锁和栅栏

多线程的闭锁和栅栏 JAVA并发包中有三个类用于同步一批线程的行为,分别是闭锁(Latch),信号灯(Semaphore)和栅栏(CyclicBarrier)。这里我们主要来介绍一下: 闭锁&#x…

分布式锁(Distributed Lock)理论介绍

在多线程环境中,线程之间通常使用互斥锁实现共享资源的独占访问。在多进程环境,特别是分布式环境,常使用分布式锁来实现共享资源的独占访问。简单来说,分布式锁就是指在分布式环境下,通过加解锁实现多节点对共享资源的…

迟滞电路 平稳欠压和过压闭锁

下述的等式假设比较器输入端的输入偏置电流为0,而示例只考虑了电阻比,而未考虑绝对值。比较器输入同时具有输入失调电压(VOS)、参考误差(也可以与VOS合并),以及输入偏置电流或漏电流(ILK)。如果分压器偏置电流&#xf…

偏向锁

流程讲解 当JVM启用了偏向锁模式(JDK6以上默认开启),新创建对象的Mark Word中的Thread Id为0,说明此时处于可偏向但未偏向任何线程,也叫做匿名偏向状态(anonymously biased)。 偏向锁逻辑 1.线程A第一次访问同步块时&…

什么是间隙锁?

什么是间隙锁? 间隙锁是一个在索引记录之间的间隙上的锁。 间隙锁的作用 保证某个间隙内的数据在锁定情况下不会发生任何变化。比如mysql默认隔离级别下的可重复读(RR)。 当使用唯一索引来搜索唯一行的语句时,不需要间隙锁定。如下面语句的id列有唯一索引,此时只会对id值…