一、单例模式
二、策略模式
三、代理模式
四、迭代器模式
五、发布—订阅模式
六、命令模式
七、组合模式
八、模板方法模式
九、享元模式
十、职责链模式
十一、中介者模式
十二、装饰者模式
十三、状态模式
十四、适配器模式
十五、外观模式
一、单例模式
1. 定义
保证一个类仅有一个实例,并提供一个访问它的全局访问点
2. 核心
确保只有一个实例,并提供全局访问
3. 实现
假设要设置一个管理员,多次调用也仅设置一次,我们可以使用闭包缓存一个内部变量来实现这个单例


function SetManager(name) {this.manager = name;
}SetManager.prototype.getName = function() {console.log(this.manager);
};var SingletonSetManager = (function() {var manager = null;return function(name) {if (!manager) {manager = new SetManager(name);}return manager;}
})();SingletonSetManager('a').getName(); // a
SingletonSetManager('b').getName(); // a
SingletonSetManager('c').getName(); // a


这是比较简单的做法,但是假如我们还要设置一个HR呢?就得复制一遍代码了
所以,可以改写单例内部,实现地更通用一些


// 提取出通用的单例
function getSingleton(fn) {var instance = null;return function() {if (!instance) {instance = fn.apply(this, arguments);}return instance;}
}


再进行调用,结果还是一样


// 获取单例
var managerSingleton = getSingleton(function(name) {var manager = new SetManager(name);return manager;
});managerSingleton('a').getName(); // a
managerSingleton('b').getName(); // a
managerSingleton('c').getName(); // a


这时,我们添加HR时,就不需要更改获取单例内部的实现了,仅需要实现添加HR所需要做的,再调用即可


function SetHr(name) {this.hr = name;
}SetHr.prototype.getName = function() {console.log(this.hr);
};var hrSingleton = getSingleton(function(name) {var hr = new SetHr(name);return hr;
});hrSingleton('aa').getName(); // aa
hrSingleton('bb').getName(); // aa
hrSingleton('cc').getName(); // aa


或者,仅想要创建一个div层,不需要将对象实例化,直接调用函数
结果为页面中仅有第一个创建的div


function createPopup(html) {var div = document.createElement('div');div.innerHTML = html;document.body.append(div);return div;
}var popupSingleton = getSingleton(function() {var div = createPopup.apply(this, arguments);return div;
});console.log(popupSingleton('aaa').innerHTML,popupSingleton('bbb').innerHTML,popupSingleton('bbb').innerHTML
); // aaa aaa aaa


二、策略模式
1. 定义
定义一系列的算法,把它们一个个封装起来,并且使它们可以相互替换。
2. 核心
将算法的使用和算法的实现分离开来。
一个基于策略模式的程序至少由两部分组成:
第一个部分是一组策略类,策略类封装了具体的算法,并负责具体的计算过程。
第二个部分是环境类Context,Context接受客户的请求,随后把请求委托给某一个策略类。要做到这点,说明Context 中要维持对某个策略对象的引用
3. 实现
策略模式可以用于组合一系列算法,也可用于组合一系列业务规则
假设需要通过成绩等级来计算学生的最终得分,每个成绩等级有对应的加权值。我们可以利用对象字面量的形式直接定义这个组策略


// 加权映射关系
var levelMap = {S: 10,A: 8,B: 6,C: 4
};// 组策略
var scoreLevel = {basicScore: 80,S: function() {return this.basicScore + levelMap['S']; },A: function() {return this.basicScore + levelMap['A']; },B: function() {return this.basicScore + levelMap['B']; },C: function() {return this.basicScore + levelMap['C']; }
}// 调用
function getScore(level) {return scoreLevel[level] ? scoreLevel[level]() : 0;
}console.log(getScore('S'),getScore('A'),getScore('B'),getScore('C'),getScore('D')
); // 90 88 86 84 0


在组合业务规则方面,比较经典的是表单的验证方法。这里列出比较关键的部分


// 错误提示
var errorMsgs = {default: '输入数据格式不正确',minLength: '输入数据长度不足',isNumber: '请输入数字',required: '内容不为空'
};// 规则集
var rules = {minLength: function(value, length, errorMsg) {if (value.length < length) {return errorMsg || errorMsgs['minLength']}},isNumber: function(value, errorMsg) {if (!/\d+/.test(value)) {return errorMsg || errorMsgs['isNumber'];}},required: function(value, errorMsg) {if (value === '') {return errorMsg || errorMsgs['required'];}}
};// 校验器
function Validator() {this.items = [];
};Validator.prototype = {constructor: Validator,// 添加校验规则add: function(value, rule, errorMsg) {var arg = [value];if (rule.indexOf('minLength') !== -1) {var temp = rule.split(':');arg.push(temp[1]);rule = temp[0];}arg.push(errorMsg);this.items.push(function() {// 进行校验return rules[rule].apply(this, arg);});},// 开始校验start: function() {for (var i = 0; i < this.items.length; ++i) {var ret = this.items[i]();if (ret) {console.log(ret);// return ret;}}}
};// 测试数据
function testTel(val) {return val;
}var validate = new Validator();validate.add(testTel('ccc'), 'isNumber', '只能为数字'); // 只能为数字
validate.add(testTel(''), 'required'); // 内容不为空
validate.add(testTel('123'), 'minLength:5', '最少5位'); // 最少5位
validate.add(testTel('12345'), 'minLength:5', '最少5位');var ret = validate.start();console.log(ret);


4. 优缺点
优点
可以有效地避免多重条件语句,将一系列方法封装起来也更直观,利于维护
缺点
往往策略集会比较多,我们需要事先就了解定义好所有的情况
三、代理模式
1. 定义
为一个对象提供一个代用品或占位符,以便控制对它的访问
2. 核心
当客户不方便直接访问一个 对象或者不满足需要的时候,提供一个替身对象 来控制对这个对象的访问,客户实际上访问的是 替身对象。
替身对象对请求做出一些处理之后, 再把请求转交给本体对象
代理和本体的接口具有一致性,本体定义了关键功能,而代理是提供或拒绝对它的访问,或者在访问本体之前做一 些额外的事情
3. 实现
代理模式主要有三种:保护代理、虚拟代理、缓存代理
保护代理主要实现了访问主体的限制行为,以过滤字符作为简单的例子


// 主体,发送消息
function sendMsg(msg) {console.log(msg);
}// 代理,对消息进行过滤
function proxySendMsg(msg) {// 无消息则直接返回if (typeof msg === 'undefined') {console.log('deny');return;}// 有消息则进行过滤msg = ('' + msg).replace(/泥\s*煤/g, '');sendMsg(msg);
}sendMsg('泥煤呀泥 煤呀'); // 泥煤呀泥 煤呀
proxySendMsg('泥煤呀泥 煤'); // 呀
proxySendMsg(); // deny


它的意图很明显,在访问主体之前进行控制,没有消息的时候直接在代理中返回了,拒绝访问主体,这数据保护代理的形式
有消息的时候对敏感字符进行了处理,这属于虚拟代理的模式
虚拟代理在控制对主体的访问时,加入了一些额外的操作
在滚动事件触发的时候,也许不需要频繁触发,我们可以引入函数节流,这是一种虚拟代理的实现


// 函数防抖,频繁操作中不处理,直到操作完成之后(再过 delay 的时间)才一次性处理
function debounce(fn, delay) {delay = delay || 200;var timer = null;return function() {var arg = arguments;// 每次操作时,清除上次的定时器clearTimeout(timer);timer = null;// 定义新的定时器,一段时间后进行操作timer = setTimeout(function() {fn.apply(this, arg);}, delay);}
};var count = 0;// 主体
function scrollHandle(e) {console.log(e.type, ++count); // scroll
}// 代理
var proxyScrollHandle = (function() {return debounce(scrollHandle, 500);
})();window.onscroll = proxyScrollHandle;


缓存代理可以为一些开销大的运算结果提供暂时的缓存,提升效率
来个栗子,缓存加法操作


// 主体
function add() {var arg = [].slice.call(arguments);return arg.reduce(function(a, b) {return a + b;});
}// 代理
var proxyAdd = (function() {var cache = [];return function() {var arg = [].slice.call(arguments).join(',');// 如果有,则直接从缓存返回if (cache[arg]) {return cache[arg];} else {var ret = add.apply(this, arguments);return ret;}};
})();console.log(add(1, 2, 3, 4),add(1, 2, 3, 4),proxyAdd(10, 20, 30, 40),proxyAdd(10, 20, 30, 40)
); // 10 10 100 100


四、迭代器模式
1. 定义
迭代器模式是指提供一种方法顺序访问一个聚合对象中的各个元素,而又不需要暴露该对象的内部表示。
2. 核心
在使用迭代器模式之后,即使不关心对象的内部构造,也可以按顺序访问其中的每个元素
3. 实现
JS中数组的map forEach 已经内置了迭代器
[1, 2, 3].forEach(function(item, index, arr) {console.log(item, index, arr);
});
不过对于对象的遍历,往往不能与数组一样使用同一的遍历代码
我们可以封装一下


function each(obj, cb) {var value;if (Array.isArray(obj)) {for (var i = 0; i < obj.length; ++i) {value = cb.call(obj[i], i, obj[i]);if (value === false) {break;}}} else {for (var i in obj) {value = cb.call(obj[i], i, obj[i]);if (value === false) {break;}}}
}each([1, 2, 3], function(index, value) {console.log(index, value);
});each({a: 1, b: 2}, function(index, value) {console.log(index, value);
});// 0 1
// 1 2
// 2 3// a 1
// b 2


再来看一个例子,强行地使用迭代器,来了解一下迭代器也可以替换频繁的条件语句
虽然例子不太好,但在其他负责的分支判断情况下,也是值得考虑的


function getManager() {var year = new Date().getFullYear();if (year <= 2000) {console.log('A');} else if (year >= 2100) {console.log('C');} else {console.log('B');}
}getManager(); // B


将每个条件语句拆分出逻辑函数,放入迭代器中迭代


function year2000() {var year = new Date().getFullYear();if (year <= 2000) {console.log('A');}return false;
}function year2100() {var year = new Date().getFullYear();if (year >= 2100) {console.log('C');}return false;
}function year() {var year = new Date().getFullYear();if (year > 2000 && year < 2100) {console.log('B');}return false;
}function iteratorYear() {for (var i = 0; i < arguments.length; ++i) {var ret = arguments[i]();if (ret !== false) {return ret;}}
}var manager = iteratorYear(year2000, year2100, year); // B


五、发布-订阅模式
1. 定义
也称作观察者模式,定义了对象间的一种一对多的依赖关系,当一个对象的状态发 生改变时,所有依赖于它的对象都将得到通知
2. 核心
取代对象之间硬编码的通知机制,一个对象不用再显式地调用另外一个对象的某个接口。
与传统的发布-订阅模式实现方式(将订阅者自身当成引用传入发布者)不同,在JS中通常使用注册回调函数的形式来订阅
3. 实现
JS中的事件就是经典的发布-订阅模式的实现


// 订阅
document.body.addEventListener('click', function() {console.log('click1');
}, false);document.body.addEventListener('click', function() {console.log('click2');
}, false);// 发布
document.body.click(); // click1 click2


自己实现一下
小A在公司C完成了笔试及面试,小B也在公司C完成了笔试。他们焦急地等待结果,每隔半天就电话询问公司C,导致公司C很不耐烦。
一种解决办法是 AB直接把联系方式留给C,有结果的话C自然会通知AB
这里的“询问”属于显示调用,“留给”属于订阅,“通知”属于发布


// 观察者
var observer = {// 订阅集合subscribes: [],// 订阅subscribe: function(type, fn) {if (!this.subscribes[type]) {this.subscribes[type] = [];}// 收集订阅者的处理typeof fn === 'function' && this.subscribes[type].push(fn);},// 发布 可能会携带一些信息发布出去publish: function() {var type = [].shift.call(arguments),fns = this.subscribes[type];// 不存在的订阅类型,以及订阅时未传入处理回调的if (!fns || !fns.length) {return;}// 挨个处理调用for (var i = 0; i < fns.length; ++i) {fns[i].apply(this, arguments);}},// 删除订阅remove: function(type, fn) {// 删除全部if (typeof type === 'undefined') {this.subscribes = [];return;}var fns = this.subscribes[type];// 不存在的订阅类型,以及订阅时未传入处理回调的if (!fns || !fns.length) {return;}if (typeof fn === 'undefined') {fns.length = 0;return;}// 挨个处理删除for (var i = 0; i < fns.length; ++i) {if (fns[i] === fn) {fns.splice(i, 1);}}}
};// 订阅岗位列表
function jobListForA(jobs) {console.log('A', jobs);
}function jobListForB(jobs) {console.log('B', jobs);
}// A订阅了笔试成绩
observer.subscribe('job', jobListForA);
// B订阅了笔试成绩
observer.subscribe('job', jobListForB);// A订阅了笔试成绩
observer.subscribe('examinationA', function(score) {console.log(score);
});// B订阅了笔试成绩
observer.subscribe('examinationB', function(score) {console.log(score);
});// A订阅了面试结果
observer.subscribe('interviewA', function(result) {console.log(result);
});observer.publish('examinationA', 100); // 100
observer.publish('examinationB', 80); // 80
observer.publish('interviewA', '备用'); // 备用observer.publish('job', ['前端', '后端', '测试']); // 输出A和B的岗位// B取消订阅了笔试成绩
observer.remove('examinationB');
// A都取消订阅了岗位
observer.remove('job', jobListForA);observer.publish('examinationB', 80); // 没有可匹配的订阅,无输出
observer.publish('job', ['前端', '后端', '测试']); // 输出B的岗位


4. 优缺点
优点
一为时间上的解耦,二为对象之间的解耦。可以用在异步编程中与MV*框架中
缺点
创建订阅者本身要消耗一定的时间和内存,订阅的处理函数不一定会被执行,驻留内存有性能开销
弱化了对象之间的联系,复杂的情况下可能会导致程序难以跟踪维护和理解
六、命令模式
1. 定义
用一种松耦合的方式来设计程序,使得请求发送者和请求接收者能够消除彼此之间的耦合关系
命令(command)指的是一个执行某些特定事情的指令
2. 核心
命令中带有execute执行、undo撤销、redo重做等相关命令方法,建议显示地指示这些方法名
3. 实现
简单的命令模式实现可以直接使用对象字面量的形式定义一个命令
var incrementCommand = {execute: function() {// something}
};
不过接下来的例子是一个自增命令,提供执行、撤销、重做功能
采用对象创建处理的方式,定义这个自增


// 自增
function IncrementCommand() {// 当前值this.val = 0;// 命令栈this.stack = [];// 栈指针位置this.stackPosition = -1;
};IncrementCommand.prototype = {constructor: IncrementCommand,// 执行execute: function() {this._clearRedo();// 定义执行的处理var command = function() {this.val += 2;}.bind(this);// 执行并缓存起来command();this.stack.push(command);this.stackPosition++;this.getValue();},canUndo: function() {return this.stackPosition >= 0;},canRedo: function() {return this.stackPosition < this.stack.length - 1;},// 撤销undo: function() {if (!this.canUndo()) {return;}this.stackPosition--;// 命令的撤销,与执行的处理相反var command = function() {this.val -= 2;}.bind(this);// 撤销后不需要缓存command();this.getValue();},// 重做redo: function() {if (!this.canRedo()) {return;}// 执行栈顶的命令this.stack[++this.stackPosition]();this.getValue();},// 在执行时,已经撤销的部分不能再重做_clearRedo: function() {this.stack = this.stack.slice(0, this.stackPosition + 1);},// 获取当前值getValue: function() {console.log(this.val);}
};


再实例化进行测试,模拟执行、撤销、重做的操作


var incrementCommand = new IncrementCommand();// 模拟事件触发,执行命令
var eventTrigger = {// 某个事件的处理中,直接调用命令的处理方法increment: function() {incrementCommand.execute();},incrementUndo: function() {incrementCommand.undo();},incrementRedo: function() {incrementCommand.redo();}
};eventTrigger['increment'](); // 2
eventTrigger['increment'](); // 4eventTrigger['incrementUndo'](); // 2eventTrigger['increment'](); // 4eventTrigger['incrementUndo'](); // 2
eventTrigger['incrementUndo'](); // 0
eventTrigger['incrementUndo'](); // 无输出eventTrigger['incrementRedo'](); // 2
eventTrigger['incrementRedo'](); // 4
eventTrigger['incrementRedo'](); // 无输出eventTrigger['increment'](); // 6


此外,还可以实现简单的宏命令(一系列命令的集合)


var MacroCommand = {commands: [],add: function(command) {this.commands.push(command);return this;},remove: function(command) {if (!command) {this.commands = [];return;}for (var i = 0; i < this.commands.length; ++i) {if (this.commands[i] === command) {this.commands.splice(i, 1);}}},execute: function() {for (var i = 0; i < this.commands.length; ++i) {this.commands[i].execute();}}
};var showTime = {execute: function() {console.log('time');}
};var showName = {execute: function() {console.log('name');}
};var showAge = {execute: function() {console.log('age');}
};MacroCommand.add(showTime).add(showName).add(showAge);MacroCommand.remove(showName);MacroCommand.execute(); // time age


七、组合模式
1. 定义
是用小的子对象来构建更大的 对象,而这些小的子对象本身也许是由更小 的“孙对象”构成的。
2. 核心
可以用树形结构来表示这种“部分- 整体”的层次结构。
调用组合对象 的execute方法,程序会递归调用组合对象 下面的叶对象的execute方法

但要注意的是,组合模式不是父子关系,它是一种HAS-A(聚合)的关系,将请求委托给 它所包含的所有叶对象。基于这种委托,就需要保证组合对象和叶对象拥有相同的 接口
此外,也要保证用一致的方式对待 列表中的每个叶对象,即叶对象属于同一类,不需要过多特殊的额外操作
3. 实现
使用组合模式来实现扫描文件夹中的文件


// 文件夹 组合对象
function Folder(name) {this.name = name;this.parent = null;this.files = [];
}Folder.prototype = {constructor: Folder,add: function(file) {file.parent = this;this.files.push(file);return this;},scan: function() {// 委托给叶对象处理for (var i = 0; i < this.files.length; ++i) {this.files[i].scan();}},remove: function(file) {if (typeof file === 'undefined') {this.files = [];return;}for (var i = 0; i < this.files.length; ++i) {if (this.files[i] === file) {this.files.splice(i, 1);}}}
};// 文件 叶对象
function File(name) {this.name = name;this.parent = null;
}File.prototype = {constructor: File,add: function() {console.log('文件里面不能添加文件');},scan: function() {var name = [this.name];var parent = this.parent;while (parent) {name.unshift(parent.name);parent = parent.parent;}console.log(name.join(' / '));}
};


构造好组合对象与叶对象的关系后,实例化,在组合对象中插入组合或叶对象


var web = new Folder('Web');
var fe = new Folder('前端');
var css = new Folder('CSS');
var js = new Folder('js');
var rd = new Folder('后端');web.add(fe).add(rd);var file1 = new File('HTML权威指南.pdf');
var file2 = new File('CSS权威指南.pdf');
var file3 = new File('JavaScript权威指南.pdf');
var file4 = new File('MySQL基础.pdf');
var file5 = new File('Web安全.pdf');
var file6 = new File('Linux菜鸟.pdf');css.add(file2);
fe.add(file1).add(file3).add(css).add(js);
rd.add(file4).add(file5);
web.add(file6);rd.remove(file4);// 扫描
web.scan();


扫描结果为

4. 优缺点
优点
可 以方便地构造一棵树来表示对象的部分-整体 结构。在树的构造最终 完成之后,只需要通过请求树的最顶层对 象,便能对整棵树做统一一致的操作。
缺点
创建出来的对象长得都差不多,可能会使代码不好理解,创建太多的对象对性能也会有一些影响
八、模板方法模式
1. 定义
模板方法模式由两部分结构组成,第一部分是抽象父类,第二部分是具体的实现子类。
2. 核心
在抽象父类中封装子类的算法框架,它的 init方法可作为一个算法的模板,指导子类以何种顺序去执行哪些方法。
由父类分离出公共部分,要求子类重写某些父类的(易变化的)抽象方法
3. 实现
模板方法模式一般的实现方式为继承
以运动作为例子,运动有比较通用的一些处理,这部分可以抽离开来,在父类中实现。具体某项运动的特殊性则有自类来重写实现。
最终子类直接调用父类的模板函数来执行


// 体育运动
function Sport() {}Sport.prototype = {constructor: Sport,// 模板,按顺序执行init: function() {this.stretch();this.jog();this.deepBreath();this.start();var free = this.end();// 运动后还有空的话,就拉伸一下if (free !== false) {this.stretch();}},// 拉伸stretch: function() {console.log('拉伸');},// 慢跑jog: function() {console.log('慢跑');},// 深呼吸deepBreath: function() {console.log('深呼吸');},// 开始运动start: function() {throw new Error('子类必须重写此方法');},// 结束运动end: function() {console.log('运动结束');}
};// 篮球
function Basketball() {}Basketball.prototype = new Sport();// 重写相关的方法
Basketball.prototype.start = function() {console.log('先投上几个三分');
};Basketball.prototype.end = function() {console.log('运动结束了,有事先走一步');return false;
};// 马拉松
function Marathon() {}Marathon.prototype = new Sport();var basketball = new Basketball();
var marathon = new Marathon();// 子类调用,最终会按照父类定义的顺序执行
basketball.init();
marathon.init();



九、享元模式
1. 定义
享元(flyweight)模式是一种用于性能优化的模式,它的目标是尽量减少共享对象的数量
2. 核心
运用共享技术来有效支持大量细粒度的对象。
强调将对象的属性划分为内部状态(属性)与外部状态(属性)。内部状态用于对象的共享,通常不变;而外部状态则剥离开来,由具体的场景决定。
3. 实现
在程序中使用了大量的相似对象时,可以利用享元模式来优化,减少对象的数量
举个栗子,要对某个班进行身体素质测量,仅测量身高体重来评判


// 健康测量
function Fitness(name, sex, age, height, weight) {this.name = name;this.sex = sex;this.age = age;this.height = height;this.weight = weight;
}// 开始评判
Fitness.prototype.judge = function() {var ret = this.name + ': ';if (this.sex === 'male') {ret += this.judgeMale();} else {ret += this.judgeFemale();}console.log(ret);
};// 男性评判规则
Fitness.prototype.judgeMale = function() {var ratio = this.height / this.weight;return this.age > 20 ? (ratio > 3.5) : (ratio > 2.8);
};// 女性评判规则
Fitness.prototype.judgeFemale = function() {var ratio = this.height / this.weight;return this.age > 20 ? (ratio > 4) : (ratio > 3);
};var a = new Fitness('A', 'male', 18, 160, 80);
var b = new Fitness('B', 'male', 21, 180, 70);
var c = new Fitness('C', 'female', 28, 160, 80);
var d = new Fitness('D', 'male', 18, 170, 60);
var e = new Fitness('E', 'female', 18, 160, 40);// 开始评判
a.judge(); // A: false
b.judge(); // B: false
c.judge(); // C: false
d.judge(); // D: true
e.judge(); // E: true


评判五个人就需要创建五个对象,一个班就几十个对象
可以将对象的公共部分(内部状态)抽离出来,与外部状态独立。将性别看做内部状态即可,其他属性都属于外部状态。
这么一来我们只需要维护男和女两个对象(使用factory对象),而其他变化的部分则在外部维护(使用manager对象)


// 健康测量
function Fitness(sex) {this.sex = sex;
}// 工厂,创建可共享的对象
var FitnessFactory = {objs: [],create: function(sex) {if (!this.objs[sex]) {this.objs[sex] = new Fitness(sex);}return this.objs[sex];}
};// 管理器,管理非共享的部分
var FitnessManager = {fitnessData: {},// 添加一项add: function(name, sex, age, height, weight) {var fitness = FitnessFactory.create(sex);// 存储变化的数据this.fitnessData[name] = {age: age,height: height,weight: weight};return fitness;},// 从存储的数据中获取,更新至当前正在使用的对象updateFitnessData: function(name, obj) {var fitnessData = this.fitnessData[name];for (var item in fitnessData) {if (fitnessData.hasOwnProperty(item)) {obj[item] = fitnessData[item];}}}
};// 开始评判
Fitness.prototype.judge = function(name) {// 操作前先更新当前状态(从外部状态管理器中获取)FitnessManager.updateFitnessData(name, this);var ret = name + ': ';if (this.sex === 'male') {ret += this.judgeMale();} else {ret += this.judgeFemale();}console.log(ret);
};// 男性评判规则
Fitness.prototype.judgeMale = function() {var ratio = this.height / this.weight;return this.age > 20 ? (ratio > 3.5) : (ratio > 2.8);
};// 女性评判规则
Fitness.prototype.judgeFemale = function() {var ratio = this.height / this.weight;return this.age > 20 ? (ratio > 4) : (ratio > 3);
};var a = FitnessManager.add('A', 'male', 18, 160, 80);
var b = FitnessManager.add('B', 'male', 21, 180, 70);
var c = FitnessManager.add('C', 'female', 28, 160, 80);
var d = FitnessManager.add('D', 'male', 18, 170, 60);
var e = FitnessManager.add('E', 'female', 18, 160, 40);// 开始评判
a.judge('A'); // A: false
b.judge('B'); // B: false
c.judge('C'); // C: false
d.judge('D'); // D: true
e.judge('E'); // E: true


不过代码可能更复杂了,这个例子可能还不够充分,只是展示了享元模式如何实现,它节省了多个相似的对象,但多了一些操作。
factory对象有点像单例模式,只是多了一个sex的参数,如果没有内部状态,则没有参数的factory对象就更接近单例模式了
十、职责链模式
1. 定义
使多个对象都有机会处理请求,从而避免请求的发送者和接收者之间的耦合关系,将这些对象连成一条链,并沿着这条链 传递该请求,直到有一个对象处理它为止
2. 核心
请求发送者只需要知道链中的第一个节点,弱化发送者和一组接收者之间的强联系,可以便捷地在职责链中增加或删除一个节点,同样地,指定谁是第一个节点也很便捷
3. 实现
以展示不同类型的变量为例,设置一条职责链,可以免去多重if条件分支


// 定义链的某一项
function ChainItem(fn) {this.fn = fn;this.next = null;
}ChainItem.prototype = {constructor: ChainItem,// 设置下一项setNext: function(next) {this.next = next;return next;},// 开始执行start: function() {this.fn.apply(this, arguments);},// 转到链的下一项执行toNext: function() {if (this.next) {this.start.apply(this.next, arguments);} else {console.log('无匹配的执行项目');}}
};// 展示数字
function showNumber(num) {if (typeof num === 'number') {console.log('number', num);} else {// 转移到下一项this.toNext(num);}
}// 展示字符串
function showString(str) {if (typeof str === 'string') {console.log('string', str);} else {this.toNext(str);}
}// 展示对象
function showObject(obj) {if (typeof obj === 'object') {console.log('object', obj);} else {this.toNext(obj);}
}var chainNumber = new ChainItem(showNumber);
var chainString = new ChainItem(showString);
var chainObject = new ChainItem(showObject);// 设置链条
chainObject.setNext(chainNumber).setNext(chainString);chainString.start('12'); // string 12
chainNumber.start({}); // 无匹配的执行项目
chainObject.start({}); // object {}
chainObject.start(123); // number 123


这时想判断未定义的时候呢,直接加到链中即可


// 展示未定义
function showUndefined(obj) {if (typeof obj === 'undefined') {console.log('undefined');} else {this.toNext(obj);}
}var chainUndefined = new ChainItem(showUndefined);
chainString.setNext(chainUndefined);chainNumber.start(); // undefined


由例子可以看到,使用了职责链后,由原本的条件分支换成了很多对象,虽然结构更加清晰了,但在一定程度上可能会影响到性能,所以要注意避免过长的职责链。
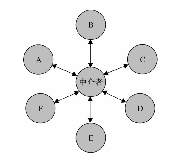
十一、中介者模式
1. 定义
所有的相关 对象都通过中介者对象来通信,而不是互相引用,所以当一个对象发生改变时,只需要通知中介者对象即可
2. 核心
使网状的多对多关系变成了相对简单的一对多关系(复杂的调度处理都交给中介者)

使用中介者后

3. 实现
多个对象,指的不一定得是实例化的对象,也可以将其理解成互为独立的多个项。当这些项在处理时,需要知晓并通过其他项的数据来处理。
如果每个项都直接处理,程序会非常复杂,修改某个地方就得在多个项内部修改
我们将这个处理过程抽离出来,封装成中介者来处理,各项需要处理时,通知中介者即可。


var A = {score: 10,changeTo: function(score) {this.score = score;// 自己获取this.getRank();},// 直接获取getRank: function() {var scores = [this.score, B.score, C.score].sort(function(a, b) {return a < b;});console.log(scores.indexOf(this.score) + 1);}
};var B = {score: 20,changeTo: function(score) {this.score = score;// 通过中介者获取rankMediator(B);}
};var C = {score: 30,changeTo: function(score) {this.score = score;rankMediator(C);}
};// 中介者,计算排名
function rankMediator(person) {var scores = [A.score, B.score, C.score].sort(function(a, b) {return a < b;});console.log(scores.indexOf(person.score) + 1);
}// A通过自身来处理
A.changeTo(100); // 1// B和C交由中介者处理
B.changeTo(200); // 1
C.changeTo(50); // 3


ABC三个人分数改变后想要知道自己的排名,在A中自己处理,而B和C使用了中介者。B和C将更为轻松,整体代码也更简洁
最后,虽然中介者做到了对模块和对象的解耦,但有时对象之间的关系并非一定要解耦,强行使用中介者来整合,可能会使代码更为繁琐,需要注意。
十二、装饰者模式
1. 定义
以动态地给某个对象添加一些额外的职责,而不会影响从这个类中派生的其他对象。
是一种“即用即付”的方式,能够在不改变对 象自身的基础上,在程序运行期间给对象动态地 添加职责
2. 核心
是为对象动态加入行为,经过多重包装,可以形成一条装饰链
3. 实现
最简单的装饰者,就是重写对象的属性
var A = {score: 10
};A.score = '分数:' + A.score;
可以使用传统面向对象的方法来实现装饰,添加技能


function Person() {}Person.prototype.skill = function() {console.log('数学');
};// 装饰器,还会音乐
function MusicDecorator(person) {this.person = person;
}MusicDecorator.prototype.skill = function() {this.person.skill();console.log('音乐');
};// 装饰器,还会跑步
function RunDecorator(person) {this.person = person;
}RunDecorator.prototype.skill = function() {this.person.skill();console.log('跑步');
};var person = new Person();// 装饰一下
var person1 = new MusicDecorator(person);
person1 = new RunDecorator(person1);person.skill(); // 数学
person1.skill(); // 数学 音乐 跑步


在JS中,函数为一等对象,所以我们也可以使用更通用的装饰函数


// 装饰器,在当前函数执行前先执行另一个函数
function decoratorBefore(fn, beforeFn) {return function() {var ret = beforeFn.apply(this, arguments);// 在前一个函数中判断,不需要执行当前函数if (ret !== false) {fn.apply(this, arguments);}};
}function skill() {console.log('数学');
}function skillMusic() {console.log('音乐');
}function skillRun() {console.log('跑步');
}var skillDecorator = decoratorBefore(skill, skillMusic);
skillDecorator = decoratorBefore(skillDecorator, skillRun);skillDecorator(); // 跑步 音乐 数学


十三、状态模式
1. 定义
事物内部状态的改变往往会带来事物的行为改变。在处理的时候,将这个处理委托给当前的状态对象即可,该状态对象会负责渲染它自身的行为
2. 核心
区分事物内部的状态,把事物的每种状态都封装成单独的类,跟此种状态有关的行为都被封装在这个类的内部
3. 实现
以一个人的工作状态作为例子,在刚醒、精神、疲倦几个状态中切换着


// 工作状态
function Work(name) {this.name = name;this.currentState = null;// 工作状态,保存为对应状态对象this.wakeUpState = new WakeUpState(this);// 精神饱满this.energeticState = new EnergeticState(this);// 疲倦this.tiredState = new TiredState(this);this.init();
}Work.prototype.init = function() {this.currentState = this.wakeUpState;// 点击事件,用于触发更新状态document.body.onclick = () => {this.currentState.behaviour();};
};// 更新工作状态
Work.prototype.setState = function(state) {this.currentState = state;
}// 刚醒
function WakeUpState(work) {this.work = work;
}// 刚醒的行为
WakeUpState.prototype.behaviour = function() {console.log(this.work.name, ':', '刚醒呢,睡个懒觉先');// 只睡了2秒钟懒觉就精神了..setTimeout(() => {this.work.setState(this.work.energeticState);}, 2 * 1000);
}// 精神饱满
function EnergeticState(work) {this.work = work;
}EnergeticState.prototype.behaviour = function() {console.log(this.work.name, ':', '超级精神的');// 才精神1秒钟就发困了setTimeout(() => {this.work.setState(this.work.tiredState);}, 1000);
};// 疲倦
function TiredState(work) {this.work = work;
}TiredState.prototype.behaviour = function() {console.log(this.work.name, ':', '怎么肥事,好困');// 不知不觉,又变成了刚醒着的状态... 不断循环呀setTimeout(() => {this.work.setState(this.work.wakeUpState);}, 1000);
};var work = new Work('曹操');


点击一下页面,触发更新状态的操作

4. 优缺点
优点
状态切换的逻辑分布在状态类中,易于维护
缺点
多个状态类,对于性能来说,也是一个缺点,这个缺点可以使用享元模式来做进一步优化
将逻辑分散在状态类中,可能不会很轻易就能看出状态机的变化逻辑
十四、适配器模式
1. 定义
是解决两个软件实体间的接口不兼容的问题,对不兼容的部分进行适配
2. 核心
解决两个已有接口之间不匹配的问题
3. 实现
比如一个简单的数据格式转换的适配器


// 渲染数据,格式限制为数组了
function renderData(data) {data.forEach(function(item) {console.log(item);});
}// 对非数组的进行转换适配
function arrayAdapter(data) {if (typeof data !== 'object') {return [];}if (Object.prototype.toString.call(data) === '[object Array]') {return data;}var temp = [];for (var item in data) {if (data.hasOwnProperty(item)) {temp.push(data[item]);}}return temp;
}var data = {0: 'A',1: 'B',2: 'C'
};renderData(arrayAdapter(data)); // A B C


十五、外观模式
1. 定义
为子系统中的一组接口提供一个一致的界面,定义一个高层接口,这个接口使子系统更加容易使用
2. 核心
可以通过请求外观接口来达到访问子系统,也可以选择越过外观来直接访问子系统
3. 实现
外观模式在JS中,可以认为是一组函数的集合


// 三个处理函数
function start() {console.log('start');
}function doing() {console.log('doing');
}function end() {console.log('end');
}// 外观函数,将一些处理统一起来,方便调用
function execute() {start();doing();end();
}// 调用init开始执行
function init() {// 此处直接调用了高层函数,也可以选择越过它直接调用相关的函数execute();
}init(); // start doing end















