相机标定目的及原理

article/2025/10/22 5:38:58

相机标定的目的:
相机标定的目的有两个,一个就是矫正由于镜头畸变造成的图片的变形,例如,现实中的直线,拍摄成图像后会外凸或内凹,进行相机标定后可以对这种情况进行校正;另一个是根据获得得图像重构三维场景,因为标定的过程就是通过一系列的三维点和它对应的二维图像点进行数学变换,求出相机的内参数和外参数。
总的来说就是,就是通过寻找对象和现实世界的数学转换关系,并***找出其定量的联系,从而实现从图像中测量出实际数据。***
相机标定涉及到四个坐标系分别是,世界坐标系,摄像机坐标系,图像物理坐标系和图像像素坐标系。其中世界坐标系到摄像机坐标系,摄像机坐标系到图像物理坐标系,图像物理坐标系到像素坐标系存在变换关系。

图像物理坐标系——像素坐标系
在这里插入图片描述
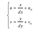
图像中,O0是像素坐标系原点,在左上角,与数字图像的像素坐标相同,O1为图像物理坐标系原点,是相机光轴与图像平面的交点。假设dx,dy是每个像素在X,Y方向上的宽度,则图像中每个像素点在图像物理坐标系和图像像素坐标系中存在如下关系:
在这里插入图片描述
其中u0,v0是坐标系(x,y)的原点在像素坐标系中的坐标。将上式转为矩阵相乘形式
在这里插入图片描述
相机坐标系——图像物理坐标系
这两个坐标系之间的转换可以看下图,f表示相机焦距,xy平面表示像平面,OcZc表示相机光轴。利用三角形相似,可以求得图像物理坐标系点和相机坐标系之间的关系。
在这里插入图片描述
世界坐标系——相机坐标系
从世界坐标系变换到相机坐标系属于刚体变换,即物体不会发生形变,只需要对坐标系进行旋转和平移,即可进行变换。
在这里插入图片描述
这是两坐标系的转换方程,其中R代表的是一个33的正交单位矩阵,表示坐标系的旋转,T为31的矩阵,表示坐标系的平移。0 = 【0,0,0】
在这里插入图片描述
在这里插入图片描述
在这里插入图片描述
将以上三个矩阵关系,进行带入,可以得到

在这里插入图片描述
fx = f/dx,fy = f/dy 四个坐标系中,除了图像坐标系单位是 像素 外,其他坐标系单位均为mm。
外参矩阵:告诉现实世界点(世界坐标系)是怎么经过旋转平移,然后落到另一个现实世界点(摄像机坐标系)上。
内参数矩阵:告诉上述点在1的基础上,是如何经过摄像机的镜头,通过针孔成像和电子转化为像素点。
畸变矩阵:告诉为什么没有落在理论位置上,还产生了一点偏差(便宜和变形)。

本文是自己最近学习相机标定的总结整理。

本文参考文档:https://blog.csdn.net/baidu_38172402/article/details/81949447


http://chatgpt.dhexx.cn/article/3hbVy5A1.shtml

相关文章

Python之OpenCV相机标定方法

本文结合OpenCV官方样例,对官方样例中的代码进行修改,使其能够正常运行,并对自己采集的数据进行实验和讲解。 一、准备 OpenCV使用棋盘格板进行标定,如下图所示。为了标定相机,我们需要输入一系列三维点和它们对应的…

相机标定,内参数与外参数

相机标定 简介 所谓的相机标定就是将外界世界的坐标信息转化为计算机(自带相机/摄像头)可以理解的“距离”,将世界坐标系转换到相机坐标系。我们可以理解为从一个坐标系转换到另一个坐标系所需要的转换关系就是相机标定。 简单滴说&#x…

相机标定——张氏标定法

目录 前言动机为什么要进行相机标定什么是张氏标定法 张氏标定法的原理透镜成像原理世界坐标系到相机坐标系的转换相机坐标系到图像坐标系的转换图像坐标系到像素坐标系单应性矩阵内参求解外参求解Matlab实操 前言 动机 前段时间在整机械臂的手眼标定,也就是标定3D…

相机标定系列(三)利用matlab进行相机标定

相机标定系列(三)利用matlab进行相机标定 文章目录 相机标定系列(三)利用matlab进行相机标定前言一、棋盘格图像的采集二、单目相机标定三、双目相机标定 前言 matlab的应用程序中含有对双目相机和单目相机的标定工具箱&#xff…

机器视觉——相机标定

1 机器视觉为什么要做相机标定 机器视觉是采用相机成像来实现对三维场景的测量、定位、重建等过程。是一个利用二维图像进行三维反推的过程,我们所处的世界是三维的,而图像或者照片是二维的,可以把相机认为是一个函数,输入量是一…

相机标定篇——相机标定

认为相机标定是三维重建的核心,研究生期间主要方向为结构光三维重建 必要的数学知识 线性方程求解 Gauss消元法;LU分解;Cholesky分解 最小二乘问题-线性方法 特征值分解;奇异值分解;超定线性方程;最小二乘…

【相机标定】相机内参

相机标定 相机在计算机视觉方面的一些应用一般需要相机标定。我们总是听到标定这个词,那么具体标定的是什么呢?相机的拍摄是一个三维到二维(透视投影)的过程,这个过程可以用数学模型去表述,标定便是计算这…

什么是相机标定

1. 相机标定的定义及作用 相机标定是指借助标定板来计算单个或多个相机的内参、外参和镜头畸变参数。 作用: 将畸变的图像恢复为正常的图像,为后续进行拼接、SLAM等奠定基础。 多相机标定可以将所有相机输出变换到同一个坐标系。 相机标定是三维视觉…

相机标定究竟在标定什么?

点击上方“小白学视觉”,选择加"星标"或“置顶” 重磅干货,第一时间送达 相机标定可以说是计算机视觉/机器视觉的基础,但是初学者不易上手,本文将给读者整理一遍相机标定的逻辑,并在文末回答评论区提出的问题…

相机标定(Camera calibration)

简介 摄像机标定(Camera calibration)简单来说是从世界坐标系换到图像坐标系的过程,也就是求最终的投影矩阵 P P P 的过程,下面相关的部分主要参考UIUC的计算机视觉的课件(网址Spring 2016 CS543 / ECE549 Computer vision)。 …

相机参数标定(camera calibration)及标定结果如何使用

重要更新:本文的第二次更新已发布。为了不破坏现有内容的结构,故重新开始新的一篇文章。同时本文的一些内容也会涵盖进去。 欢迎关注。 《第二更,相机参数标定基础:从小孔成像开始到单双目标定》 关于实践部分,可参…

相机标定详解

内参、外参、畸变参数三种参数与相机的标定方法与相机坐标系的理解 相机标定(Camera calibration)原理、步骤 相机标定详解 最近做项目要用到标定,因为是小白,很多东西都不懂,于是查了一堆的博客,但没有…

相机标定-机器视觉基础(理论推导、Halcon和OpenCV相机标定)

相机标定是获得目标工件精准坐标信息的基础。首先,必须进行相机内参标定,构建一个模型消除图像畸变;其次,需要对相机和机器人的映射关系进行手眼标定,构建一个模型将图像坐标系上的点映射到世界坐标系。主要分为背景知…

计算机视觉——相机标定

相机标定 1. 相机标定1.1相机内外参数(重点)1.2 为什么要做相机标定 2. 相机标定的意义3. 相机成像模型3.1 像素坐标系3.2 图像坐标系3.3 相机坐标系3.4 世界坐标系 4.坐标系转换4.1 世界坐标到相机坐标4.2 相机坐标到图像坐标4.3 像素坐标到世界坐标的变…

相机标定、双目相机标定(原理)、三维重建效果展示

1.相机标定的目的: (1)通过单目相机标定分别求出左右相机的内参数和外参数。 (2)矫正由于镜头畸变造成的图片的变形,例如,现实中的直线,拍摄成图像后会外凸或内凹,进行相…

相机标定(Camera calibration)原理及步骤

这已经是我第三次找资料看关于相机标定的原理和步骤,以及如何用几何模型,我想十分有必要留下这些资料备以后使用。这属于笔记总结。 1.为什么要相机标定? 在图像测量过程以及机器视觉应用中,为确定空间物体表面某点的三维几何位置…

计算机视觉—— 相机标定

目录 简介 一、相机模型 1.坐标系 2.坐标系变化 3.相机畸变模型 二、相机标定原理 三、张正友黑白棋盘格标定 2.1.算法思想 2.2.求解内参和外参的积 2.3.求解内参矩阵 2.4.求解外参矩阵 2.5.得到相机畸变矫正参数 2.6.L-M算法参数优化 三、实验 3.1 实验要求…

相机标定的原理及实现

本文参考文档: 原理部分:https://blog.csdn.net/honyniu/article/details/51004397 代码部分:https://www.cnblogs.com/wildbloom/p/8320351.html ;https://blog.csdn.net/firemicrocosm/article/details/48594897# 1、相机标定的…

计算机视觉-相机标定(Camera Calibration)

1.相机标定基本原理 1.1 简介 在图像测量过程以及机器视觉应用中,为确定空间物体表面某点的三维几何位置与其在图像中对应点之间的相互关系,必须建立摄像机成像的几何模型,这些几何模型参数就是摄像机参数。在大多数条件下这些参数必须通过实验与计算才…

相机标定(Camera calibration)原理、步骤

这已经是我第三次找资料看关于相机标定的原理和步骤,以及如何用几何模型,我想十分有必要留下这些资料备以后使用。这属于笔记总结。 1.为什么要相机标定? 在图像测量过程以及机器视觉应用中,为确定空间物体表面某点的三维几何位置…