MySql数据库的下载安装及使用教程

article/2025/10/20 2:27:10

这段时间一直在使用python操作mysql数据库,这里简要叙述一下mysql的安装过程。后续的博客中也会讲到python操作mysql的步骤,这里不作介绍。
一、MySql的下载与安装
1.MySQL的下载
在浏览器中输入网址:https://www.mysql.com/downloads/,然后点击菜单中的“Community”,再点击下方的“MySQL on Windows”,如下图所示。
图1
接下来,选中”MySQL Installer”,进入新的页面后,拉到页面最底端,选中第二个安装包进行下载,如下图所示。
图2
点击第二个安装包后,跳转下图所示界面。点击红色区域内的内容,进行安装包下载。
图3
2.MySQL安装
下载完成后,进行安装。基本上都是执行“execute”、“next”选项。如果遇到一些装包下载失败,也可以不用管。下面列出了安装过程中的一些图。
图4
这里要输入数据库的密码;
图5
这里需要输入数据库的名称;
图6
接下来,一步一步地进行安装,直至安装完后即可。
安装完成后,一般就会将环境变量默认设置完成。检查一下,如果没有设置的话,在系统环境变量path下添加:C:\Program Files\MySQL\MySQL Server 8.0\bin;
测试是否安装成功:
在管理员权限下运行:
启动:Net start mysql80(mysql80数据库名)
关闭:Net stop mysql80.
图7
二、Workbench以及mysql的使用
1.建立数据库
打开workbench,选择红色区域的加号,如下图所示。
图8
然后先输入用户名和密码,再输入连接名;先点击“test connection”,连接成功后,点击“OK”即可。
图9
点击红色区域db_2,进入workbench操作界面。
图10
点击下图工具栏中的红色区域,输入数据库名,点击“Apply”即可建立数据库。
图11
图12
图13
右击“tables”,创建新表(create tables)。在表格中输入一些属性名,如下图所示。点击“Apply”,创建完后。
图14
然后右击“student”,选择“Select Rows-Limit 1000”,在表格输入类似于下面的内容,点击“Apply”,即把数据写入到数据库中。
图15
2 数据库的增删改查
输入 mysql -uroot -p命令,然后输入show databases,以看到刚刚建立的数据库,再依次输入use database_2,show tables。
图16
这里写图片描述
1)查(select)
Select * from student;
图18
2)增(insert)
Insert into 表名(列名1,列名2,列名3,…..) values (value1,value2,value3,…..);
插入值:
Insert into student(idstudent, name, age, addr) values (3,’王五’,21,’王家村’);
图19
3)改(update)
UPDATE [LOW_PRIORITY] [IGNORE] tbl_name
SET col_name1=expr1 [, col_name2=expr2 …]
[WHERE where_definition]
[ORDER BY …]
[LIMIT row_count]
修改值:update student set age=19 where id=3;
图20
4)删
语法:delete from tb (where)
Delete from student where idstudent=3;
图21

其它命令可以自己上网搜索,这里不一一详述。


http://chatgpt.dhexx.cn/article/3OIqSnea.shtml

相关文章

本地mysql数据库安装

文章目录 1 MySQL下载地址2 安装及配置 1 MySQL下载地址 下载地址:mysql下载 出现如下界面,无需登录或注册,直接点击 No thanks, just start my download. 即可开始下载。 2 安装及配置 ① 将下载的压缩包解压到想要安装的目录下。 ② 创建…

MySQL安装(详细,适合初学者)

MySQL安装 一、mysql安装包下载二、配置my.ini文件三、初始化MySQL四、可能遇到的错误操作(没出错就可以跳过了) 一、mysql安装包下载 官网下载地址:mysql安装包下载 如图所示:二、配置my.ini文件 解压后的文件尽量不要放在C盘…

MySQL数据库的安装

一、下载MySQL 首先,去数据库的官网http://www.mysql.com下载MySQL。 然后点击downloads,再点击MySQL Community(GPL) Downloads。如下图: 选择MySQL Community Server。 点击Go to Download Page。 选择第二个下载。 点击download进入下…

讲解MySQL最详细的一步一步安装教程

一、 下载MySQL Mysql官网下载地址MySQL :: Download MySQL Installer (Archived Versions) 1. 选择想要安装的版本,点击Download下载 本篇文章选择的是5.7.31版本 二、 安装MySQL 1. 选择设置类型 双击运行mysql-installer-community-5.7.31.0.msi,…

mysql数据库安装教程(超级超级详细)

目录 一、首先安装可以根据官方文档进行安装 二、Linux中安装mysql 1、首先执行二进制文件的安装 一、首先安装可以根据官方文档进行安装 https://dev.mysql.com/doc/ 1、先安装到Windows中: 2、选择mysql community server。 3、 选择要下载的版本&#xff0…

【安装版】mysql数据库安装指南(超级详细)

电脑是windows,参考下面的安装步骤。 一、下载mysql数据库二、安装mysql (双击msi文件)二、验证是否安装成功 一、下载mysql数据库 进入MySQL官方网站(MySQL Community Downloads),进入下载页面 二、安…

MySQL的安装(详细教程)

文章目录 前言一、概述二、下载三、安装四、卸载五、可能遇到的问题 前言 本文的主要目的是在 Windwos 上安装 MySQL,以下内容是源于 B站 - MySQL数据库入门到精通 整理而来。 如果想要在 Linux 下安装 MySQL ,详见 Linux-安装MySQL(详细教…

MySQL安装教程(详细)

目录 一、安装准备 1.1 mysql数据库下载 官网在线下载 云盘离线下载 1.2 数据库运行环境下载 二、安装步骤 2.1 开始安装 2.2 选择安装类型 2.3 选择功能 2.4 检测安装环境 2.5 功能安装 2.6 功能安装完成,点击next 2.7 产品配置,点击next …

mysql数据库安装(详细)

安装MySQL MySQL是目前最为流行的开放源码的数据库,是完全网络化的跨平台的关系型数据库系统,它是由瑞典MySQLAB公司开发,目前属于Oracle公司。任何人都能从Internet下载MySQL软件,而无需支付任费用,并且“开放源码”…

树的结点?结点的度?

什么是树的结点?结点的度?

树的概念:层次、高度、深度、宽度

目录 层次 宽度 深度 高度 其中只有层次是树原生的概念,其他都是从树中的结点来的。 层次 从根节点开始算起,根节点算第一层。如图所示的树 第1层:A 第2层:B,C 第3层:D,E,F 第4层:G,H,I 宽度 其…

树的高度,节点的深度和高度

节点深度高度以及树的高度,不同的教材可能定义不同,本文是参考的《数据结构与算法python》第八章201页的定义 文章目录 1 节/结点的深度和高度1.1 深度depth1.2 高度height 2 树的高度3 二叉树知识补充 1 节/结点的深度和高度 1.1 深度depth 假定p是树…

树的高度和深度 | 结点的高度和深度

有个缺点,看到什么东西不管是不是重点只要说不通总是爱钻牛角尖。 对于 树的高度和深度(以及结点的高度和深度) 看了几本不同的书,都有各自的说法,多方查证吧,花了很多时间,最后归纳一下。(&am…

树的高度,深度,层数,度的辨析与解释

一.高度和深度辨析 关于树的深度和高度的计算,我看到两个不同的说法,它们的区别就在于到底是从0开始计算还是从1开始计算。(网上的和算法题偏向说法二,如果有能找到更加权威的解答望不吝赐教) 说法一: 《数…

树的节点、度数、高度、深度、遍历

1.节点的度与树的度 节点的度:结点拥有的子树数目称为结点的度,叶子结点 就是度为0的结点 树的度:树内各结点的度的最大值 分支节点:度不为0的节点 -------------------------------------------------- 节点数nn0n1n2&#…

数据结构——树

数据结构笔记目录: 1. 绪论、时间复杂度 2. 线性表 3. 树 4. 图 5. 查找 6. 排序 3.1 树 3.1.2 基本定义 n 个结点的有限集( n ≥ 0 n \ge 0 n≥0 ) 每棵树只有一个根结点其余结点分为 m 个有限集,每个有限集都是树 1. 定义 逻辑结构 一对多 &#…

如何理解数据结构中树的度(树的度是什么意思)?

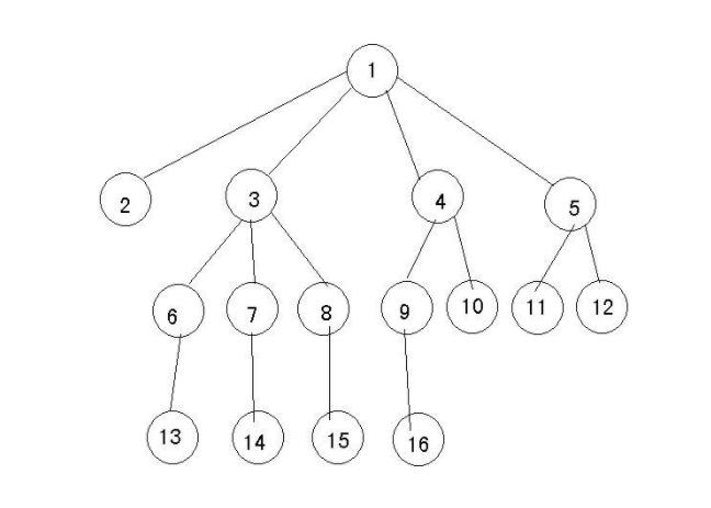
在数据结构中,树是一对多的存在,如下图是一颗树。 结点拥有的子树个数称为结点的度,比如结点①的度为4,结点②的度为0,结点③的度为3。 对于树而言,树的度为树内各结点最大的度,从图中可知&…

数据结构(二叉树)

1. 二叉树 1.1 完全二叉树 除最后一层外,每一层的节点达到最大值,在最后一层只缺少右边v1若干节点 2. 关于树的三种逻辑算法(如下图) 2.1 树的总节点数等于每层节点数之和(计数)。 2.2 树的总结点数等于所有不同度数的节点数…

树的度是什么

https://www.zhihu.com/question/294774611 问题 树的节点的度是指节点的子树个数,那树的度是什么? 回答 树节点的度数即为该节点孩子的个数。 这是一棵树,树的度指其中节点的度最大值。 比如1号节点的孩子是2、3、4,则1号节点的度数是…

java 构造函数和super

package one; class book {book(){System.out.println("这是没有参数的父类的构造方法");}book(int i){System.out.println("有参数 父类的构造方法");}public void get(){System.out.println("book父类");}} class dictionary extends book {…