特征值和特征向量的实际意义

article/2025/10/15 8:40:56

特征值和特征向量的实际意义

从定义出发,Ax=cx:A为矩阵,c为特征值,x为特征向量。
矩阵A乘以x表示,对向量x进行一次转换(旋转或拉伸)(是一种线性转换),而该转换的效果为常数c乘以向量x(即只进行拉伸)。
我们通常求特征值和特征向量即为求出该矩阵能使哪些向量(当然是特征向量)只发生拉伸,使其发生拉伸的程度如何(特征值大小)。这样做的意义在于,看清一个矩阵在那些方面能产生最大的效果(power),并根据所产生的每个特征向量(一般研究特征值最大的那几个)进行分类讨论与研究。

更新与2015.12.02 今天无意中看到了这篇介绍,感觉讲的很清晰,特与大家分享!
连接:http://jingyan.baidu.com/article/3065b3b68c6bb6becff8a488.html
大学中都学过矩阵,是不是矩阵感觉很抽象,晦涩难懂,和生活实际挂不上边,其中矩阵有一个叫特征向量的东西,只要学过矩阵的,都会求它,但是他是做什么的,书本上却没说,只是说相当有用,但是在何处用,大家只能说 I do not know ,这里给大家说明下,特征向量的几何意义,让大家一目了然 。
在这里插入图片描述
工具/原料


记得带着脑子哦
方法/步骤
如果说一个向量v是方阵A的特征向量,将一定可以表示成下面的形式:
在这里插入图片描述
这时候λ就被称为特征向量v对应的特征值,一个矩阵的一组特征向量是一组正交向量。特征值分解是将一个矩阵分解成下面的形式:
在这里插入图片描述
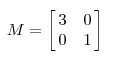
其中Q是这个矩阵A的特征向量组成的矩阵,Σ是一个对角阵,每一个对角线上的元素就是一个特征值。首先,要明确的是,一个矩阵其实就是一个线性变换,因为一个矩阵乘以一个向量后得到的向量,其实就相当于将这个向量进行了线性变换。比如说下面的一个矩阵:
在这里插入图片描述
它其实对应的线性变换是下面的形式:
在这里插入图片描述
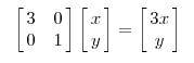
因为这个矩阵M乘以一个向量(x,y)的结果是:
在这里插入图片描述
上面的矩阵是对称的,所以这个变换是一个对x,y轴的方向一个拉伸变换(每一个对角线上的元素将会对一个维度进行拉伸变换,当值>1时,是拉长,当值<1时时缩短),当矩阵不是对称的时候,假如说矩阵是下面的样子:
在这里插入图片描述
它所描述的变换是下面的样子:
在这里插入图片描述
这其实是在平面上对一个轴进行的拉伸变换(如蓝色的箭头所示),在图中,蓝色的箭头是一个最主要的变化方向(变化方向可能有不止一个),如果我们想要描述好一个变换,那我们就描述好这个变换主要的变化方向就好了。反过头来看看之前特征值分解的式子,分解得到的Σ矩阵是一个对角阵,里面的特征值是由大到小排列的,这些特征值所对应的特征向量就是描述这个矩阵变化方向(从主要的变化到次要的变化排列)
在这里插入图片描述
当矩阵是高维的情况下,那么这个矩阵就是高维空间下的一个线性变换,这个线性变化可能没法通过图片来表示,但是可以想象,这个变换也同样有很多的变换方向,我们通过特征值分解得到的前N个特征向量,那么就对应了这个矩阵最主要的N个变化方向。我们利用这前N个变化方向,就可以近似这个矩阵(变换)。也就是之前说的:提取这个矩阵最重要的特征。总结一下,特征值分解可以得到特征值与特征向量,特征值表示的是这个特征到底有多重要,而特征向量表示这个特征是什么,可以将每一个特征向量理解为一个线性的子空间,我们可以利用这些线性的子空间干很多的事情。不过,特征值分解也有很多的局限,比如说变换的矩阵必须是方阵。
在这里插入图片描述
注意事项
最后一个条是关键,一定要仔细看

注意:
”特征值分解“ 要求矩阵必须是 “方阵”
不是“方阵”可以使用 “奇异值分解”

转自:https://blog.csdn.net/sunshine_in_moon/article/details/45749691


http://chatgpt.dhexx.cn/article/1a0ZLvp5.shtml

相关文章

什么是特征向量和特征值

有振动 就有特征值 1 特征值和特征向量的由来 谈到线性代数课本里面的一些概念&#xff0c;比如行列式、矩阵乘积、线性变换、二次型等&#xff0c;或许很少人知道它们是谁发现的&#xff0c;这不像高数/数分课本上那么明显&#xff1a;柯西收敛准则、拉格朗日中值定理、魏尔…

雅可比算法求矩阵特征值C语言源代码,雅可比(Jacobi)计算特征值和特征向量

雅可比迭代法法 在图形图像中不少地方用到求矩阵的特征值和特征向量,好比主成分分析、OBB包围盒等。编程时通常都是用数值分析的方法来计算,这里介绍一下雅可比迭代法求解特征值和特征向量。雅可比迭代法的原理,网上资料不少,详细可见参考资料1。这里咱们简单介绍求解矩阵S…

PCA | 特征值和特征向量

SVD/PCA的分析只需要一行代码即可实现&#xff0c;但是要理解背后的原理&#xff0c;可能需要从特征值和特征向量开始。第一次接触特征值是在SPM里&#xff0c;那时候连怎么发音都不知道。就像这个slide讲的一样&#xff0c;spm有一个按钮&#xff0c;按了就可以提取&#xff0…

特征值和特征向量的理解

在线性代数的最后&#xff0c;我们都会学矩阵的特征值分解&#xff0c;我们知道一个方阵A经过特征值分解后就得到特征向量和特征值了。那么&#xff0c;这个所谓的特征值和特征向量到底是什么东西呢&#xff1f; 我们一上来就会学到这样的一个公式&#xff1a; Ax λx&#…

MATLAB之特征值和特征向量

1.定义&#xff1a; 设A是n阶矩阵&#xff0c;如果数λ和n维非零向量x使关系式 (1) 成立&#xff0c;那么&#xff0c;这样的数λ称为矩阵A的特征值&#xff0c;非零向量x称为A的对应于特征值λ的特征向量&#xff08;1&#xff09;式还可以写为&#xff1a; &#xff08;2&…

特征值和特征向量的作用

本文转自知乎大牛。 从定义出发&#xff0c;Axcx&#xff1a;A为矩阵&#xff0c;c为特征值&#xff0c;x为特征向量。 矩阵A乘以x表示&#xff0c;对向量x进行一次转换&#xff08;旋转或拉伸&#xff09;&#xff08;是一种线性转换&#xff09;&#xff0c;而该转换的效果为…

线性代数学习之特征值与特征向量

什么是特征值和特征向量&#xff1a; 在上一次线性代数学习之行列式学习了行列式相关的一些概念&#xff0c;其中也多次提到学好行列式是为了学习“特征值和特征向量”的基础&#xff0c;所以此次就正式进入这块内容的学习&#xff0c;也是线性代数中非常重要的概念&#xff0…

线性代数之特征值与特征向量的求法

线性代数之特征值与特征向量的求法 特征值与特征向量 已知如下矩阵A&#xff0c;求解其特征值和特征向量。 首先构造特征方程 det(λE-A) 情况一: 特征值 -2时解方程组(-2E-A)X0&#xff0c;即得&#xff1a; 于是得同解方程组 - 0&#xff0c;解为 - (这里 , 为自由未知…

cfree 上面工具栏消失解决办法(不用重下!!!!!)

在上框空白处鼠标右键自定义&#xff1b; 新建随便命个名&#xff1b; 左上角就是新建的工具栏&#xff1b;然后还是附件打开命令把你想用的快捷方式拖到新建的工具栏就可以了 暂时用着没有啥问题。

cfree编译报错[Error] g++.exe: 5\mingw\lib\: No such file or directory

心血来潮拾起算法想到了c/c&#xff0c;然后安装了cfree&#xff0c;但是在编译程序的时候报错&#xff0c;大致如下 [Error] g.exe: 5\mingw\lib\: No such file or directory [Error] g.exe: 5\mingw\mingw32\lib\: No such file or directory [Error] g.exe: 5\mingw\bin\:…

解决Cfree [Error] g++.exe: 5\mingw\lib\: No such file or directory

昨天笔者复习数据结构想编写代码&#xff0c;突然发现自己的Cfree显示如图所示错误 看到这耀眼的红色&#xff0c;想必是程序员的都不能忍&#xff0c;于是经过苦苦找寻&#xff0c;终于发现了其中的奥妙&#xff0c;那就是把你安装的文件夹名字 C-free 5改为C-free5即不要之间…

Cfree之万能头函数bits\stdc++.h的添加和注意事项

实现步骤 一、创建一个.txt文件&#xff0c;把下面的代码复制进去 // C includes used for precompiling -*- C -*-// Copyright (C) 2003-2015 Free Software Foundation, Inc. // // This file is part of the GNU ISO C Library. This library is free // software; you …

cfree mysql_如何配置CFree才能开发MySql数据库应用

环境&#xff1a; IDE&#xff1a;CFree5.0 操作系统&#xff1a;Windows XP Prefessional sp3 数据库版本&#xff1a;MySQL-5.0.22-community-nt 连接器版本&#xff1a;mysql-connector-c-noinstall-6.0.2-win32 编译器&#xff1a;GCC for windows 4.5.0 2。将Mysql开发包的…

c语言为什么不能自动free,求大神帮忙看看 为什么cfree没有报错但是就是运行不了...

求大神帮忙看看 为什么cfree没有报错但是就是运行不了 #include #include #include #define Insert 1 //增加订单 #define Query 2 //查找订单 #define Update 3 //修改订单 #define Delete 4 //删除订单 #define List 5 //列出所有订单 #define Quit 0 //退出系统 FILE *…

关于CFree5.0中设置支持C99模式

关于C-Free5.0中设置支持C99模式&#xff0c;分为以下几个步骤&#xff1a; 1.打开C-Free5.0&#xff0c;在左上角找到‘构建&#xff08;B&#xff09;’ 2.展开‘构建&#xff08;B&#xff09;’&#xff0c;点击最下方的‘构建选项’ 3.在‘编译’一栏看到红色框区域&am…

C-Free 5 加 TDM-GCC编辑器搭建C/C++开发环境

本文所需要的安装程序下载地址&#xff1a;https://download.csdn.net/download/fangfang635344731/10705407 1.安装C-Free 5&#xff0c;这一步重点是安装路径绝对不能有空格&#xff01;&#xff01;&#xff01;我的安装路径为“C:\C-Free5”。 2.安装TDM-GCC&#xff0c;…

C语言基础入门:C-Free5设置支持C99标准

问题&#xff1a; 在使用C-Free 5.0调试程序时&#xff0c;编译提示不支持C99模式&#xff0c;错误&#xff01; 具体问题如下图所示&#xff1a; 解决方法1&#xff1a;对已创建工程的设置&#xff0c;仅对该工程有效。 右键点击“文件列表窗口”中的工程 从上到下&#x…

Cfree-5各种抽风解决办法

最近好像笔记本单步调试用不了&#xff0c;本想去Cfree吧求助&#xff0c;没想到首页就有个和我问题一毛一样的&#xff0c;还有大神在楼下给出了解答&#xff0c;好开森&#xff01;赶紧记录&#xff08;chaoxi&#xff09;到这啦&#xff0c;免得以后抽风。 我这里是最近变成…

cfree5文件标签混乱处理。

有时cfree5并不听话&#xff0c;文件列表标签会乱显示&#xff0c;非常影响心情&#xff1a; 如上面红线内部分&#xff0c;怎么也处理不了。 以前用cfree4安装后再安装5可以处理&#xff0c;但最近处理不了。琢磨了一下&#xff0c;发现原来解决办法很简单&#xff1a; 一、对…

cfree5更新C++11特性

昨天在调试程序的时候&#xff0c;发现有些最新的函数Cfree并不支持&#xff0c;因为最新出来的C11特性不满足。C11标准较之前的版本在性能上有很大改变&#xff0c;具体请查阅百度或谷歌&#xff0c;谷歌现在进不去了&#xff0c;那就翻墙吧。 好了&#xff0c;首先我们还是如…