格密码与最短向量上界

article/2025/10/2 8:45:12

目录

前言

一. BLICHFELD理论

二. 闵可夫斯基凸体定理

三. n维球体体积结论

四. 闵可夫斯基第一定理

五. 闵可夫斯基第二定理

结论


前言

本节主要讨论闵可夫斯基提出的关于连续最小值的上界问题。为了简化分析过程,仅讨论满秩的格,将结果类推到非满秩的格也是同理可得。

一. BLICHFELD理论

对于任意满秩格\Lambda \in R^n和可测量的集合S\in R^n,如果满足vol(S)>det(\Lambda),那么必定存在z_1,z_2\in S,满足z_1-z_2\in \Lambda。如下图所示:

证明: 将S平移到基本区中,若vol(S)>det(\Lambda),则存在重合点。具体分析思路如下:

假定B为\Lambda的格基,让x遍历所有格点\Lambda,如下集合构成n维空间R^n的一部分:

x+P(B):=\lbrace x+y\lvert y\in P(B)\rbrace

每个基本区都会有重叠的部分,定义交集如下:

S_x=S\cap(x+P(B))

由此,原集合就被分成了各个小块,如下:

S=\cup _{x\in \Lambda}S_x

体积也对应分成很多小块:

vol(S)=\sum_{x\in\Lambda}vol(S_x)

将每个小集合里面的格点去掉:

\hat{S_x}=S_x-x

单个点对体积是无影响的,所以以下结论依旧成立:

\hat{S_x}\subseteq P(B)以及vol(\hat{S_x})=vol(S_x)

由此可得:

\sum_{x\in\Lambda}vol(\hat{S_x})=\sum_{x\in\Lambda}vol(S_x)=vol(S)>vol(P(B))

由此,一定存在一些格点x,y\in \Lambda, x\not=y,保证\hat{S_x}\cap\hat{S_y}\not=0。用z代表\hat{S_x}\cap\hat{S_y}中的点,所以z+x一定包含在S_x\subseteq S,z+y包含在S_y\subseteq S。所以(z+x)-(z+y)=x-y也包含在\Lambda中。定理证明完毕。

由此定理可以类推出闵可夫斯基凸体定理。此定理表明一个足够大的中心对称的凸体一定包含一个非零的格点。如果S是中心对称的,当x\in S时,-x\in S;因为是个凸体,当x,y \in S\lambda \in [0,1],不难推出\lambda x+(1-\lambda)y\in S。中心对称和凸体的前提条件,去掉任何一个,闵可夫斯基凸体定理就会不成立。

二. 闵可夫斯基凸体定理

对于任意满秩格\Lambda \in R^n和中心对称凸集S\in R^n,若vol(S)>2^ndet(\Lambda),则S包含非零格点。

证明:

\hat{S}=\frac{1}{2}S=\lbrace x|2x\in S\rbrace。所以vol(\hat{S})=2^{-n}vol(S)>det\Lambda。根据BLICHFELD理论,一定存在两个点z_1,z_2\in\hat{S},满足z_1-z_2\in\Lambda且不是原点。根据定义,2z_1,2z_2\in S,又因为S是中心对称的,所以-2z_2\in S。另外由于S是凸体,\frac{2z_1-2z_2}{2}=z_1-z_2也在空间S中。如下图所示:

此证明的主体思想:将S等比例缩小一半。

三. n维球体体积结论

vol(B(0,r))\geq{(\frac{2r}{\sqrt{2}})}^n

证明:

此球内包含一个长度为\frac{2r}{\sqrt{n}}的立方体。如下图:

所以可得\lbrace x\in R^n|\forall i,|x_i|<\frac{r}{\sqrt{n}}\rbrace\subseteq B(0,r)。证明完毕。

到此铺垫完毕,可引出格最短向量的上界问题。

四. 闵可夫斯基第一定理

对于任意满秩格\Lambda\in R^n,其最短向量长度满足如下:

\lambda_1(\Lambda)\leq\sqrt{n}{(det\Lambda)}^{\frac{1}{n}}

证明:根据定义,球B(0,\lambda_1(\Lambda))内包含非零格点,根据以上分析可得:

{(\frac{2\lambda_1(\Lambda)}{\sqrt{n}})}^n\leq vol(B(0,\lambda_1(\Lambda)))\leq2^n det(\Lambda)。整理此式子不难得出\lambda_1(\Lambda)的上界。

主题思想:B(0,\lambda_1(\Lambda))不含任何非零格点+闵可夫斯基凸体定理。

对于闵可夫斯基第一定理的理解与分析:

定理中{(det\Lambda)}^\frac{1}{n}看起来可能有些奇怪,实际上有它本身的意义:能够与空间维度联系起来。例如,将格c\Lambda看成原格\Lambda扩大c倍产生。所以易得\lambda_1(c\Lambda)=c\lambda_1(\Lambda)。另一方面,在n维度上det(c\Lambda)=c^ndet(\Lambda),等式右边正如我们所理解的那样扩大c倍。由此得出结论,任意秩为n,行列式为1的格,最短向量的上界为\sqrt{n}

这个上界可以进一步缩小吗?答案是可以的!举个例子,取一个很小的\epsilon>0,考虑一组格基{(\epsilon,0)}^T,{(0,\frac{1}{\epsilon})},此格的行列式为1,依据闵可夫斯基第一定理可得上界为\sqrt{2},然而实际最短向量为\epsilon。实际上,已经有研究将\sqrt{n}的上界缩小到c\sqrt{n}, c<1。此处讨论的二维可以拓展到多维。

闵可夫斯基第一定理研究的是最短向量,也就是第一个连续最小值\lambda_1。加强版的连续最小值问题可以由闵可夫斯基第二定理说明,以下研究的不只是\lambda_1,考虑的是\lambda_i的几何平均数。

五. 闵可夫斯基第二定理

对于任意满秩格\Lambda\in R^n,其连续最小值最小值满足:

(\prod_{i=1}^n\lambda_i(\Lambda))^{1/n}\leq\sqrt n(det \Lambda)^{1/n}

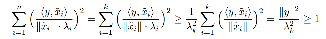
证明:x_1,\ldots,x_n\in \Lambda为连续最小值代表的向量,也就是\lVert x_i\rVert=\lambda_i(\Lambda)。令\tilde{x_1},\ldots,\tilde{x_n}代表对应的Gram_Schmidt正交化结果。引入一个椭球体,轴为\tilde{x_1},\ldots,\tilde{x_n}所在的直线,长度为\lambda_1,\ldots,\lambda_n。可得如下椭球体内部空间(不包含边界):

易得,椭球体不包含任何非零格点。以二维为例子,理解为x_1向量在椭圆的边界,x_2向量在椭圆的外部,如下图:

此部分证明该椭球体用T表示时,该椭球体T的内部不包含任何非零格点。

取任意非零的格点y\in\Lambda,让1\leq k\leq n使得k是对应的最大值,且满足如下不等式:

||y||\geq\lambda_k(\Lambda)

如果x_1,\ldots,x_k,y是k+1个线性独立的向量,且要求它们的长度就都小于\lambda_{k+1}(\Lambda)   ,显然是互相矛盾的。所以可得

y\in span(\tilde{x_1},\ldots,\tilde{x_k})=span(x_1,\ldots,x_k) 。

综合以上:

由此可得y\notin T

该椭球体的体积满足如下不等式:

vol(T)<2^ndet\Lambda

令a代表长半轴,b代表短半轴,椭圆的面积计算公式如下:

S=\pi\cdot a \cdot b

再结合闵可夫斯基凸体定理,所以可得: 

将两个不等式结合在一起,所以:

{(\prod_{i=1}^n)\lambda_i(\Lambda)}^{\frac{1}{n}}\leq\sqrt{n}{(det\Lambda)}^{\frac{1}{n}}

 定理证明完毕。

结论

密码技术随着信息表达、传输、处理技术变革而演进。经历了古典密码(密码盘、恩尼格玛密码机),现代密码(AES,RSA),新型密码(抗量子密码,同态密码,物理层密码)。


http://chatgpt.dhexx.cn/article/jmIEoSTP.shtml

相关文章

一个苹果成就了牛顿,一个苹果杀死了图灵。

今天不发技术文章了。 假期看了一部电影《模仿游戏》&#xff0c;讲的是人工智能之父图灵的故事。 说起图灵&#xff0c;可能你知道他是计算机科学之父、人工智能之父。计算机领域最负盛名的奖项「图灵奖」都用他的名字命名。 但你可能不知道&#xff0c;二战期间&#xff0c;他…

使用 python 实现恩尼格码的加密

使用 python 实现恩尼格码的加密 又是摸鱼的一天查阅资料&#xff0c;尝试理解恩尼格码字符的映射混淆的次数反射板和转接线的设置描述转子转动的规律完整代码的实现 实现过程的复盘 又是摸鱼的一天 今天在问答胡混的时候&#xff0c;看到一个提问&#xff0c;关于恩尼格码的 …

密码分析学-Enigma机破解

密码分析学 Enigma机破解 目录 作业要求摘要正文一&#xff1a;Enigma机加密1.1 背景1.2 加密原理1.3 安全性分析1.4 加密算法实现 二&#xff1a;Enigma解密2.1 历史上的解密2.2 Enigma机破解原理2.2.1 寻找明密文对关系 -- Ciber2.2.2 通过环路屏蔽接线板2.2.3 还原接线板 2…

密码学的发展(第二篇:恩尼格码机)

1、恩尼格玛机 恩尼格码机又叫英格玛机、哑谜机器或者奇谜机&#xff0c;它在二战中大放异彩。它使用的本质还是第二代机密法----替代和移位。但因为可以切换无穷种加密配套组合&#xff0c;所以在对抗频率分析上极为有效。 恩尼格玛机是一种机械电子式的加密机&#xff0c;由…

密码学简史(一)--- 谍战中的古典密码学

文章目录 1. 隐藏法2. 移位法与替代法3. 维吉尼亚加密法3.1 维吉尼亚加密法的破解3.2 维吉尼亚加密法2.0版3.3 维吉尼亚加密法3.0版 4. 恩尼格玛密码机(Enigma)4.1 第一代恩尼格玛机的破解4.2 第二代恩尼格玛机的破解 更多文章&#xff1a; 密码学数千年的发展史&#xff0c;加…

MATLAB实现Enigma 密码机

Matlab 模拟实现 enigma 密码机。密码机包含三个转子和反射器&#xff0c;满足以下条件&#xff1a; 1. 输入信号从左往右通过各个转子&#xff08;在到达反射器之前&#xff09;&#xff1b; 2. 根据输入信号的流经次序&#xff0c;从左到右将转子依次标号为转子 1、转子 2、…

通过Java实现恩尼格玛密码机

1 简介 前一段时间看了B站介绍恩尼格玛密码机的视频&#xff0c;试了试用Java来实现一台恩尼格玛密码机&#xff0c;在此文章中来简单介绍自己实现的思路和代码以供大家学习参考&#xff0c;如有错误&#xff0c;欢迎指出。 单表替换密码会由于字母分布的规律被破解出来&…

加密解密工具 之 恩尼格玛密码机密码

工具链接&#xff1a;http://www.atoolbox.net/Tool.php?Id993 恩尼格码密码机及加密原理 恩尼格码密码机是二战时期的纳粹德国及其盟国&#xff0c;特别是德国军方所使用的一种高级机械加密系统&#xff0c;以转子结构为主体。 密码机一般装在一个盒子里。当要加密一串字符…

恩尼格玛密码机原理解析(Enigma principle )

恩尼格玛机也结合了机械系统与电子系统。机械系统包括了一个包含了字母与数字的键盘&#xff0c;相邻地排列在一个轴上的一系列名为“转子” 的旋转圆盘&#xff0c;还有一个在每次按键后就使一个或几个转子旋转的装置。各种恩尼格玛机上的机械系统都各为不同&#xff0c;但是&…

使用HttpClient模拟POST请求

HttpClient 是 Apache Jakarta Common 下的子项目&#xff0c;可以用来提供高效的、最新的、功能丰富的支持 HTTP 协议的客户端编程工具包&#xff0c;并且它支持 HTTP 协议最新的版本和建议。当前官网最新版介绍页是&#xff1a;http://hc.apache.org/httpcomponents-client-4…

fastmock模拟post、get请求

参考资料&#xff1a; fastmock 帮助文档 初学者可以根据这个文档了解如何创建项目 【前端必备基本技能】-fastMock平台使用_哔哩哔哩_bilibili 如果觉得文档不好理解的小伙伴可以看这个视频&#xff0c;本人觉得讲的很仔细。 Mock.js 实例练习&#xff1a; get请求 …

TCP模拟HTTP请求

HTTP的特性 HTTP是构建于TCP/IP协议之上&#xff0c;是应用层协议&#xff0c;默认端口号80 HTTP协议是无连接无状态的 HTTP报文 请求报文 HTTP协议是以ASCⅡ码传输&#xff0c;建立在TCP/IP协议之上的应用层规范。 HTTP请求报文由请求行&#xff08;request line&#xff09;、…

使用postman模拟post、get请求

postman通常作为一种接口测试工具&#xff0c;如&#xff1a;采用post、get等方式&#xff0c;模拟对接口进行访问&#xff0c;用于查看接口功能是否正常。 模拟POST请求 选择请求方式为POST 设置请求url地址 http://localhost:8081/webside/subSystemLogin.html 选择Header…

如何简单的模拟发送http post请求

有天在做项目演示的时候要用到post请求的模拟发送&#xff0c;为此总不至于写一个html页面&#xff0c;当时只记得百度了一下模拟发送http post请求&#xff0c;方法大概都是说用fiddler工具或者使用cmd内置telnet客户端模拟http请求。 这里抄送附上fiddler工具和telnet模拟po…

接口测试中模拟post四种请求数据

转自 作者&#xff1a;隋胖胖LoveFat 链接&#xff1a;https://www.jianshu.com/p/3b6d7aa2043a 来源&#xff1a;简书 一、背景介绍 在日常的接口测试工作中&#xff0c;模拟接口请求通常有两种方法&#xff0c;fiddler模拟和HttpClient模拟。 Fiddler是一个简单的http协议调…

谷歌学术访问

https://via.hypothes.is/ 不需要镜像&#xff0c;不需要任何操作&#xff0c;只需打开这个网站&#xff0c;输入你要访问的学术网站&#xff0c;秒开 第一步&#xff1a; 第二步:

谷歌学术(google scholar)个人主页的论文信息不准确怎么办?

题目&#xff1a;谷歌学术(google scholar)个人主页的论文信息不准确怎么办&#xff1f; 谷歌学术主页是很多人展示自己学术成果的一种方式&#xff0c;但很多时候&#xff0c;谷歌自动给你聚集到主页的论文信息是有误的&#xff0c;这时候怎么去编辑呢&#xff1f; 论文信息…

谷歌学术介绍

转载自&#xff1a;http://blog.renren.com/share/111541487/15517062888 “谷歌学术”是谷歌搜索引擎中的学术检索部分&#xff0c;相对于知网、维普、万方、Pubmed等专业的论文数据库来说功能单薄了些&#xff0c;但具有页面简约、搜索速度快、集国内外文献于一体、某些文章可…

Google 学术搜索(Google Scholar)使用技巧

本文简介Google 学术搜索&#xff08;Google Scholar&#xff09;使用技巧&#xff0c; 关于Web Of Science 上搜索文献&#xff0c;查看SCI分区及影响因子情况参见我的另一篇博客&#xff08;https://xiongyiming.blog.csdn.net/article/details/78474211&#xff09; Google…

【谷歌学术】使用指南

【谷歌学术】使用指南 谷歌可以清楚看到作者的影响力&#xff0c;尤其是在衡量一个学者有多厉害&#xff0c;论文质量有多高【往往是博士阶层往上】 谷歌学术网站&#xff1a; https://scholar.google.com.hk/?hlzh-CN 查人 查论文都很好用 同时你订阅这个作者 还会收到他…