双目视觉测量技术介绍

article/2025/10/9 16:20:21

1 双目视觉系统测量原理

      双目视觉测量技术是计算机领域重点研究课题,其目标是从左右两相机获取的图像中计算出图像中每个像素点的视差信息,进而获取实际空间中物体的三维信息。基于视觉的测量方法往往是非接触形式的,其以速度快、精度高和无需复杂的硬件支持,只需满足性能需求的相机和软件即可获取被测目标的空间信息的突出优势而飞速发展,广泛应用于机器人、辅助驾驶/无人驾驶、工业生产和日常生活中。

      双目视觉系统的测量原理是根据人类双眼看物体存在“视差”的原理,在计算机视觉中,通过同一基线不同位置获得两幅图像可以像人类双眼一样估计物体形状、远近,即利用目标物体在两幅图像的位置不同,计算图像的视差图,然后通过相似三角形原理可获取目标的三维信息。理想双目相机成像模型如下图所示。

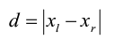
      其中 Ol 和 Or 是左右两个相机的位置,P 是空间中一点,P 在相机 Ol 中的成像点是Pl,在相机 Or 中的成像点是 Pr,线段 xl 和 xr 分别为 Pl 和 Pr 到相机成像面边界的距离,则点 P 在左右相机中的视差 d 为:

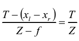
假设 Pl 和 Pr 两点之间的距离为 s,T 为左右两相机之间的基线距离,则由上图可知距离 s 为:

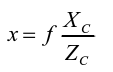
由三角形相似原理可得:

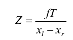
其中,f 为相机的焦距,Z 为空间点 P 到两个相机基线的距离,则解得距离 Z 为:

综上可知,对于空间中任意一点 P,都可以计算出相应的视差 d,视差 d 根据 P 点位置的不同而大小不同,即可形成视差图,由式 2-6 可知,若已知两相机之间的距离 T和相机焦距 f,即可通过视差图求得图像的深度图和世界坐标系下的三维坐标,而从二维平面的成像图像到三维世界的场景,两者之间存在着多种坐标系与映射关系。

2 双目视觉中的坐标系与转换关系

       在双目视觉成像模型中涉及多个坐标系,分别有:像素坐标系、图像坐标系、相机坐标系以及世界坐标系。在得到相机内外惨之后,通过不同坐标系之间的转换关系即可将物体从相机成像的二维平面恢复到三维空间中,得到其位置信息。

2.1  像素坐标系和图像坐标系

      像素坐标系和图像坐标系都在相机成像平面上,不一样的是两种坐标系的原点和度量单位,如下图所示。像素坐标系的原点在图像左上角,即点 Ouv,坐标单位为像素(pixel);而图像坐标系的原点为相机中心与成像平面的交点,即成像平面的中点 O(u0,v0),坐标单位是 mm,属于物理单位。

假设像素坐标系原点 O(u0,v0)在图像坐标系中的坐标为(u0,v0),像素在 x 轴、y 轴上对应的物理尺寸为 dx、dy,即 1pixel=dx mm=dy mm。则像素坐标系和图像坐标系之间的转换关系如下:

转换为矩阵和向量形式,也可以表示为:

2.2 相机坐标系

      相机坐标系即以相机光心为原点所建立的坐标系,X 轴与 Y 轴分别与图像坐标系的x 轴与 y 轴平行,且方向一致,Z 轴相机的光轴,可通过右手坐标系规则确定,如下图所示:

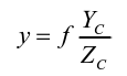
其中直角坐标系 C0-Xc Yc Zc 为相机坐标系,Zc 轴与图像坐标系平面垂直,由于图像坐标系和相机坐标系平行,则两坐标系原点 Oxy 和 C0 之间连线即相机的焦距 f。从相机坐标系到图像坐标系,属于透视投影关系。假设相机坐标系中一点 P(Xc Yc Zc),如下图所示。

由三角形相似原理可知:

则图像坐标系点 p(x,y)与相机坐标系点 P(Xc Yc Zc)的转换关系为:

用矩阵和向量形式也可以表示为:

2.3  世界坐标系

       世界坐标系是实际物体所在坐标系,根据物体每一像素的三维坐标点恢复物体的三维结构,物体可以在所建坐标系自由移动,没有确定的位置,通常为了简化计算,令图像左下角为世界坐标系原点,单位为 mm。从世界坐标系变换到相机坐标系属于刚体变换,如下图所示。

其中,R 表示旋转矩阵,T 表示偏移向量,则世界坐标系点 P(XW,YW,ZW)在相机坐标系中的坐标为:

进一步简化得:

因此,在不考虑畸变的情况下,空间中任意一点从世界坐标系转换到像素坐标系,需要经过如下图所示变换。

则空间中任一点 P(XW,YW,ZW)从世界坐标系转换到像素坐标系可表示为:

其中,fx 和 fy 所在的矩阵为相机内参,R 和 T 所在矩阵为相机外参,通过相机标定即可求得。


http://chatgpt.dhexx.cn/article/fxjt540O.shtml

相关文章

关于双目立体视觉的一些总结(一)

由于项目和毕设的需要,最近在做一些立体视觉的东西,总算是把立体视觉建立起来了,中途查了很多相关资料,这里做一个总结。 1.简介: 双目视觉是模拟人类视觉原理,使用计算机被动感知距离的方法。从两个或者…

双目视觉定位方案设计

双目视觉定位总体方案设计 主要步骤说明: 1)双目相机标定,获取左右摄像头内参、外参,得到图像坐标到世界坐标的映射模型。 2)图像预处理,根据标定得到畸变参数对采集到的图像去畸变,根据测试图…

双目立体视觉概述

导读 为什么非得用双目相机才能得到深度? 双目立体视觉深度相机的工作流程 双目立体视觉深度相机详细工作原理 理想双目相机成像模型 极线约束 图像矫正技术 基于滑动窗口的图像匹配 基于能量优化的图像匹配 双目立体视觉深度相机的优缺点 ------------------------…

白学立体视觉(1): 双目视觉

文章目录 前言什么是双目视觉?双目视觉的应用总结 前言 小伙伴们,大家好,以前学习了新的知识,一段时间之后便忘得差不多了,经常被他人嘲讽: 你真是白学xxx了!。是啊,我确实是白学了…

(一) 双目立体视觉介绍

文章目录 1 针孔相机模型2.双目相机模型3.立体校正(共面行对准、极线校正)3.1极线约束3.2Bouguet算法3.3OpenCV API 介绍 4. 立体匹配与视差图5.深度图5.1 基础介绍5.2OpenCV API 6.双目测距精度分析7.总结 1 针孔相机模型 如基本相机模型及参数中介绍的,首先回忆一…

【技术流派】教你提高双目立体视觉系统的精度!

开源代码免费获取,欢迎关注我的GitHub: https://github.com/ethan-li-coding 双目立体视觉(Binocular Stereo Vision)是机器视觉的一种重要形式,它是基于视差原理并利用成像设备从不同的位置获取被测物体的两幅图像&am…

来聊聊双目视觉的基础知识(视察深度、标定、立体匹配)

点击上方“AI算法修炼营”,选择“星标”公众号 精选作品,第一时间送达 1 双目视觉的视差与深度 人类具有一双眼睛,对同一目标可以形成视差,因而能清晰地感知到三维世界。因此,计算机的一双眼睛通常用双目视觉来实现&am…

双目视觉(三)立体匹配算法

系列文章: 双目视觉(一)双目视觉系统双目视觉(二)双目匹配的困难和评判标准双目视觉(三)立体匹配算法双目视觉(四)匹配代价双目视觉(五)立体匹配…

双目视觉 1 双目视觉的原理

首先我们讲解一下双目视觉中,我们只有两张二维的图片,我们的目的就是通过这两张二位的图片来构建出一个三维的模型,这就要求我们要通过两张图,推算出来一个图片没有展示出来的深度。深度的计算的原理如下 图片中C1和C2分别对应着我…

单目视觉>双目视觉>RGBD比较

目前,视觉SLAM(SLAM是“Simultaneous Localization And Mapping”的缩写,可译为同步定位与建图)可分为单目、双目(多目)、RGBD这三类,另还有鱼眼、全景等特殊相机,但目前在研究和产品中还属于少数。从实现难…

双目视觉原理(万字总结,包含Halcon代码)

双目视觉原理 1. 双目视觉的视差与深度1.1 总览2. 视差原理 2. 双目相机的坐标系2.1 针孔相机的模型2.2 四大坐标系1 像素坐标系(单位:像素(pixel))2 图像坐标系(单位:mm)3 相机坐标…

来聊聊双目视觉的基础知识(视觉深度、标定、立体匹配)

点击上方“3D视觉工坊”,选择“星标” 干货第一时间送达 1 双目视觉的视差与深度 人类具有一双眼睛,对同一目标可以形成视差,因而能清晰地感知到三维世界。因此,计算机的一双眼睛通常用双目视觉来实现,双目视觉就是通过…

单目视觉技术、双目视觉技术、多目视觉技术

计算机视觉、人工智能 视觉的研究过程:感知、认知、和控制 车载摄像头的要求: 看得远:提供了更充足的反应时间,直接提升了安全性。需要长焦距(D大,欲保持其他地方不变,就需要F增大)…

【双目视觉】双目立体匹配

一、双目立体匹配算法 在opencv中用的比较多的双目立体匹配算法有两种:BM和SGBM。SGBM是BM立体匹配算法的优化版,属于半全局匹配,相对于BM花的时间要更多,但效果优于BM。本文使用的是SGBM半全局匹配方式。 步骤: 1.打…

双目视觉原理及流程概述

双目原理 双目视觉是利用视差原理的一种视觉方法。 如图所示为空间中一点P在左右相机中的成像点Pleft=(Xleft,Yleft),Pright=(Xright,Yright)。将两相机固定在同一平面上,则点P在Y方向的坐标是相同的,即Yleft = Yright =Y。根据三角原理,可得: 视差被定义为相同点在左…

双目视觉(一)双目视觉系统

系列文章: 双目视觉(一)双目视觉系统双目视觉(二)双目匹配的困难和评判标准双目视觉(三)立体匹配算法双目视觉(四)匹配代价双目视觉(五)立体匹配…

双目视觉简介

hi 小伙伴们,人啊,很容易有惰性,很久不跟新了,不做笔记了,如今“良心发现”,毕业之后第一次更新博客。当然还是学习,整合分享给更多的人! 相信关注我博客和微信公众号的人很多都是做…

机器视觉——双目视觉的基础知识(视差深度、标定、立体匹配)

1、双目视觉的视差与深度 人类具有一双眼睛,对同一目标可以形成视差,因而能清晰地感知到三维世界。因此,计算机的一双眼睛通常用双目视觉来实现,双目视觉就是通过两个摄像头获得图像信息,计算出视差,从而使…

双目立体视觉(一) 基本原理和步骤

目录 一、双目立体视觉系统的四个基本步骤 二、各步骤原理 1、相机标定 2、立体校正 3、立体匹配 一、双目立体视觉系统的四个基本步骤 相机标定主要包含两部分内容: 单相机的内参标定和双目相机的外参标定,前者可以获得每个相机的焦距、光心、畸变系数等参数…

长连接和短链接的区别

长连接意味着进行一次数据传输后,不关闭连接,长期保持连通状态。如果两个应用程序之间有新的数据需要传输,则直接复用这个连接,无需再建立一个新的连接。就像下图这样。 它的优势是在多次通信中可以省去连接建立和关闭连接的开销…