大数据笔记--Spark机器学习(第一篇)

article/2025/10/19 15:49:50

目录

一、数据挖掘与机器学习

1、概念

2、人工智能

3、数据挖掘体系

二、机器学习

1、什么是机器学习

2、机器学习的应用

3、实现机器学习算法的工具与技术框架

三、Spark MLlib介绍

1、简介

2、MLlib基本数据类型

Ⅰ、概述

Ⅱ、本地向量

Ⅲ、向量标签的使用

Ⅳ、本地矩阵

Ⅴ、分布式矩阵的使用

3、MLlib统计量基础

Ⅰ、概述

Ⅱ、计算基本统计量

Ⅲ、计算相关系数

四、距离度量和相似度度量

1、概念

2、欧氏距离

3、曼哈顿距离

4、切比雪夫距离

五、最小二乘法

1、简介

2、原理及推导

3、案例练习

4、多元线性回归模型的细节说明


一、数据挖掘与机器学习

1、概念

数据挖掘:也成为data mining,它是一个很宽泛的概念,也是现在新兴的学科,目的在如何从海量数据中挖掘出有用的信息来

数据挖掘这个工作BI(商业智能)可以做,统计分析可以做,大数据技术可以做,市场运营也可以做,或者用excel分析数据,发现了一些有用的信息,然后这些信息可以指导你的业务business,这也属于数据挖掘。

机器学习:machine learning,是计算机科学与统计学交叉的学科,基本目标是学习一个x->y的函数(映射),来做分类、聚类或者回归的工作。现在好多数据挖掘的工作是通过机器学习提供的算法工具实现的,比如说PB级别的点击日志通过典型的机器学习流程可以得到一个预估模型,从而提高互联网广告的点击率和回报率;个性化推荐,还是通过机器学习的一些算法分析平台上的各种购买,浏览和收藏日志得到的一个推荐模型,然后预测你喜欢的商品,还有现在的抖音你点赞关注什么类型的视频,就会给你推荐相似类型的视频等等

深度学习:deep learning,机器学习里面现在比较火的一个topic,本身是神经网络算法的衍生,在图像,语言等富媒体的分类和识别上取得非常好的效果,所以各大研究机构和公司都投入大量的让人力做相关的研究和开发。

总结:数据挖掘是一个很宽泛的概念,数据挖掘经常用的方法来自于机器学习这门学科,深度学习也是来源于机器学习的算法模型,本质上是原来的神经网络。

2、人工智能

“人工智能”一词最初是在1956 年Dartmouth学会上提出的。从那以后,研究者们发展了众多理论和原理,人工智能的概念也随之扩展。人工智能(Artificial Intelligence),英文缩写为AI。它是研究、开发用于模拟、延伸和扩展人的智能的理论、方法、技术及应用系统的一门新的技术科学。人工智能是计算机科学的一个分支,它企图了解智能的实质,并生产出一种新的能以人类智能相似的方式做出反应的智能机器,该领域的研究包括机器人、语言识别、图像识别、自然语言处理和专家系统等。人工智能从诞生以来,理论和技术日益成熟,应用领域也不断扩大,可以设想,未来人工智能带来的科技产品,将会是人类智慧的“容器”。

人工智能是对人的意识、思维的信息过程的模拟。人工智能不是人的智能,但能像人那样思考、也可能超过人的智能。

3、数据挖掘体系

二、机器学习

1、什么是机器学习

机器学习是是一门多领域交叉学科。涉及概率论、统计学、逼近论、凸分析、算法复杂度理论等多门学科。机器学习的算法在数据挖掘里被大量使用。

此外它是人工智能的核心,是使计算机具有智能的根本途径,其应用遍及人工智能的各个领域。

2、机器学习的应用

①、市场分析和管理

比如:目标市场,客户关系管理(CRM),市场占有量分析,交叉销售,市场分割

1.比如做目标市场分析:

构建一系列的“客户群模型”,这些顾客具有相同特征:兴趣爱好,收入水平,消费习惯,等等。确定顾客的购买模式

CTR估计(广告点击率预测)比如通过逻辑回归来实现。

2.比如做交叉市场分析:

货物销售之间的相互联系和相关性,以及基于这种联系上的预测

②、风险分析和管理,风险预测,客户保持,保险业的改良,质量控制,竞争分析

1.比如做公司分析和风险管理:

财务计划——现金流转分析和预测

资源计划——总结和比较资源和花费

竞争分析——对竞争者和市场趋势的监控

对顾客按等级分组和基于等级的定价过程

针对上述的场景,可以通过聚类模型将整个数据样本划分为两类,从而找到低价值和高价值用户,进而完成客户关系的维护

对定价策略应用于竞争更激烈的市场中

保险公司对于保险费率的厘定

比如:

根据以往的历史数据建立回归模型,同回归模型可以实现预测

 

③、欺骗检测和异常模式的监测(孤立点)

欺诈行为检测和异常模式

1.比如对欺骗行为进行聚类和建模,并进行孤立点分析

2.汽车保险:相撞事件的分析

3.洗钱:发现可疑的货币交易行为

4.医疗保险:职业病人,医生或以及相关数据分析

5.电信:电话呼叫欺骗行为,根据呼叫目的地,持续事件,日或周呼叫次数,分析该模型发现与期待标准的偏差

6.零售产业:比如根据分析师估计有38%的零售额下降是由于雇员的不诚实行为造成的

7.反恐

④、文本挖掘

1.新闻组

2.电子邮件(垃圾邮件的过滤)可以通过贝叶斯来实现

3.文档归类

4.评论自动分析

5.垃圾信息过滤

6.网页自动分类等

⑤、天文学

 例如:JPL实验室和Palomar天文台层借助于数据挖掘工具

⑥、推荐系统

当当网的图书推荐

汽车之家的同类汽车推荐

淘宝的同类商品推荐

新浪的视频推荐

百度知道的问题推荐

社交推荐

职位推荐

⑦、智能博弈

棋谱学习

⑧、频繁模式挖掘

购物篮商品分析,典型案例:啤酒-尿布

⑨、模式识别

1.语音识别

2.图像识别

n 指纹、虹膜纹识别

n 脸像识别

n 车牌识别

n 动态图像识别

n 小波分析

3、实现机器学习算法的工具与技术框架

Matlab        R

Pyhton        SPSS

Eviews        Hadoop(Mahout)

Spark(MLlib)

三、Spark MLlib介绍

1、简介

MLlib是一个构建在Spark上的、专门针对大数据处理的并发式高速机器学习库,其特点是采用较为先进的迭代式内存存储的分析计算,使得数据的计算处理速度大大高于普通的数据处理引擎。

MLlib机器学习库还在不停地更新中,Apache的相关研究人员仍在不停地为其中添加更多的机器学习算法。目前MLlib中已经有通用的学习算法和工具类,包括统计、分类、回归、聚类、降维等。

MLlib采用Scala语言编写,Scala语言是运行在JVM上的一种函数式编程语言,特点就是可移植性强,“一次编写,到处运行”是其最重要的特点。借助于RDD数据统一输入格式,让用户可以在不同的IDE上编写数据处理程序,通过本地化测试后可以在略微修改运行参数后直接在集群上运行。对结果的获取更为可视化和直观,不会因为运行系统底层的不同而造成结果的差异与改变。

2、MLlib基本数据类型

Ⅰ、概述

RDD是MLlib专用的数据格式,它参考了Scala函数式编程思想,并大胆引入统计分析概念,将存储数据转化成向量和矩阵的形式进行存储和计算,这样将数据定量化表示,能更准确地整理和分析结果。

它支持多种数据类型,也支持部署在本地计算机的本地化格式

类型名称

释义

Local vector

本地向量集。主要向Spark提供一组可进行操作的数据集合

Labeled point

向量标签。让用户能够分类不同的数据集合

Local matrix

本地矩阵。将数据结合以矩阵形式存储在本地计算机中

Distributed matrix

分布式矩阵。将矩阵集合以矩阵形式存储在分布式计算机中

Ⅱ、本地向量

MLlib使用本地化存储类型是向量,这里向量主要有两类:稀疏性数据集密集型数据集

举例:

package cn.yang.vectorimport org.apache.spark.mllib.linalg.Vectorsobject Driver {def main(args:Array[String]):Unit={//--建立密集型向量//--dense可以将其理解为MLlib专用的一种集合形式,它与Array类似val vd=Vectors.dense(2,0,6)//println(vd)    //[2.0,0.0,6.0]//一参:size。spare方法是将给定的数据Array数据(9,5,2,7)分解成指定的size个部分进行处理,本例中是7个//二参:输入数据对应的下标,要求递增,并且最大值要小于等于size//三参:输入数据。本例中是Array(9,5,2,7)val vs=Vectors.sparse(7,Array(0,1,3,6),Array(9,5,2,7))println(vs(6))    //7.0}
}
package cn.yang.vectorimport org.apache.spark.mllib.linalg.Vectors
import org.apache.spark.SparkConf
import org.apache.spark.SparkContext
/*** 学习MLib的向量类型,后续有很多模型,建模时需要将数据封装成为向量类型来处理*/
object Driver01 {def main(args: Array[String]): Unit = {//通过传入指定个数的double参数创建向量//如果传入其他的数值类型参数,可以隐式转换为double类型val v1=Vectors.dense(2.5, 1.5,5.6)val v2=Vectors.dense(1,2,3)//可以通过下标的方式操作向量println(v1(0))println(v2)//重点掌握下面的方式来创建向量val v3 =Vectors.dense(Array[Double](1,2,3))val v4 = Vectors.dense(Array(1.1,2.1,3.3))//练习1:通过Spark处理vectors.txt。RDD[line:String]->RDD[Vector]val conf =new SparkConf().setMaster("local").setAppName("vector")val sc = new SparkContext(conf)val data = sc.textFile("D://data/ml/vectors.txt")val r1=data.map{line=>line.split(" ").map { num => num.toDouble }}.map{arr=>Vectors.dense(arr)}r1.foreach(println)}}

Ⅲ、向量标签的使用

向量标签用于对MLlib中机器学习算法的不同值做标记。例如分类问题中,可以将不同的数据集分成若干份,以整型数0、1、2……进行标记,即程序的编写者可以根据自己的需要对数据进行标记。

举例:

package cn.yang.vectorimport org.apache.spark.mllib.linalg.Vectors
import org.apache.spark.mllib.regression.LabeledPoint
import org.apache.spark.SparkConf
import org.apache.spark.SparkContext/*** 学习MLib的向量标签类型*/
object Driver02 {def main(args: Array[String]): Unit = {val v1 = Vectors.dense(2,3,1)//创建向量标签。①参:标签值(看作时因变量Y)②参:向量(看作是所有自变量组成的向量)//标签值要求的类型是Double,如果是其他的数值类型,会隐式转换成Doubleval lb1=LabeledPoint(10,v1)println(lb1.label)//获取标签值println(lb1.features)//练习:处理vectors.txt。前两列是自变量,第三列是因变量。要求完成转换:/***vectors.txt的数据* 2.1 3.2 1* 2.2 7.3 2* 1.1 5.1 1* 5.2 2.1 1*///RDD[line:String]->RDD[labeledPoint]val conf =new SparkConf().setMaster("local").setAppName("vector")val sc = new SparkContext(conf)val data = sc.textFile("D://data/ml/vectors.txt")val r1 = data.map{line=>val info=line.split(" ")//获取因变量val Y=info.last.toDouble//获取自变量数组val XArr=info.dropRight(1).map{num=>num.toDouble}LabeledPoint(Y,Vectors.dense(XArr))}r1.foreach(println)}}

Ⅳ、本地矩阵

大数据运算中,为了更好地提升计算效率,可以更多地使用矩阵运算进行数据处理。部署在单机中的本地矩阵就是一个很好的存储方法。

举一个简单的例子,例如一个数组Array(1,2,3,4,5,6),将其分为2行3列的矩阵:

package cn.yang.vectorimport org.apache.spark.mllib.linalg.Matricesobject Driver {def main(args: Array[String]): Unit = {val m1=Matrices.dense(2,3, Array(1,2,3,4,5,6))println(m1)}
}
结果:
1.0  3.0  5.0  
2.0  4.0  6.0 

从结果来看,数组Array(1,2,3,4,5,6)被重组成一个新的2行3列的矩阵。Matrices.dense方法是矩阵重组的调用方法,第一个参数是新矩阵行数,第二个参数是新矩阵的列数,第三个参数为传入的数据值。

Ⅴ、分布式矩阵的使用

一般来说,采用分布式矩阵进行存储的情况都是数据量非常大的情况

①、行矩阵

行矩阵是最基本的一种矩阵类型。行矩阵是以行作为基本方向的矩阵存储格式,列的作用相对较小。可以将其理解为行矩阵是一个巨大的特征向量的集合。每一行就是一个具有相同格式的向量数据,且每一行的向量内容都可以单独取出来进行操作。

数据:

1 2 3

4 5 6

代码:

import org.apache.spark.mllib.linalg.distributed.RowMatrix
object Driver{def main(args: Array[String]): Unit = {val conf=new SparkConf().setMaster("local").setAppName("vd")val sc=new SparkContext(conf)val data=sc.textFile("d://ml/rowMatrix.txt")//转成RDD,并且行数据的格式是Vectorval parseData=data.map(_.split(" ").map(_.toDouble)).map(array=>Vectors.dense(array))//读入行矩阵 val rm=new RowMatrix(parseData)//打印行数println(rm.numRows)//打印列数println(rm.numCols())}
}

②、带有行索引的行矩阵

单纯的行矩阵对其内容无法进行直接显示,当然可以通过调用其方法显示内部数据内容。有时候,为了方便在系统调试的过程中对行矩阵的内容进行观察和显示,MLlib提供了另外一个矩阵形式,即带有行索引的行矩阵。

数据:

1 2 3

4 5 6

代码:

package cn.yang.vectorimport org.apache.spark.mllib.linalg.Matrices
import org.apache.spark.SparkConf
import org.apache.spark.SparkContext
import org.apache.spark.mllib.linalg.distributed.IndexedRow
import org.apache.spark.mllib.linalg.Vectors
import org.apache.spark.mllib.linalg.distributed.IndexedRowMatrixobject Driver {def main(args: Array[String]): Unit = {val conf = new SparkConf().setMaster("local").setAppName("vector")val sc = new SparkContext(conf)val data = sc.textFile("D://data/ml/rowMatrix.txt")var index=0//转成RDD,并且行数据的格式是Vectorval parseData=data.map(_.split(" ").map(_.toDouble)).map(array=>Vectors.dense(array)).map{vector=>index+=1new IndexedRow(index,vector)}val rm = new IndexedRowMatrix(parseData)//打印矩阵所有的行数据rm.rows.foreach {println}//打印指定索引的行数据rm.rows.filter { x => x.index==1 }.foreach { x => print(x) }}}

3、MLlib统计量基础

Ⅰ、概述

数理统计中,基本统计量包括数据的平均值、方差,这是一组求数据统计量的基本内容。在MLlib中,统计量的计算主要用到Statistics类库。

类型名称

释义

colStats

以列为基础计算统计量的基本数据

corr

对两个数据集进行相关系数计算,根据参量的不同,返回值格式有差异

Ⅱ、计算基本统计量

主要调用colStats方法,接受的是RDD类型数据,但是需要注意,它工作和计算是以列为基础进行计算,调用不同方法可获得不同的统计计量值。

方法名称

释义

count

行内数据个数

Max

最大值

Min

最小值

Mean

均值

normL1

曼哈顿距离

normL2

欧几里得距离

numNonzeros

不包含0值的个数

variance

标准差

练习一:计算基本统计量

package cn.yang.vectorimport org.apache.spark.SparkConf
import org.apache.spark.SparkContext
import org.apache.spark.mllib.linalg.Vectors
import org.apache.spark.mllib.stat.Statisticsobject Driver {def main(args: Array[String]): Unit = {val conf=new SparkConf().setMaster("local").setAppName("testSummary")val sc=new SparkContext(conf)val rdd=sc.textFile("d://data/ml/testSummary.txt").map(_.split(" ").map(_.toDouble)).map(array=>Vectors.dense(array)) //返回一组数据的各项基本指标val summary=Statistics.colStats(rdd)println(summary.mean)//计算均值println(summary.variance)//计算方差println(summary.max)//最大值println(summary.min)//最小值println(summary.count)//行数}
}
结果:
[3.0]
[2.5]
[5.0]
[1.0]
5

练习二:距离计算

除了一些基本统计量的计算,此方法中还包括两种距离的计算,分别是normL1和normL2,代表着曼哈段距离和欧几里得距离。这两种距离主要是用以表达数据集内部数据长度的常用算法。

//接上面代码
println(summary.normL1)//计算曼哈顿距离 [15.0]
println(summary.normL2)//计算欧式距离 [7.416198487095663]

曼哈顿距离:

曼哈段距离用来标明两个点在标准坐标系上的绝对轴距总和。其公式如下:

x=x1+x2+x3+…+xn

Ⅲ、计算相关系数

相关系数是一种用来反映变量之间相关关系密切程度的统计指标,在现实中一般用于对两组数据的拟合和相似程度进行定量化分析。常用的一般是皮尔逊相关系数,MLlib中默认的相关系数求法也是使用皮尔逊相关系数法。

练习:计算皮尔逊相关系数

数据:

testCorrX.txt

1 2 3 4 5

testCorrY.txt

2 4 7 9 10

package cn.yang.vectorimport org.apache.spark.SparkConf
import org.apache.spark.SparkContext
import org.apache.spark.mllib.stat.Statisticsobject Driver {def main(args: Array[String]): Unit = {val conf=new SparkConf().setMaster("local").setAppName("testCorrect")val sc=new SparkContext(conf)val rddX=sc.textFile("d://data/ml/testCorrX.txt").flatMap(_.split(" ").map(_.toDouble))val rddY=sc.textFile("d://data/ml/testCorrY.txt").flatMap(_.split(" ").map(_.toDouble))val correlation:Double=Statistics.corr(rddX,rddY)//计算两组数据之间的相关系数println(correlation)//0.9877569118027772}
}

四、距离度量和相似度度量

1、概念

在数据分析和数据挖掘的过程中,我们经常需要知道个体间差异的大小,进而评价个体的相似性和类别。而如何来度量数据之间的差异则成为关键,分类算法聚类算法的本质都是基于某种度量(距离度量和相似度度量)来实现的。

距离度量:用于衡量个体在空间上存在的距离,距离越远说明个体间的差异越大。

1.欧氏距离

2.明可夫斯基距离

3.曼哈顿距离

4.切比雪夫距离

5.马氏距离

相似度度量:

1.向量空间余弦相似度(Cosine Similarity)

2.皮尔森相关系数(Pearson Correlation Coefficient)

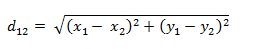
2、欧氏距离

在二维和三维空间中的欧氏距离的就是两点之间的距离。

二维空间的欧氏距离:

二维平面上两点a(x1,y1)与b(x2,y2)间的欧氏距离:

三维空间两点a(x1,y1,z1)与b(x2,y2,z2)间的欧氏距离:

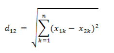
两个n维向量a(x11,x12,…,x1n)与 b(x21,x22,…,x2n)间的欧氏距离:

也可以用表示成向量运算的形式:

3、曼哈顿距离

可以理解为出租车距离,出租车到目的地的最短距离。

红线代表曼哈顿距离绿色代表欧氏距离,也就是直线距离;

蓝色黄色代表等价的曼哈顿距离

曼哈顿距离--两点在南北方向上的距离加上在东西方向上的距离,即:

d(i,j)=|xi-xj|+|yi-yj|

 例如:在平面上。坐标(x1,y1)的i点与坐标(x2,y2)的j点的曼哈顿距离为:

d(i,j)=|x1-x2|+|y1-y2|

package cn.yang.vectorobject Driver {def main(args: Array[String]): Unit = {val p1=Array(2,1,5)val p2=Array(5,10,3)//计算出两个点之间的曼哈顿距离val p1p2=p1 zip p2 //拉链p1p2.foreach(println)/*** (2,5)* (1,10)* (5,3)*/val dis1=p1p2.map{x=>Math.abs(x._1-x._2)}.sumprintln(dis1)//14}
}

4、切比雪夫距离

切比雪夫距离,我们可以理解为国王到目的地走的最少步数。

最少步数总是max(|x2-x1|,|y2-y1|)步 

//计算出两个点之间的切比雪夫距离val dis2=p1p2.map{x=>Math.abs(x._1-x._2)}.maxprintln(dis2)//9

五、最小二乘法

1、简介

最小二乘法(又称最小平方法)是一种数学优化技术。它通过最小化误差的平方和寻找数据的最佳函数匹配。利用最小二乘法可以简便地求得未知的数据,并使得这些求得的数据与实际数据之间误差的平方和为最小。最小二乘法还可用于曲线拟合。其他一些优化问题也可通过最小化能量或最大化熵用最小二乘法来表达。

2、原理及推导

我们来看一下最简单的线性情况。

对于某个数据集(xi, yi) (i=0,1,…,n),我们需要找到一条趋势线(图中的虚线),能够表达出数据集(xi, yi)这些点所指向的方向。

我们先用一个直线函数表示这条趋势线:

Y=KX+b

数据集的点一定位于这条趋势线的上下两侧,或者与趋势线重合。我们把某个样本点xi到这条趋势线的垂直距离定义为残差ξi,那么过这一点与趋势线平行的样本函数为yi=kxi+b+ξi。如果这个样本点位于趋势线的上侧,在残差ξi>0,反之则ξi<0,如果样本点位于趋势线上则ξi=0。

现在,我们求解这条趋势线。因为是线性函数,所以也就是求解k、b这两个值。

下面我们将带有残差的直线函数修改为下面的形式:

ξi=yi-kxi-b

因为残差ξi有正负号的问题,所以我们统一用平方和来计算,即残差平方和:

Q=\sum_{i=1}^{n}\xi _{i}^{2}=\sum_{i=1}^{n}(y_{i}-kx_{i}-b)^{2}

很明显这个二次函数是一个凸函数(单峰函数),我们接下来对该函数求极值,即它的一阶导数等于0。

\frac{\partial Q}{\partial k}=2\sum_{i=1}^{n}(-x_{i})(y_{i}-kx_{i}-b)=-2\sum_{i=1}^{n}(x_{i}y_{i}=kx_{i}^{2}-bx_{i})=0

\frac{\partial Q}{\partial b}=2\sum_{i=1}^{n}(-x_{i})(y_{i}-kx_{i}-b)=-2(\sum_{i=1}^{n}y_{i}-\sum_{i=1}^{n}kx_{i}-nb)=0

接下来,将两个方程联立,我们令:

n\bar{x}=\sum_{i=1}^{n}x_{i};n\bar{y}=\sum_{i=1}^{n}y_{i}

解得a、b的值为:

k=\frac{\sum_{i=1}^{n}x_{i}y_{i}-n\bar{x}\bar{y}}{\sum_{i=1}^{n}x_{i}^{2}-n\bar{x}^{2}}

b=\bar{y}-k\bar{x}

上式中,x与y都已知,所以可求得k,b。

3、案例练习

某种商品的需求量(y,吨)、价格(x1,元/千克)和消费者收入(x2,元)观测值如下表所示。

y=β1X1+β2X2+β0  

y

x1

x2   

100

5

1000

75

7

600

80

6

1200

70

6

500

50

8

30

65

7

400

90

5

1300

100

4

1100

110

3

1300

60

9

300

为了能够通过Mllib建模,我们首先需要对数据格式进行一定的处理,比如如下所示:

100|5 1000

75|7 600

80|6 1200

70|6 500

50|8 30

65|7 400

90|5 1300

100|4 1100

110|3 1300

60|9 300

预测:X1=10 X2=400 Y=?

思路:

基于已收集的数据,建立目标方程:

y=β1X1+β2X2+β0  

然后通过最小二乘法求解出目标方程的最优系数解(β0β1β2  )

最后通过此方程完成预测:

代码:

package cn.yang.lrimport org.apache.spark.SparkConf
import org.apache.spark.SparkContext
import org.apache.spark.sql.SQLContext
import org.apache.spark.ml.feature.VectorAssembler
import org.apache.spark.ml.regression.LinearRegression
/*** 本案例是建立多元线性回归模型,用于预测商品的需求量* 模型方程:Y=β1X1+β2X2+β0* 底层通过最小二乘解出最优的系数解,从而利用此方程完成数据的预测*/
object Driver {def main(args: Array[String]): Unit = {val conf = new SparkConf().setMaster("local").setAppName("lr")val sc = new SparkContext(conf)//创建SaprkSql上下文对象,用于创建或转换DataFrameval sqc = new SQLContext(sc)val data = sc.textFile("D://data/ml/lritem.txt")//第一步:RDD[line:String]->RDD[(x1,x2,y)]val r1 = data.map{line =>val info =line.split("\\|")val Y=info(0).toDoubleval X1=info(1).split(" ")(0).toDoubleval X2=info(1).split(" ")(1).toDouble(X1,X2,Y)}// r1.foreach(println)//第二步,为了满足建模需要,RDD[(X1,X2,Y)]->DataFrame(X1,X2,Y) 数据表类型也叫数据框//RDD转成DataFrame的要求:RDD中每个元素必须是元组类型,而且DataFrame的列的个数以及顺序要和元组一致val df1 = sqc.createDataFrame(r1).toDF("X1","X2","Y")//df1.show()//第三步:DataFrame(X1,X2,Y)->DataFrame(Vector(X1,X2),Y)这是模型最终要的数据结构//new VectorAssembler()向量转换工具类//setInputCols:指定自变量的列名//setOutputCol:为所有的自变量起一个别名,后续建模可以通过这个别名找到所有自变量的列val vectorAss= new VectorAssembler().setInputCols(Array("X1","X2")).setOutputCol("features")val df1Vectors=vectorAss.transform(df1)//第四步:通过Saprk的MLlib库建立多元回归模型//setFeaturesCol:通过别名指定哪些列是自变量列//setLabelCol:指定因变量的列名//setFitIntercept(true):表示计算截距项系数。截距项系数可以不计算,但自变量的系数必须要计算//fit:代入数据建模val model = new LinearRegression().setFeaturesCol("features").setLabelCol("Y").setFitIntercept(true).fit(df1Vectors)//获取自变量系数值val coef = model.coefficients   //获取截距项系数值val intercept= model.interceptprintln(coef)println(intercept)//Y=-6.497X1+0.016X2+106.369//第五步:通过模型实现预测//回代样本集val predictResult=model.transform(df1Vectors)predictResult.show//给定一组数据 X1=10 X2=500 利用模型预测出Y=?//RDD[(X1,X2,Y)]->DataFrame("X1","X2","Y")->DataFrame(Vector(X1,X2),Y)->model.transform 完成预测//因为模型预测是根据自变量做预测,和Y没关系,所以封装数据时,Y可以取任意值。val testRDD = sc.makeRDD(List((10,500,0)))val df2 = sqc.createDataFrame(testRDD).toDF("X1","X2","Y")val df1Vectors1=vectorAss.transform(df2)val predictResult1=model.transform(df1Vectors1)predictResult1.show//第六步:模型的检验//获取模型的多元R2值,这个指标可以评估模型的优良性,最大值1,越趋近1,表示模型对于数据的拟合越好//在生产环境下,R2在0.55以上都可以接受val R2 = model.summary.r2println(R2)}
}

结果:

4、多元线性回归模型的细节说明

①、多元,可以理解为建立的目标方程中有多个(大于1个)自变量

比如Y=β1X1+β2X2+β0

②、一元,可以理解为建立的目标方程中只有1个自变量

比如Y=β1X1+β0

③、线性,可以理解为建立的目标方程式线性方程

比如直线方程,平面方程,超平面方程都属于线性方程

直线方程:Y=β1X1+β0

平面方程:Y=β1X1+β2X2+β0

在更高维(超过三维)中的超平面方程:Y=β1X1+β2X2+...+βnXn+β0

可以的得到一个结论:线性方程的形式式已知的(固定的)

④、非线性,可以理解为建立的目标方程是非线性方程,比如圆、椭圆方程等

一般习惯是是使用线性方程来集合数据,因为线性方程的形式固定,容易求解,

而非线性方程形式不固定,很难求解

⑤、回归模型,可以理解通过这种模型,可以解决一类问题。回归模型用于解决预测问题。

在机器学习中的模型有:

回归模型,正则化模型,决策树模型,集成模型,聚类模型,分类(判别)模型

SVM模型,贝叶斯模型,降维模型,图模型,关联规则模型,推荐模型,

神经网络模型,深度学习模型

⑥、算法,可以理解为通过某种算法求解模型方程中的系数

最小二乘法,梯度下降法,路径积分法,模拟退火算法...


http://chatgpt.dhexx.cn/article/dNNXNBhb.shtml

相关文章

iis 重启 (三种方法)

分享一下我老师大神的人工智能教程&#xff01;零基础&#xff0c;通俗易懂&#xff01;http://blog.csdn.net/jiangjunshow 也欢迎大家转载本篇文章。分享知识&#xff0c;造福人民&#xff0c;实现我们中华民族伟大复兴&#xff01; 1 1、界面操作 打开“控制面板”->“管…

IIS中应用程序池自动停止,重启报错

阅文时长| 0.2分钟字数统计| 329.6字符主要内容| 1、引言&背景 2、解决方案 3、声明与参考资料 『IIS中应用程序池自动停止&#xff0c;重启报错』编写人| SCscHero 编写时间| 2022/1/3 PM12:32文章类型| 系列完成度| 已完成座右铭每一个伟大的事业&#xff0c;都有一个微不…

服务器上系统怎么启动iis,IIS服务器如何重新启动

IIS的设计目的是建立一套集成的服务器服务&#xff0c;用以支持HTTP&#xff0c;FTP和SMTP&#xff0c;它能够提供快速且集成了现有产品&#xff0c;同时可扩展的Internet服务器&#xff0c;而最近就有很多小伙伴问小编IIS服务器如何重新启动&#xff0c;其实很简单&#xff0c…

解决:IIS 假死,运行一段时间服务器上所有网站打不开,必须要重启服务器才行,重启IIS都没用。怎么解决,解决方案

tip:我服务器问题是 每个5-6天后&#xff0c;服务器上的所有网站都不能访问&#xff0c;重启IIS无用&#xff0c;必须重启服务器&#xff01; 后&#xff0c;请教周华伟周经理后&#xff0c;找到解决方案如下&#xff1a; 第一原因&#xff1a; 这是程序池造成的&#xff0c…

iis服务器 关闭自动启动,设置IIS服务器定时自动重启的方法

最近&#xff0c;有一朋友的IIS服务器老是出现问题&#xff0c;运行一段时间下来就会出现访问服务器上的网站时提示数据库连接出错&#xff0c;然后重启IIS后网站又能正常访问了&#xff0c;实在找不出是什么原因导致了这个问题。不过最终我想到了一个笨办法&#xff0c;就是让…

C#实现对IIS网站和应用程序池实时监测(网站停止后自动重启)

一、需求分析 在我们的日常运维中,可能会遇到业务网站在运行一段时间后由于某些不确定因素而停止运行,导致业务功能受影响,而此时只要我们重启服务又能够正常运行了,在我们还没有完全排查从根本上解决问题前,需要一个临时的方法来救场(即:当发现业务网站停止后能够自动重…

bat脚本重启IIS中的网站

bat脚本实现重启IIS中的网站 echo off %1 mshta vbscript:CreateObject("Shell.Application").ShellExecute("cmd.exe","/c %~s0 ::","","runas",1)(window.close)&&exit cd /d C:\Windows\System32\inetsrv\ tas…

Windows服务器设置IIS定时重启的方法,带图详解

我们在使用Windows2008下IIS服务器时会经常出现资源耗尽的现象&#xff0c;运行一段时间下来就会出现访问服务器上的网站时提示数据库连接出错&#xff0c;重启IIS后网站又能正常访问了&#xff0c;这个问题可能困扰了很多站长朋友。 一位做网站的笔友经过不断的实践找到了一个…

【服务器】iis的重启服务器、重启iis、回收(重启)线程池、刷新网站

windows自带iis&#xff0c;如果没有的也可以控制面板中启用 1、在开始按钮点击右键&#xff0c;选择控制面板。 2、接着我们从控制面板选择“程序”。 3、然后选择“启用或关闭windows功能”。 4、从列表中选择Internet Infomation Services。 5、并且把相应的功能条…

【window】重启IIS服务

在工作站计算机中使用命令窗口重启IIS一、首先打开cmd命令窗口 二、在cmd窗口中输入iisreset /restart——注 /前有空格 然后就能重启IIS

关于IIS重启的几种方法

关于IIS重启的几种方法 今天看文档&#xff0c;正好看到了有各种情况下&#xff0c;对于云端和本地互相同步更新过程中&#xff0c;经常需要重启IIS服务。自己一直就掌握一种重启方法&#xff0c;想看看一共有几种常用的&#xff0c;遂百度之。经过试验&#xff0c;将经验总结如…

Matlab常用图像处理命令108例(八)

文章和代码以及样例图片等相关资源&#xff0c;已经归档至【Github仓库&#xff1a;digital-image-processing-matlab】或者公众号【AIShareLab】回复 数字图像处理 也可获取。 文章目录 98.roifill99.roifilt2100.roipoly101.std2102.subimage103.truesize104.uint8105.uint16…

chrome浏览器跨域设置(版本号108之后的跨域设置)

1、首先在chrome浏览器安装目录下复制chrome.exe&#xff0c;生成一个新的命名为chrome-cross.exe 注意&#xff1a;为什么要在目录下复制一个新的&#xff1f;是因为如果名字相同&#xff0c;可能会导致设置好的跨域浏览器打开后跟原来的chrome.exe是同一个浏览器&#xff0c…

Leetcode——第108题

题目意思&#xff1a;将排序后的数组转换成二叉查找树。 二叉查找树的定义&#xff1a; &#xff08;1&#xff09;若它的左子树不空&#xff0c;则其左子树上任意结点的关键字的值都小于根节点关键字的值。 &#xff08;2&#xff09;若它的右子树不空&#xff0c;则其右子…

想进阿里的108道Java面试题

很多同学想进大厂&#xff0c;特别是刚毕业的&#xff0c;以及工作年限短的&#xff0c;不要有任何侥幸心理&#xff0c;踏踏实实的把基础弄扎实了&#xff0c;这是你通往高薪之路的唯一正确姿势。 好了&#xff0c;不多说了&#xff0c;直接上正菜。 01 Mysql 1. 数据库三范…

《缠中说禅108课》20:缠中说禅走势中枢级别扩张及第三类买卖点

前面已经很明确地指出&#xff0c;缠中说禅走势中枢由前三个连续次级别走势类型的重叠部分确定&#xff0c;其后的走势有两种情况&#xff1a;一、该走势中枢的延伸。二、产生新的同级别走势中枢。而在趋势里&#xff0c;同级别的前后缠中说禅走势中枢是不能有任何重叠的&#…

108.【RabbitsMQ】

RabbitMQ (一)、中间件简述1.中间件概述(1).什么是中间件(2).为什么使用中间件?(3).中间件的特点(4).在项目中什么时候使用中间件技术 (成本!!) 2. 中间件技术及架构的概述(1).中间件全家福(2).学习中间件的方式和技巧(3).单体架构(4).分布式架构 3.基于消息中间件的分布式系统…

《缠中说禅108课》12:一吻何能消魂?

就算是看 AV&#xff0c;最终也是为了实战。上章说了那么多关于“吻”的知识&#xff0c;目的是为了干而不看&#xff0c;光看不干&#xff0c;那不成了阴九幽&#xff1f;AV 看多了而不实践&#xff0c;绝对有损健康。但干&#xff0c;马上要遇到的就是风险问题。任何一个位置…

《缠中说禅108课》108:何谓底部?从月线看中期走势演化

何谓底部&#xff1f;这里给出精确的定义&#xff0c;以后就不会糊涂一片了。底部都是分级别的&#xff0c;如果站在精确走势类型的角度&#xff0c;那么第一类买点出现后一知道该买点所引发的中枢第一次走出第三类买卖点前&#xff0c;都可以看成底部构造的过程。只不过如果是…

嵌入式分享合集108

一、PLC串口通讯的基本知识 这几天弄plc都要神经了 尤其西门子的 太烦了 s7200cn s7200smart s1200 编程软件都不一样~~服 &#xff0c; 然后接线也很烦 好了 正题 电气作业人员在使用PLC的时候会接触到很多的通讯协议以及通讯接口 什么是串口通讯&#xff1f; 串口通讯的使…