一、图像质量评价数据库
常用的评价数据库有LIVE、CSIQ、TID2008/2013、MICT、IVC、A57、WIQ等,包含参考图像以及对应失真图像的主观评价分数。
- LIVE:由德克萨斯大学的图像与视频工程实验室(Laboratory for Image and Video Engineering,LIVE)开发,包含不同大小的29个参考图像和779个失真图像,格式为BMP,失真包括高斯模糊、加性高斯白噪声、jpeg压缩、jpeg2000压缩、rayleigh衰减信道失真等。
- CSIQ:由俄克拉荷马州立大学的计算感知与图像质量实验室(Computational Perception and Image Quality lab)开发,包含512*512大小的png格式的30个参考图像和866个失真图像,失真包括jpeg/jpeg2000压缩、加性高斯白噪声、加性高斯粉噪声、高斯模糊、对比度降低等。
- TID:由坦佩雷理工大学开发,2008包含384*512大小的bmp格式的25个参考图像和17000个失真图像,共包含17种失真,每隔十帧图像包含4种失真。17种失真分别为加性高斯噪声、加性噪声、空间相关噪声、掩膜噪声、高频噪声、脉冲噪声、量化噪声、非偏心模式噪声、高斯模糊、图像去噪、jpeg/jpeg2000压缩、jpeg/jpeg2000传输、局部块失真、亮度偏移、对比度变化。2013把失真图像增加到了3000张,失真类型增加了饱和度改变、称性高斯噪声、舒适噪声、噪声图像的有损压缩、带抖动的图像颜色量化、色差、稀疏采样与重构。
- MICT:由富山大学的媒体信息与传播技术实验室开发,包含512*768大小的bmp格式的14个参考图像和168个失真图像,只有jpeg/jpeg200压缩两种失真。
- IVC:由IRCCyN开发,包含512*512大小的10张参考图像和185张失真图像。共有jpeg/jpeg2000压缩、局部自适应分辨率编码、高斯模糊等失真。
- A57:由康奈尔大学的视觉通信实验室开发,包含512*512大小的bmp格式的3个参考图像和54个失真图像。失真包括jpeg/jpeg2000压缩、加性高斯白噪声、高斯模糊、5级离散小波变换的LH子代均匀量化等。
- WIQ:由布京理工学院的无线通信小组开发,包括512*512大小的bmp格式的7张参考图像和80张失真图像,主要用来评价无线传输的图像质量。
前四个数据库含有图像较多,应用最广泛。
二、图像质量的有参考评价
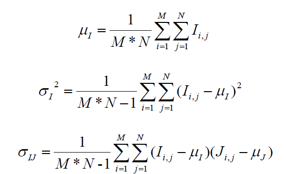
1.SSIM结构相似度:
对M*N大小的参考图像和失真图像I、J,其亮度μ 、对比度σ2、结构相似程度σIJ计算如下:

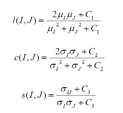
定义亮度对比函数l、对比度对比函数c、结构对比函数s如下:

最后SSIM分数为:

2.FSIM特征相似度
该算法采用相位一致性描述图像中的结构,并用图像的梯度来描述对比度的失真。利用两个图像相位一致性和梯度相似性(相似性与SSIM中的对比函数l、s相似)求得局部质量图,并利用相位一致性图作为权值加权得到FSIM。
3.GSM梯度相似度
该算法结合嫉妒相似度和亮度相似度进行评价。其中,在对亮度变化进行描述的时候采用归一化后的像素差。最后的分数为两者的加权和。
4.GMSD梯度大小相似偏差
该算法首先根据梯度计算图像的局部质量图,采用标准差衡量局部质量图局部质量图的变化,以判断图像的整体质量。
三、图像质量的无参考评价
<一>通用型
1.BIQI:
该算法首先根据从图像提取出的自然场景统计(NSS)特性判断图像中存在的失真以及对应失真的概率,并利用不同失真的质量评价算法计算响应的质量分数,最后通过概率加权得到最后的质量分数。该算法考虑了五中失真包括jpeg/jpeg2000压缩、白噪声、高斯模糊、快速衰减。最后的分数BIQI表示为五种失真的概率与对应质量分数的乘积之和。
2.BRISQUE:
该算法通过对图像局部像素归一化(MSCN)后通过拟合高斯分布模型(GGD)得36个参数,最后将参数进行回归计算得最后的分数。
3.NIQE:
该算法假设无失真图像满足某种统计特性,首先对自然图像提取出自然场景统计特性,并建立多变量高斯模型(MVG)。对于失真图像同样方法得到MVG模型,计算二者距离得质量分数。
<二>块效应
1.Wang方法:源自Wang Z, Bovik A C, Evan B L. Blind measurement of blocking artifacts in images[C]// International Conference on Image Processing. 2000.
该算法将图像建模为纯净的图像信号和只有块效应的信号的叠加,对水平和垂直方向上分别求相邻像素的绝对差分,然后转变为一维信号并进行一维傅里叶变换,通过功率谱描述块效应强度。
2.Bovik方法:源自Bovik A C , Liu S . [IEEE 2001 IEEE International Conference on Acoustics, Speech, and Signal Processing. Proceedings - Salt Lake City, UT, USA (7-11 May 2001)] 2001 IEEE International Conference on Acoustics, Speech, and Signal Processing. Proceedings (Cat. No.01CH37221) - DCT-domain blind measurement of blocking artifacts in DCT-coded images[J]. 2001, 3:1725-1728.
Brovik等人将图像重新建模为常值块与独立同分布的白噪声的叠加,通过构造二维阶跃函数,讲块效应的分数表示为阶跃函数的幅度。
3.Perra方法:源自Perra C , Massidda F , Giusto D D . Image blockiness evaluation based on Sobel operator[C]// IEEE International Conference on Image Processing. IEEE, 2005.
该方法首先利用sobel算子求得图像的梯度,然后将梯度图像划分为8*8的梯度块。对每个梯度块中的像素分为垂直边缘像素(第一列和第8列,记作1V)、水平边缘像素(第一行和第8行,记作1H)和内部像素(除了1V和1H的其他区域,记作2I)。定义S1、S2如下:

D为梯度,N1、N2分别为位于边缘、中心的像素点数。
总分数S:

β设置为2.
4.Pan方法:源自Pan F , Lin X , Rahardja S , et al. Using edge direction information for measuring blocking artifacts of images[J]. Multidimensional Systems and Signal Processing, 2007, 18(4):297-308.
Pan等人通过统计分块边缘处存在完全水平和垂直两个梯度方向的边缘数占所有边缘数的比例大小,来衡量块效应的大小。
5.Liu方法:源自Liu H , Heynderickx I . A Perceptually Relevant No-Reference Blockiness Metric Based on Local Image Characteristics[J]. EURASIP Journal on Advances in Signal Processing, 2009, 2009(1):263540.
Liu等人基于图像的局部特性,通过比较块效应边界处的梯度和周围梯度的差异,并结合视觉掩蔽模型获得整体的块效应分数。
6.Chen方法:源自Chen C , Bloom J A . A Blind Reference-Free Blockiness Measure[C]// Advances in Multimedia Information Processing - PCM 2010 - 11th Pacific Rim Conference on Multimedia, Shanghai, China, September 21-24, 2010, Proceedings, Part I. Springer-Verlag, 2010.
Chen等人提出了一种基于DFT域的方法,该方法计算水平和垂直方向的像素的绝对差值并归一化,然后沿着两个方向求其均值,并变换为一维信号,最后在DFT域计算周期性尖峰的强度作为块效应分数。
7.Lee方法 :源自Lee S , Park S J . A new image quality assessment method to detect and measure strength of blocking artifacts[J]. Signal Processing Image Communication, 2012, 27(1):31-38.
该方法利用如果图像块边界出现块效应那么块边界两边的像素会剧烈变化,而沿着块边界的方向的像素变化很小的特点,首先在块边界检测是否存在块效应,然后对于存在块效应的边界计算块效应的强度,计算所有存在块效应的强度均值作为块效应分数。
8.Xia方法:源自Xia Y , Wang Z , Wang W , et al. Blind Measurement of Blocking Artifacts of Images Based on Edge and Flat-region Detection[J]. Journal of Software, 2013, 8(1).
该方法利用人眼对平坦区域的块效应更敏感,将图像分为平坦区域和非平坦区域,分别计算平坦区域的块强度BS和非平坦区域的块率BR,结合BS和BR得到块效应分数。
9.Golestaneh和Chandler方法:源自Golestaneh S A , Chandler D M . No-Reference Quality Assessment of JPEG Images via a Quality Relevance Map[J]. IEEE Signal Processing Letters, 2014, 21(2):155-158.
该方法首先统计图像块DCT变换后中值为0的系数数量,然后用描述图像中的块哪些是自然一致的哪些是由于jpeg压缩造成才一致的 的质量相关图加权得到块效应分数。
<三>模糊
1.Marziliano方法:源自Marziliano P , Dufaux F , Winkler S , et al. A no-reference perceptual blur metric[C]// Proceedings. International Conference on Image Processing. IEEE, 2002.和Marziliano P , Dufaux F , Winkler S , et al. Perceptual blur and ringing metrics: application to JPEG2000[J]. Signal Processing: Image Communication, 2004, 19(2):163-172.
该算法主要对边缘的宽度进行描述。首先,利用sobel算子对图像进行边缘提取,并设置阈值去掉边缘图像中较弱的边。对处理后的边缘图像逐行扫描,对处于边缘的像素,通过寻找其最邻近的极大值点和极小值点来确定该边缘的起点和终点,边缘宽度定义为起点和终点的距离。所有边缘宽度的均值即整体的模糊分数。
2.JNB(Just Noticeable Blur):源自Ferzli R , Karam L J . A No-Reference Objective Image Sharpness Metric Based on the Notion of Just Noticeable Blur (JNB)[J]. IEEE Transactions on Image Processing, 2009, 18(4):717-728.
文中,JNB(恰可见模糊)定义为在一定的对比度(高于最小可觉差JND)的情况下,在图像的边缘可以观察到的最小的模糊量,一般情况下,JNB随对比度的增加而减小。
在一定的对比度下,边缘e处可检测到模糊的概率为:

w(e)表示e的宽度,wJNB(e)表示JNB的宽度。一个边缘块R的模糊可表示为:

对于整个图像的模糊DI可表示为:

类似地,整个图像I检测到模糊的概率为:

图像的整体模糊分数定义为S=L/D,其中L为分块数量。
3.Fish算法:源自Vu P V , Chandler D M . A Fast Wavelet-Based Algorithm for Global and Local Image Sharpness Estimation[J]. IEEE Signal Processing Letters, 2012, 19(7):423-426.
思路:由于模糊会造成高频能量的减少,所以可以对图像小波变换后的高频部分能量进行描述,来表示模糊的程度。
首先对图像进行三级小波变换,每一级的三个高频自带分别记作HHn、LHn、HLn,n为小波级数。对每个高频子带对数能量计算如下:

其中,N表示右侧和式长度,XY取HH/HL/LH。
每一层分解的能量之和可以表示为En=0.5*(1-a)*(ELHn+EHLn)+a*EHHn。为了突出HH子带的能量的 重要性,设置a为0.8。最后的模糊分数定义为:

4.S3算法:源自Vu C T , Phan T D , Chandler D M . S3: a spectral and spatial measure of local perceived sharpness in natural images[J]. IEEE Transactions on Image Processing, 2012, 21(3):934-945.
该算法是一种基于混合域的算法,主要思路是在频率域用幅频的斜率来描述模糊造成的高频能量下降,空间与用全变差描述图像的局部对比度变化,最后取模糊图的前百分之一来计算模糊分数,精度和一致性高,但复杂度高。
5.LPC算法:源自Hassen的《No-reference image sharpness assessment based on local phase coherence measurement》和《Image sharpness assessment based on local phase coherence》.
作者在研究者发现相位一致性和模糊有直接的关系,即清晰部分的相位一致性图强度大,模糊则小。所以LPC算法利用相位一致性图来描述模糊,并且在更高精度和一致性情况下,获得更细的局部模糊质量图。
6.MLV算法:源自Bahrami K , Kot A C . A Fast Approach for No-Reference Image Sharpness Assessment Based on Maximum Local Variation[J]. IEEE Signal Processing Letters, 2014, 21(6):751-755.
由于模糊区域像素亮度变化小而清晰区域变化大,作者提出定义局部最大化变量(MLV)为一个像素和其周围8个像素亮度的最大变化,利用图像所有像素的MLV分布即可反应图像的模糊程度,并用MLV图的标准差作为图像的模糊分数。
















