抽象角度看
一棵树有很多节点,根据位置可以分为:根节点,中间节点,叶子节点
所有的节点都是树节点
这两句话转换为代码就是: 你可以有三个Node类,RootNode,TempNode,LeafNode。当然这三个都是TreeNode的子节点。实际使用中完全可以用一个TreeNode来实现,也可以拆分为三个。
1. 只用一个TreeNode节点,就是:透明组合模式(推荐)
2. 拆分为三个节点来用,就是:完全租户模式
定义
组合模式(Composite Pattern):组合多个对象形成树形结构,以表示具有整体部分关系的层次结构,使客户端可以统一的对待单个对象和组合对象。
组合模式又称部分-整体模式。
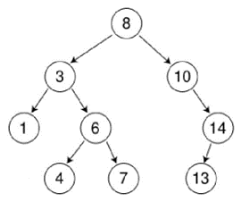
树结构
结构示例:

每个数字所处的位置都抽象为一个节点Node
节点分为:根节点,叶子节点,中间节点
- 根节点:没有父节点,有子节点
- 中间节点:有父节点,也有子节点
- 叶子节点:没有子节点,有父节点
节点操作方法分为:获取父节点;添加子节点;自己的操作
结合上面节点分类和操作分类节点结构如下:

问题:
- 子节点列表要不要放在接口里呀 ?
- 那些有区别的操作要不要放在接口里呀 ?
透明组合模式&完全组合模式
1.按照 不同操作的方法 放置的位置不同,分为:透明组合模式和安全组合模式。
2. 透明组合模式:所有节点一样,都是大而全的方法集合,在子类中区别就是
叶子节点不实现add/getChild方法
3. 完全组合模式:将有区别的操作方法声明放在抽象节点Node中,调用的时候自己区别对待。大家都实现一个接口,但叶子节点不包括:add/getChild方法,只有自己的方法。
4. 怎么就透明了&怎么就安全了:
安全是针对透明组合模式中,叶子节点也有和非叶子节点一样的方法,客户端不注意就会调用,所以就不安全。安全模式因为叶子节点就没有Add和GetChild方法,所以根本不会调用。
但是,构建树的时候会将叶子和非叶子节点都看成一样的,都实现同一个接口。但操作的时候就得判断是否叶子节点,否则在转换为非叶子节点时就会丢失东西。
5. 两种模式的选择:
对于合成模式而言,在安全性和透明性上,会更看重透明性,毕竟合成模式的目的是:让客户端不再区分操作的是树枝对象还是树叶对象,而是以一个统一的方式来操作。
而且对于安全性的实现,需要区分是树枝对象还是树叶对象。有时候,需要将对象进行类型转换,却发现类型信息丢失了,只好强行转换,这种类型转换必然是不够安全的。
因此在使用合成模式的时候,建议多采用透明性的实现方式。
透明组合模式

安全组合模式

UML
组合和聚合区别
聚合一般用子对象来实现,即:一个对象是另外一个对象的属性。比如team和成员之间,大家聚在一块
组合是采用继承来实现,或者采用业务逻辑上的组合,你不单独创建零部件的租即可。零件组成一个机器,单独零件不具有使用特征
设计模式中的组合模式,类似UML中的聚合的实现方式,但不能等同,毕竟是两个概念。

















