模式识别与机器学习(国科大2021-2022秋季学期课程)-基础概念及算法

article/2025/10/7 17:00:35

模式识别与机器学习-国科大2021-2022秋季学期课程

  • 写在前面
  • 习题解答参考
  • 模式识别经典算法
    • 线性判别分析
      • 感知器算法(赏罚机制)
      • 贝叶斯决策问题
        • 贝叶斯最小错误率判别
        • 贝叶斯最小风险判别
      • 正态分布模式的贝叶斯分类器
      • 线性判别函数
    • 特征提取与降维
      • PCA主成分分析(K-L变换)
      • Fisher线性判别
  • 机器学习经典模型
    • 支持向量机
      • 硬间隔支持向量机
    • 逻辑回归模型
    • 隐马尔科夫模型
  • 聚类算法
    • 基本理论
    • 经典聚类算法
      • K-means
      • 高斯混合模型GMM
      • DBSCAN
    • 降维
      • 多维缩放MDS
      • 等距离映射ISOMAP
      • 全局嵌入方法与局部嵌入方法
  • 半监督学习
    • 三个假设
    • 多视角学习
  • 概率图模型
    • 经典概率图
  • 集成学习
    • 基本理论
      • 过拟合与欠拟合
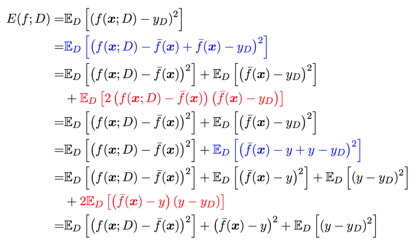
      • 偏差和方差
    • 集成学习算法
      • Bootstrap
      • Bagging, Bootstrap aggregating
      • Boosting
      • Adaboost

声明: 部分图片来自于课程讲义

写在前面

本文仅作为课程的总结,可以作为考试复习的大纲,其中包含一些习题或者是往年的考试题目,作为练习,文中以[例题]样式标明。虽然大多是为了考试,还是加入了一些概念、推导,甚至是讨论、困惑,作为点缀和“警示”。

整理的顺序较乱,但已经尽力而为,大致是按照授课顺序整理的(整个课程的授课顺序就很迷惑,没有主线,可能是因为能讲的太多太杂)。

习题解答参考

声明:个人作业,仅供参考,请勿保存,禁止在其他网站转载!如有错误请务必在评论区指出,或联系sunzhihao_future@163.com,十分感谢!
https://blog.csdn.net/sunzhihao_future/article/details/122315786

模式识别经典算法

线性判别分析

感知器算法(赏罚机制)

贝叶斯决策问题

贝叶斯最小错误率判别

贝叶斯最小错误率判别:利用模式集的统计特性来分类,以使分类器发生错误的概率最小。对于两类模式集的分类,要确定 x x x是属于 ω 1 \omega_1 ω1类还是 ω 2 \omega_2 ω2类,要看 x x x是来自于 ω 1 \omega_1 ω1类的概率大还是来自 ω 2 \omega_2 ω2类的概率大。
[例题]
在这里插入图片描述
更正:预测特征为 A = 0 , B = 1 A=0, B=1 A=0,B=1的邮件是否为垃圾邮件。
[例题]
在这里插入图片描述
在这里插入图片描述

贝叶斯最小风险判别

贝叶斯最小风险判别:当考虑到对于某一类的错误判决要比对另一类的判决更为关键时,就需要把最小错误概率的贝叶斯判别做一些修正,提出条件平均风险 r j ( x ) r_j(x) rj(x)。对M类问题,如果观察样本被判定属于 ω j \omega_j ωj类 ,则其条件平均风险为 r j ( x ) = ∑ i = 1 M L i j P ( ω i ∣ x ) r_{j}(x) = \sum_{i=1}^M L_{ij} P(\omega_i|x) rj(x)=i=1MLijP(ωix),其中 L i j L_{ij} Lij为将本应属于 ω i \omega_i ωi类的模式判别成属于 ω j \omega_j ωj类的是非代价。

[例题]
在这里插入图片描述
更正:其中 λ i j \lambda_{ij} λij表示将本应属于 ω i \omega_i ωi类的模式判别成属于 ω j \omega_j ωj类所带来的风险损失。

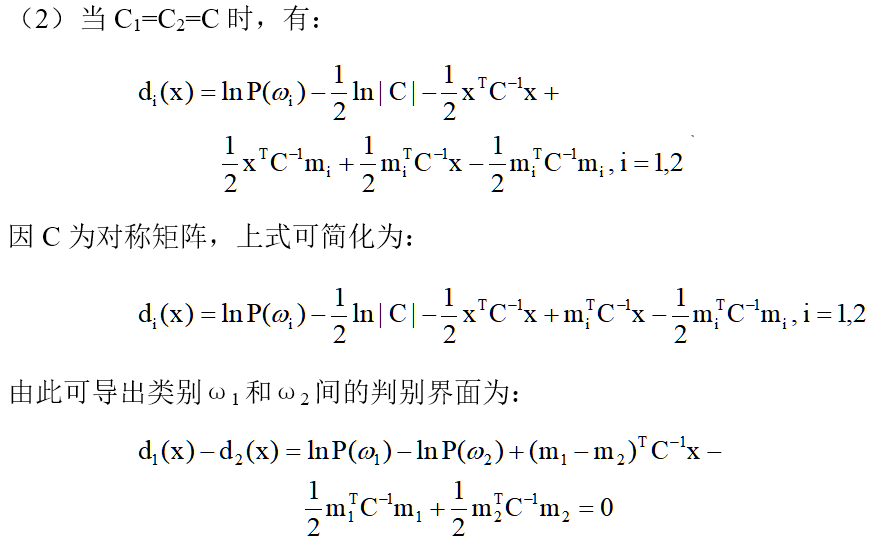
正态分布模式的贝叶斯分类器

两类问题且其类模式都是正态分布的情况:
在这里插入图片描述
在这里插入图片描述

线性判别函数

对于 M M M类模式的分类,多类情况1需要 M M M个判别函数,而多类情况2需要 M ∗ ( M − 1 ) / 2 M*(M-1)/2 M(M1)/2个判别函数,当 M M M较大时,后者需要更多的判别式(这是多类情况2的一个缺点)。

采用多类情况1时,每一个判别函数都要把一种类别的模式与其余 M − 1 M-1 M1种类别的模式分开,而不是将一种类别的模式仅与另一种类别的模式分开。由于一种模式的分布要比 M − 1 M-1 M1种模式的分布更为聚集,因此多类情况2对模式是线性可分的可能性比多类情况1更大一些,这是多类情况2的一个优点。

特征提取与降维

PCA主成分分析(K-L变换)

一般特征的散布矩阵准则:
在这里插入图片描述

Fisher线性判别

考虑把d维空间的样本投影到一条直线上,形成一维空间,即把维数压缩到一维。然而,即使样本在d维空间里形成若干紧凑的互相分得开的集群,当把它们投影到一条直线上时,也可能会是几类样本混在一起而变得无法识别。但是,在一般情况下,总可以找到某个方向,使在这个方向的直线上,样本的投影能分得开。

如何根据实际情况找到一条最好的、最易于分类的投影线,这就是Fisher判别方法所要解决的基本问题。
在这里插入图片描述
在这里插入图片描述
在这里插入图片描述

机器学习经典模型

支持向量机

硬间隔支持向量机

Optimal Margin Classier: Dual Solution
在这里插入图片描述
在这里插入图片描述
在这里插入图片描述
在这里插入图片描述
在这里插入图片描述
Linearly Separable SVM (Dual)
在这里插入图片描述
[例题]
在这里插入图片描述

逻辑回归模型

隐马尔科夫模型

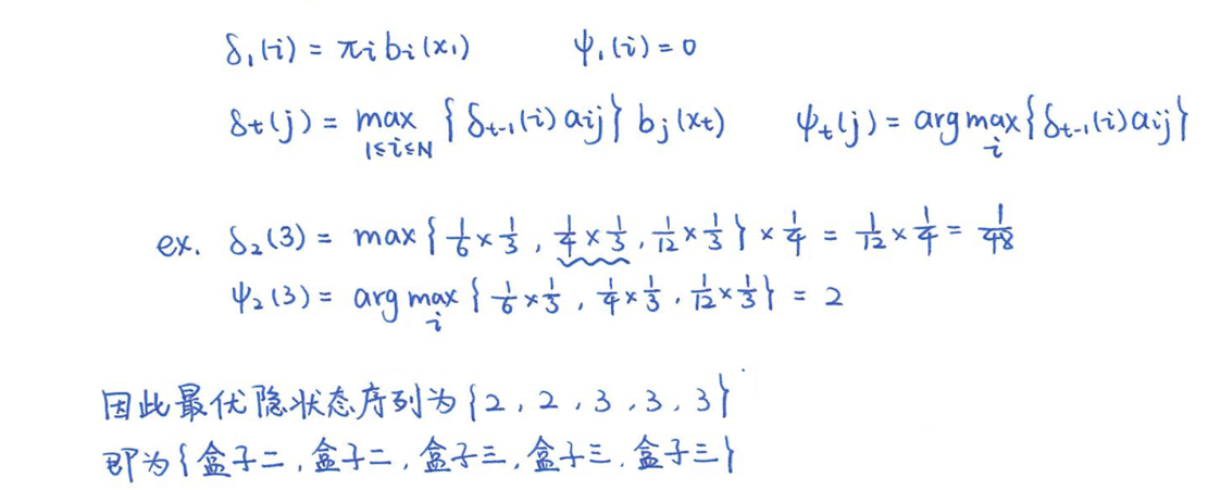
[例题]
假设有3个盒子,分别装有不同数量的苹果(记为A)和桔子(记为O),其中盒子一中放有2个A,2个O;盒子二中放有3个A,1个O;盒子三中放有1个A,3个O;每次随机选择一个盒子并从中抽取一个水果,观测并记录看到的水果是哪种。但不幸的是,忘记去记录所选的盒子号码,只记录了每次看到的水果是A还是O。
(1) 请用HMM模型描述上述过程。
(2) 假如观测到水果序列为 x = {A,A,O,O,O},请给出最佳的盒子序列。
在这里插入图片描述
在这里插入图片描述
在这里插入图片描述
[例题]
在下图所示的HMM模型中:
在这里插入图片描述

(1)采用前向算法计算序列“AGTT”出现的概率。
(2)计算“TATA”最可能出现的状态序列。
在这里插入图片描述
在这里插入图片描述
在这里插入图片描述

聚类算法

基本理论

Minkowski距离:
在这里插入图片描述
余弦相似度:
在这里插入图片描述

经典聚类算法

K-means

在这里插入图片描述
在这里插入图片描述
如何选择K?
在这里插入图片描述
当不同的簇之间具有不同的尺寸、密度或者非球形时,K-means聚类效果不好。

高斯混合模型GMM

DBSCAN

DBSCAN是基于密度的聚类算法,其核心思想是将密度可达的点聚类为一个簇。
在这里插入图片描述
在这里插入图片描述
在这里插入图片描述

降维

多维缩放MDS

在这里插入图片描述
在这里插入图片描述

等距离映射ISOMAP

测地线距离(Geodesic Distance)
在这里插入图片描述
在这里插入图片描述
在这里插入图片描述

全局嵌入方法与局部嵌入方法

在这里插入图片描述

半监督学习

通用想法:同时利用有标注数据和无标注数据学习。

三个假设

在这里插入图片描述
在这里插入图片描述
在这里插入图片描述

多视角学习

在这里插入图片描述
在这里插入图片描述

概率图模型

经典概率图

在这里插入图片描述

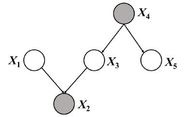
[例题]
给定如下概率图模型,其中变量X2,X4 为已观测变量,请问变量量X1,X5 是否独立? 并用概率推导证明之.
在这里插入图片描述

集成学习

基本理论

No Free Lunch Theorem:没有任何学习算法可在任何领域总是产生最准确的学习器。
Occam‘s Razor:如无必要,勿增实体。

过拟合与欠拟合

当模型本身过于复杂时,特征和类别之间的关系中所有的细枝末节都被捕捉,主要的趋势反而在乱花渐欲迷人眼中没有得到应有的重视,导致过拟合(overfitting)的发生。反之,如果模型过于简单,它不仅没有能力捕捉细微的相关性,甚至连主要趋势本身都没办法抓住,这样的现象就是欠拟合(underfitting)。
在这里插入图片描述

偏差和方差

在这里插入图片描述
偏差来源于模型中的错误假设。偏差过高就意味着模型所代表的特征和标签之间的关系是错误的,对应欠拟合现象;
方差描述的是模型通过学习拟合出来的结果自身的不稳定性,方差过高意味着模型对数据中的噪声也进行了建模,对应着过拟合现象。

集成学习算法

Bootstrap

在这里插入图片描述

Bagging, Bootstrap aggregating

在这里插入图片描述
在这里插入图片描述
在这里插入图片描述

Boosting

在这里插入图片描述

Adaboost

在这里插入图片描述
在这里插入图片描述


http://chatgpt.dhexx.cn/article/Wf9UR7fr.shtml

相关文章

模式识别、机器学习与深度学习

模式识别(Pattern recognition)、机器学习(machine learning)和深度学习(deep learning)代表三种不同的思想流派。模式识别是最古老的(作为一个术语而言,可以说是很过时的&#xff0…

AI,机器学习(模式识别),深度学习的区别与联系

引言 "互联网"已经发展的差不多了,应有尽有,空间不大,下个浪潮会不会是"AI"?那么作为一个普通程序员,在已有C/ java / python这样的语言技能栈的前提下,我们该如何拥抱变化&#xff0…

机器学习笔记 - 简单了解模式识别

1、什么是模式识别? 在数据中寻找模式是一个有着悠久历史的问题。模式识别是一种数据分析方法,它使用机器学习 算法自动识别数据中的模式和规律。这些数据可以是任何东西,从文本和图像到声音或其他可量化的数据。模式识别系统可以快速准确地识别熟悉的模式。他们还可以识别和…

模式识别与机器学习(更新中)

模式识别与机器学习 使用的教材,PPT为1 公式推导部分直接去看白板推导2,不管是书上还是ppt都写的极其模糊 先说重点: 贝叶斯算概率参数估计 第二讲 贝叶斯学习基础 贝叶斯公式 先验概率是非条件概率 似然概率是给定变量的条件下观测变…

模式识别、机器学习的区别和联系

先上一张图看看: 模式识别:自己建立模型刻画已有的特征,样本是用于估计模型中的参数。模式识别的落脚点是感知 模式识别是70年代和80年代非常流行的一个术语。它强调的是如何让一个计算机程序去做一些看起来很“智能”的事情,…

模式识别和机器学习重点算法总结篇

文章目录 1,反向传播算法训练步骤总结:1.1步骤:1.2影响网络性能的因素:1.3 卷积神经网络权重计算 2,Adaboost 算法的设计思想和主要计算步骤:2.1 设计思想:2.2 计算步骤: 3&#xff…

机器学习与模式识别

机器学习与模式识别 第一章 绪论1.区分回归、聚类、分类任务2.机器学习的一般过程3.假设空间的确定,版本空间的含义 第二章 模型评估与选择1.欠拟合和过拟合概念的理解2.模型的评估方法(1) k折交叉验证(2) 留一法(n折交叉验证)(3) 代码实例—…

机器学习和模式识别怎么区分?

随着人工智能在近些年的崛起,机器学习、模式识别这两个词也成为了热门词汇,频繁出现在大众眼前。虽然常常听说机器学习与模式识别,但是却很少有人能清楚地区别两者。本文就带大家充分了解机器学习和模式识别的概念、区别和联系。 机器学习和…

模式识别与机器学习第一章

一、模式的概念 广义:存在于时间和空间中可观察的物体。如果可以区别它们是否相同或是否相似,都可以称之为模式。 狭义:模式所指的不是事物本身,而是从事物获得的信息,模式往往表现为具有时间和空间分布的信息。 模式的…

模式识别与机器学习 第一章 绪论

引言 课程介绍 1956年夏天达特茅斯会议标志着人工智能学科的诞生 人工智能之父 约翰麦卡锡 基础:线性代数、概率统计、最优化理论 交叉课程:图像处理、计算机视觉、数据挖掘、自然语言处理、多媒体技术 参考书目:《机器学习》西瓜书《统…

ubuntu安装宝塔

一、宝塔面板的系统要求 以下是宝塔官网对于 Linux VPS 的系统要求: 1、 操作系统要求:全新系统 (支持 CentOS、Ubuntu、Debian、Fedora、Deepin),确保是干净的操作系统,没有安装过其它环境带的 Apache/Nginx/php/MySQL。另外&am…

ubuntu 安装 nginx

apt-get安装nginx 1、切换到root用户安装 安装最好用root用户安装 不然很多文件权限的报错会让人崩溃 sudo su root apt-get install nginx #安装 nginx -v #查看安装版本 service nginx start #启动nginx 2、启动后,在网页重输入ip地址,即可看到ng…

Ubuntu安装repo

安装步骤: 1、根目录下创建.bin文件夹 mkdir ~/bin 2、配置为永久环境变量 打开:vi ~/.bashrc 在文件末尾加上:export PATH~/bin:$PATH 生效:source ~/.bashrc 3、下载repo源码 git clone https://gerrit-googlesource.lu…

ubuntu安装oracle

一、前期准备 安装java8,参考ubuntu安装jdk8文档 安装docker,参考linux安装第三方库文档 二、安装Oracle镜像的过程 1、切换到root账号下,如果是普通账号,下面操作指令前面加sudo 2.搜索oracle镜像 docker search oracle 3.下载oracle镜像 Docker …

Ubuntu安装MySQL

安装 1.首先更新本地存储库索引,执行sudo apt update 2.从APT存储库安装MySQL,执行sudo apt install MySQL-server(改为sudo apt install mysql-server,看图),在安装过程中,可能会出现[Y / n…

ubuntu安装cmake

ubuntu 安装cmake 一、命令行安装 (这种直接安装cmake,其实安装的版本都太老了,这种方式不推荐 ) sudo apt install cmake二、Cmake源码编译安装 1. 更新一下g sudo apt-get install g 2. 先检查是否有cmake which cmake如果…

Ubuntu安装RabbitMQ

1、首先确认Linux 内核版本,确定是Ubuntu 还是CentOS版本:uname -a 2、rabbitMq需要erlang语言的支持,在安装rabbitMq之前需要安装erlang,执行命令 apt-get install erlang-nox 3、注意检查RabbitMQ 与erlang 的版本对应:RabbitMQ Erlang Ve…

Ubuntu 安装Tools

点击光盘,里面有个VMwareTools的文件,将文件拖入下载中 单击右键,选择在终端中打开 .pl可执行文件 安装软件需要切换到管理员权限 sudo su

Ubuntu安装cuda

目录 1、查看系统推荐的cuda版本 2、官网下载cuda软件包 3、安装 4、环境配置 5、验证cuda是否正常 1、查看系统推荐的cuda版本 查看前应先安装显卡驱动,可以查看NVIDIA显卡驱动安装 nvidia-smi 这里显示的是cuda11.4版本 2、官网下载cuda软件包 官网cuda下…

Ubuntu安装虚拟机

如果客户有在Ubuntu下安装虚拟机的要求,可以用到本篇文档,目前只测试16.04.6版本,虚拟机为16.1测试版,有效期为30天,软件仅供测试。 1,先安装Ubuntu系统 2,安装后把虚拟机软件放到桌面上&…