CESI: Canonicalizing Open Knowledge Bases using Embeddings and Side Information

article/2025/10/13 3:28:24

 

    开放性知识库的规范化(个人理解:这里的规范化实际上就是将相同语义的实体或关系聚集在一起,从而表示一个实体或关系),主要是OPENie提取的过程中没有进行区分,最近的研究发现,开放KBS的规范化实际上是特征空间的聚类,我们提出使用知识图谱嵌入+边信息的方法来得到(经过查询,KBE应该主要用在语义查询,链接预测等方面,这里创新性的用在知识库的规范化中)embedding,然后对embedding进行聚类

当然有些工作可以起到类似的作用,比如通过实体链接将短语链接到现有数据库中,但是这种方法效果并不好,我们这里采用新的CESI方法进行KB的规范化

    KBE详解:首先我们清楚KB都是一些三元组组成的,一般来说都是(head,rela,tail)这样形式,但是如果我们要进行机器学习,则必须将三元组转化为向量来进行计算,那如何做这种嵌入,则首先要假设一个score函数,这个函数是来度量head与tail在某个关系上的相似度,主要是TransE和DistMult两大类代表,有了这个scre函数后,便可以设定positive triplets更高,而negative triplets更低(负样本在正样本的基础上生成)

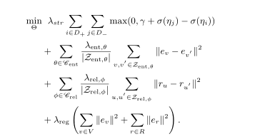
这个KBE也是本篇文章的核心,也就是下面的公式:

    这个公式主要由三部分组成,第一部分就是前面提到的KBE部分,在score函数的基础上进行目标函数的构建:score函数主要是采用HOLE:如下:

    同时score函数经过逻辑激活函数与排序损失函数,得到现在的目标函数,后面的两项就是边信息(其实这个地方我不太明白为什么直接加),关于边信息,分为名词的边信息与关系的边信息,这个边信息在我看来是一种属性,一种名词与名词,关系与关系是否相等的附加项,比如名词链接边信息,当两个名词链接到同一个实体时,便表明这两个名词在语义上是相同的,在后面聚类的时候就会考虑到这个因素


http://chatgpt.dhexx.cn/article/WKofUi4p.shtml

相关文章

计算机一级仿宋gb2312,仿宋gb2312字体

一般情况下,这款软件在试用的过程可能还有点小问题,但是正所谓瑕不掩瑜,相信用不了多久,只要程序猿给力点,这种小小的反馈不爽就可以解决。 仿宋gb2312字体字体简介 仿宋_GB2312字体是印刷字体的一种 ,仿照…

Supervisor部署(离线部署需要提前下载部署包)

1.软件准备 下载tar包:wget https://pypi.python.org/packages/source/s/supervisor/supervisor-3.1.3.tar.gz 解压:tar -xvf supervisor-3.1.3.tar.gz 进入解压包:cd supervisor-3.1.3 开始安装:python setup.py install 下载me…

Docker 学习之 Docker 容器数据卷

容器数据卷 什么是容器数据卷 docker 理念回顾 将应用和环境打包成一个镜像! 问题:数据?如果数据都在容器中,那么我们删除容器,数据就会丢失!需求:数据可以持久化! 容器之前可以…

Supervisor 安装与配置

文章目录 Supervisor 安装与配置一、介绍二、名词释义三、Supervisor 安装三、Supervisor 配置四、启动控制终端五、注册为系统服务六、管理界面1、管理界面的弊端 Supervisor 安装与配置 一、介绍 ​ Supervisor 是用Python开发的一个 client/server 服务,是Linu…

使用Cesi+Supervisor实现进程管理

使用CesiSupervisor实现进程管理 相信很多的运维小伙伴都是饱受进程丢失的痛苦,最怕半夜被手机吵醒,那一定是经理想你 不管进程是前台运行还是后台静默运行,我们都需要能监控其进程状态。 原因有三: 一,在意外结束时…

echarts学习笔记1

可视化面板介绍 ​ 应对现在数据可视化的趋势,越来越多企业需要在很多场景(营销数据,生产数据,用户数据)下使用,可视化图表来展示体现数据,让数据更加直观,数据特点更加突出。 [外链图片转存失败,源站可能…

supervisor集群管理

1.介绍 Supervisor是一个进程管理工具,就是有一个进程需要每时每刻不断的运行,但是这个进程又有可能由于各种原因有可能停止运行。supervisor官网:http://www.supervisord.org/ 当进程停止运行的时候我们希望能自动重新启动,Super…

UOS桌面操作系统专业版字体

fc-list |sort| awk {print $1 } |uniq| wc -l cesi授权的字体 /usr/share/fonts/fonts-cesi/CESI_FS_GB13000.TTF: CESI仿宋\-GB13000,CESI_FS_GB13000:styleRegular /usr/share/fonts/fonts-cesi/CESI_FS_GB18030.TTF: CESI仿宋\-GB18030,CESI_FS_GB18030:styleRegular /…

罗马仕荣获中国质量认证中心、CESI颁发的全国首批“双新认证”证书

2022年11月25日,2022(冬季)亚洲户外电源大会于深圳市南山区科兴科学园ECO国际会议中心举办。本次大会由中国电子技术标准化研究院、北京京东世纪贸易有限公司、充电头网、全国电子产品安全标准化技术委员会、工信部锂离子电池及类似产品标准化…

supervisor 的 web 管理工具 cesi

一、supervisor 配置 说明:如果只是使用 supervisor 自带的 web,仅如下配置就可以vim /etc/supervisor/supervisord.conf[inet_http_server] ; inet (TCP) server disabled by default port192.168.5.149:9001 ; ip_address:port specif…

管理ELK进程工具: Supervisor Cesi

一、Supervisor简介 supervisor是一个Linux/Unix系统上的进程监控工具,supervisor是一个Python开发的通用的进程管理程序,可以管理和监控Linux上面的进程,能将一个普通的命令行进程变为后台daemon,并监控进程状态,异常…

CeSi 进程集中管理部署

一:安装环境 CentOs 7环境 sudo yum install -y git epel-releasesudo yum install -y python34 python34-pip 二: 安装CeSi https://github.com/Gamegos/cesi 有详细的安装步骤,需要安装一些工具 ## 安装yarn curl --silent --location http…

Linux 系统进程守护工具 cesi + superviosr

一、安装 Supervisor pip install supervisor 使用 echo_supervisord_conf 命令生成默认配置文件 echo_supervisord_conf > /etc/supervisord.conf 配置文件说明 位置:etc/supervisord.conf内容:# 指定了socket file的位置 [unix_http_server] f…

进程管理工具-Supervisord +CeSi

Supervisor 简介 Supervisor 是一个用 Python 写的进程管理工具,可以很方便的用来在 UNIX-like 系统(不支持 Windows)下启动、重启(自动重启程序)、关闭进程(不仅仅是 Python 进程) Superviso…

通过 CeSi + Supervisor 可视化集中管理服务器节点进程

通过 CeSi Supervisor 可视化集中管理服务器节点进程 简介Supervisor 的安装及基本使用1. 安装2. 基本使用 2.1 启动 supervisor2.2 Supervisor 客户端 supervisorctl安装配置 CeSi1. 简介2. 安装3. 配置4. 启动Supervisor 服务设置开机自启动参考链接 通过 CeSi Supervis…

第二篇supervisor集群管理工具cesi安装详解-如何安装supervisor-cesiwebUI

第二篇supervisor集群管理工具cesi安装详解-如何安装supervisor-cesiwebUI 介绍安装解压安装依赖修改配置注册为系统服务启动登录一下,发现报错了解决方法 介绍 前一篇我们安装好了supervisor,supervisor自带了一个UI界面,不太好用&#xff…

CeSi 安装与配置

文章目录 CeSi 安装与配置一、介绍二、CeSi 安装三、CeSi 配置四、CeSi 启动五、管理界面 CeSi 安装与配置 一、介绍 ​ CeSi(Centralized Supervisor Interface) 是 Supervisor 官方推荐的集中化管理 Supervisor 实例的 Web UI,该工具是用 Python 编写&#xff0…

iis发布网站时出现根目录文件解决方案

Window server 发布 vs打包的web应用时出现根目录文件 在web.config配置文件中 ,modules 节点前加上 runAllManagedModulesForAllRequests“true”

IIS 发布网站无法显示图片

发布网站以后,图片全是叉号。 1、先确认,IIS服务管理器下面没有MIME类型这个选项 2、参考设置权限,(我的程序是拷贝过来的): https://blog.csdn.net/yzm272/article/details/86506615 1、第一步打开IIS 控…

IIS发布网站及网页显示设置

本文调试系统中容易出现问题的系统有:Windows Service 2008R2、Windosw Service 2012R2 1、在上述两个系统中需要增加IIS服务器功能,需要在《添加角色功能增加》点击下一步中,添加IIS服务器功能即可,在增加功能的同时提供原系统文…