(分布式网络)基于残差网络的多光谱全色图像分布式融合框架

article/2025/10/11 6:18:41

贡献:

①基于分布式框架(distributed framework)和residual learning,提出了一种鲁棒性强、泛化性能提高的RDFNet泛锐化模型。

②提出了一种新的三分支泛锐化结构,其中两个分支分别用于提取MS和PAN图像特征。其中最重要的是第三个分支,实现三通道的数据融合,将两个特征分支与前一层的融合结果逐层拼接,得到泛锐化图像。

问题:

只有高空间分辨率和低光谱分辨率的PAN(全色)图像和低空间分辨率和高光谱分辨率的MS(多光谱)图像才能得到高空间分辨率和高光谱分辨率(HRHM)的图像。然而,许多领域都需要利用高空间分辨率和高光谱分辨率(HRHM)的图像,甚至需要利用高时间分辨率的图像。

HRHM图像是利用高空间分辨率和低光谱分辨率图像以及高光谱分辨率和低空间分辨率(LRMS)图像的冗余和互补信息得到的。

pan-sharpening是遥感图像融合领域的一个研究热点。**pan-sharpening技术是充分利用低分辨率多光谱(LRMS)图像和全色(PAN)图像生成高分辨率多光谱(HRMS)图像。**但是传统的pan-sharpening技术存在频谱失真、振铃效应、分辨率低等问题。

introduction:

低分辨率多光谱(LRMS)图像

高分辨率多光谱(HRMS)图像

高空间分辨率和高光谱分辨率的图像(HRHM)

全色(PAN)图像

多光谱(MS)图像

评估指标:

评价融合结果主要采用以下客观质量指标,可分为全参考指标(full-reference indicator)和无参考指标(no-reference indicator)。

我们使用的全参考指标包括相关系数(CC)、均方根误差(RMSE)、结构相似度(SSI M)、谱角映射(SAM)、相对全球维度误差(Erreur Relative Globale adisionnelle de Synthése) (ERGAS)和通用图像质量指数(U IQI)。

我们使用的无参考指标由Dλ, Ds, QNR 组成。


泛锐化方法大致可以分为传统方法和基于深度学习的方法。传统的方法包括成分替代(CS)方法、多分辨率分析(MRA)方法、混合方法和基于模型的[4]方法。

①基于cs的方法将MS图像从一个投影空间转换为另一个投影空间,将空间结构从MS图像中分离出来,然后将分离出来的空间信息分量替换为高空间分辨率的图像,生成新的图像[4]。然后对生成的图像进行反变换,得到HRMS图像,如强度-色调-饱和度(IHS)[6]、广义IHS[7]、快速IHS[8]、自适应IHS[9]等。上述方法简单、快速。但存在频谱失真问题,融合质量相对较低;此外,该方法在处理大量遥感数据时效率低下。

②主成分分析(PCA)是一种将相关数据转换为不相关或相关性相对较低的数据,然后将原始的第一主成分图像替换为PAN图像的统计分析方法。主成分分析可以将问题从高维空间转换到低维空间,并且可以使用任意数量的波段,但容易造成频谱失真。使用Brovey变换(BT)[7]对三个波段进行归一化,然后将归一化后的结果与相应的权值数据相乘得到融合图像。

③Gram-Schmidt (GS)[1]泛锐化是PCA方法的扩展。避免了由于某些波段信息过于集中而导致的光谱响应范围不一致和新的高空间分辨率全色波段波长范围扩展。它能保持融合前后光谱信息的一致性。

……

……


分布式架构的优点:

不仅使用了传感器A的轨迹信息,还使用了传感器B的轨迹信息,在融合过程中,充分利用已知的先验条件,尽可能提高融合轨迹的精度。如图↓


 residual network(残差网络)的优点:

残差网络的特点是容易优化,并且能够通过增加相当的深度来提高准确率。其内部的残差块使用了跳跃链接,这对解决梯度消失和梯度爆炸问题非常有效。

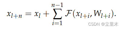
一般的residual block:

可以表示为:

如果使用了多层residual block则:

文中将Relu激活函数提前,进一步提高了residual block的性能:


 Method and Overall structure:

利用分布式架构和残差模块的优点,提出了一种新的基于残差模块的三分支分布式图像融合框架RDFNet。

提出了一种新的三分支泛锐化结构,其中两个分支分别用于提取MS和PAN图像特征。其中最重要的是第三个分支,实现三通道的数据融合,将两个特征分支与前一层的融合结果逐层拼接,得到泛锐化图像。

对输入的MS和PAN图像融合大概有以下步骤:

①输入RDFNet的MS和PAN图像需要进行预处理。

②对原尺度MS和PAN图像进行下采样,分别记作DLMS和LPAN图像。具体如图↓

(根据MS和PAN图像的分辨率,确定比例因子。由于输入RDFNet的MS图像和PAN图像的大小必须保持一致,因此需要将DLMS图像插值到LPAN图像的大小。因此,原始的MS图像可以用作地面真值)

③将DULMS和LPAN图像送入RDFNet,原始的MS图像就是RDFNet的输出,如图

接着训练网络,将DULMS、LPAN和MS图像随机裁剪64 × 64子图像形成训练样本。通过调整网络的超参数和结构,经过充分的训练,得到最优网络。

接着对训练好的网络冻结参数,并分别在降分辨率(reduced-resolotion)MS和全分辨率(full-resolution)PAN图像上测试网络的性能。如图五和图六↓

④利用前面提到的全参考指标,对降低分辨率的泛锐图像与原始MS图像进行主观和定量的评价。即图五

利用前面中提到的无参考指标,对全分辨率、泛锐化图像进行主观和定量评价。即图六

RDFNet总框架如下:

细节details:

该融合结构包括三个分支:

MS特征提取、PAN特征提取 和 跨尺度融合。

MS features extraction, PAN features extraction and cross-scale fusion.

①MS features extraction:

 MS0为LRMS图像,Hi表示作用在MSi-1上的residual module.

②PAN features extraction:

 PAN0为高空间分辨率(high-spatial-resolution)PAN图像,

Gi表示作用在PANi-1上的residual module.

③cross-scale fusion:

 Fui等于融合规则,它们分别是第i个特征提取层的MSi、PANi和第i - 1个融合层MSPi−1的不同尺度的融合结果。(即上一层的融合结果与本层的pan、ms图像进行融合)

结构如图:

 第一个分支即左分支 是MS图像的多尺度特征提取,利用REM1、REM2、REM3、REM4四个残差模块对MS图像进行处理,提取多尺度特征。REMi (i = 1、2、3、4)具体如下:

 其中MSi−1为REMi模块的输入; MSi是REMi模块的输出;

h(MSi−1)表示跳越连接; *表示卷积操作; W'MSi-1为REMi模块卷积核,大小为1x1;

跳跃连接中卷积核个数分别为32、64、128、256。此操作用于增加维度和跨尺度传输信息。

F(MSi-1,WMSi-1)表示residual part。

WMSi−1为卷积核;卷积核的大小为3 × 3,residual part分别有32、64、128、256个卷积核。


第三个分支即右分支 是PAN图像的多尺度特征提取,利用REP1、REP2、REP3和REP4四个残差模块对PAN图像进行处理,提取多尺度特征。REPi (i=1、2、3、4)具体如下:

 其中PANi−1为REPi模块的输入;PANi是REPi模块的输出;

h(PANi−1)表示跳越连接; *表示卷积操作; W'Pi-1为REPi模块卷积核,大小为1 × 1;

跳跃连接中卷积核个数分别为32、64、128、256。此操作用于增加维度和跨尺度传输信。

F(PANi-1,WPi-1)表示residual part。

WPi−1为卷积核;卷积核的大小为3 × 3,residual part分别有32、64、128、256个卷积核。


第二个分支用于融合,由FMP1、FMP2、FMP3、FMP4、FMP5模块组成,FMP5模块是最后一个卷积层。实现了两个分支的多尺度MS图像、PAN图像和前一层融合结果的融合。

(为了尽可能保留MS图像的光谱信息和PAN图像的空间细节,该网络采用全卷积而不是pooling。由于池化会错过一些信息,这可能会导致光谱失真以及纹理和细节的损失)

融合分支中的FMPi(i=1、2、3、4、5)可以表示为:

MSPi为融合模块FMPi的结果,MSP5 = FMSP为FMP5模块与全网的融合结果。

MSi-1⊕PANi-1⊕MSPi-1(i=2,3,4,5)为FMPi的输入,

其表示MSi-1,PANi-1和MSPi-1在通道上连接的图像

WMSPi−1 (i = 1,2,3,4)为1 × 1卷积核,每个融合层分别有32、64、128、256个卷积核。

WMSP4是最后一个融合层的1 × 1 × 3卷积核。

FMP相当于融合函数。

RDFNet相当于一个强大的融合函数,其中LRMS图像MS0和PAN图像PAN0作为输入,HRMS图像FMSP作为输出。


Residual module,即REP 和 FMP,为了提高RDFNet的精度,残差模块采用了精度更高的组合模式:

首先,执行Batch Norm归一化。

(batchnorm对relu函数最大的贡献是防止了梯度的爆炸或者衰减(脑补一下relu的形态,再脑补一下权重矩阵连乘的结果))

接着,利用ReLu激活函数 进行非线性运算。

最后,进行卷积运算。

另外:

与传统的残差模块不同,ReLU激活函数的最后一层从加法操作移动到残差部分,如图↓。

(激活函数在网络中的位置也会影响剩余网络的性能)

在融合模块中,利用1 × 1卷积层实现多通道信息融合,并利用ReLU激活函数增加融合模型的非线性,提高融合能力。


http://chatgpt.dhexx.cn/article/VwjpcFSx.shtml

相关文章

分布式-分布式服务

微服务API 网关 网关的概念来源于计算机网络,表示不同网络之间的关口。在系统设计中,网关也是一个重要的角色,其中最典型的是各大公司的开放平台,开放平台类网关是企业内部系统对外的统一入口,承担了很多业务&#xf…

C++实现轻量级RPC分布式网络通信框架

前言: 2022/4/14更新:  在我重新回顾这篇文章的时候,我觉得里面内容有点乱,主要还是因为RPC里面涉及到很多概念和知识点。本来代码内容就已经挺抽象了,还要结合各种概念,让人难以阅读,所以特地…

C++实现分布式网络通信RPC框架

分布式网络通信rpc框架 项目是分布式网络通信rpc框架(项目源代码链接) 博文中提到单机服务器的缺点: 硬件资源的限制影响并发:受限于硬件资源,聊天服务器承受的用户的并发有限模块的编译部署难:任何模块小…

分布式网络计算机,分布式网络

分布式网络(Distributed Network) [编辑] 什么是分布式网络 分布式网络也叫网状网络,如图1所示,它是由分布在不同地点的计算机系统互连而成,网中无中心节点。通信子网是封闭式结构,通信控制功能分布在各节点上。 [编辑] 分布式网络…

分布式 - 分布式体系架构:集群和分布式

文章目录 01. 什么是集群?02. 集群为什么可以提高系统的可靠性?03. 集群为什么可以提高系统的性能?04. 什么是分布式计算?05. 如何进行分布式计算?06. 集群如何提高计算效率?07. 集群的优点和缺点&#xff…

分布式集群中网络分区问题

分布式集群中网络分区问题 前言如何判断是否发生了网络分区?集中式架构的网络分区形态非集中式架构中的网络分区形态 网络分区最微妙的地方在哪里?网络分区出现概率较高的场景是什么?网络分区有哪些常见的处理方法?方法一&#xf…

网络:分布式和网络的区别

单机结构 我想大家最最最熟悉的就是单机结构,一个系统业务量很小的时候所有的代码都放在一个项目中就好了,然后这个项目部署在一台服务器上就好了。整个项目所有的服务都由这台服务器提供。这就是单机结构。 那么,单机结构有啥缺点呢&#…

分布式专题(一)什么是分布式

什么是分布式? 任务分解节点通信 分布式和集群的关系? 电商平台: 用户、 商品、订单、 交易 分布式: 一个业务拆分成多个子系统,部署在不同的服务器上 集群: 同一个业务,部署在多个服务器…

分布式系统与网络分区

在OpenStack中,数据库是主要系统“状态”的主要来源。大部分Core Projects都使用传统关系型数据库作为系统数据和状态的存储,另外如Ceilometer使用了MongoDB,还有其他Incubator Projects使用了Redis作为队列或者状态存储。数据库给OpenStack提…

分布式架构网络通信

在分布式服务框架中,一个最基础的问题就是远程服务是怎么通讯的,在Java领域中有很多可实现远程通讯的技术,例如:RMI、Hessian、SOAP、ESB和JMS等,它们背后到底是基于什么原理实现的呢 1、基本原理 要实现网络机器间的…

企业分布式网络监控

IT 基础架构已成为提供基本业务服务的基石,无论是内部管理操作还是为客户托管的应用程序服务。监控IT基础设施至关重要,并且已经建立。SMB IT 基础架构需要简单的网络监控工具来监控性能和报告问题。通常,几个 IT 管理员配置网络设备、防火墙…

分布式网络通信框架(一)——集群和分布式

单机聊天服务器 缺点: 受限于硬件资源,服务器所能承受的用户并发量不够大; 任意模块修改,都会导致整个项目代码重新编译、部署; 系统中,有些模块是CPU密集型,有些是IO密集型,造成…

传统分布式网络架构

在同一个自治系统内,当主机A要和A主机B通讯时,需要把发给主机B的数据包先发给网关路由器A,路由器A根据路由表决定数据包下一跳发给路由器B或C,根据IP报文内携带的目的地址11.8.9.12,在路由表中查找最长匹配路由表项&am…

分布式网络基础

在分布式服务化架构设计中,服务与服务之间通信均是基于网络底层协议来实现的,于是我们需要对网络相关基础知识有一个基本的认知,这样在我们服务与服务之间进行通信(跨进程通信)过程能够在我们的脑图形成一个基本的数据传输流程以及其中的细节问题,这样对于我们在进行网络问题的…

服务计算 -- 搭建私有云

服务计算 – 搭建私有云 文章目录 服务计算 -- 搭建私有云下载VirtualBox及所需镜像安装虚拟机配置虚拟机存储位置创建虚拟机内部虚拟网络创建Base虚拟机(Centos为例)链接复制第二台虚拟机 远程桌面访问虚拟机安装图形化界面 下载VirtualBox及所需镜像 …

搭建自己的私有云盘

一、准备工作 centos8,nextcloud,mysql 二、安装docker(官方文档) $ yum install -y yum-utils $ yum-config-manager \ --add-repo \ https://download.docker.com/linux/centos/docker-ce.repo $ yum install -y https://dow…

OwnCloud私有云服务搭建教程

OwnCloud是一款开源的存储云,其作用可以像百度网盘那样存放文件到这个云当中,只要能连上网,手机,平板,电脑都可以从中下载或者上传文件,用起来非常不错,部署的过程也很简单,废话不多…

如何搭建个人私有云盘

前言 文章首发于Noah Sun’s Home 如何搭建个人私有云盘 市场上有很多云盘的产品,比如百度云盘,不过本教程主要目的是要搭建个人私有云盘。查了网上很多资料,个人云盘也有很多,比如nextcloud,owncloud,sea…

服务器上搭建私有云--owncloud

国内云盘太垃圾,各种box又要翻墙,有自己的服务器的朋友不如搭建一个自己的私有云,再也不会有任何限制。私有云的平台有seafile、owncloud等,这里我选择了owncloud。 owncloud的搭建极其简单,官方有提供一键搭建包 ht…

阿里云服务器搭建私人云盘

1、配置安全组端口 新建安全组并开放以下端口 2、利用 Git 来搭建私人云盘 1、利用 Workbench 点击立即登录 进行远程连接 2、安装 docker 容器 docker 是一款开源的容器运行工具,提供了一套便捷的服务打包、分发、部署方式。我们将要部署的服务就是通过 docker …