矩阵乘法的性质
矩阵的乘法不遵守交换律 !
矩阵乘法遵守结合律、分配律
对于任意r行c列的矩阵A,存在c行x列的矩阵O,满足:A . Ocx = Orx
对于任意r行c列的矩阵A,存在x行r列的矩阵O,满足:Oxr . A = Oxc
证明思路:
(A . B). C = A . (B . C)
假设A,B,C是任意矩阵。

证明左右两边相等。
矩阵的幂

只有方阵才可以进行矩阵的幂运算!
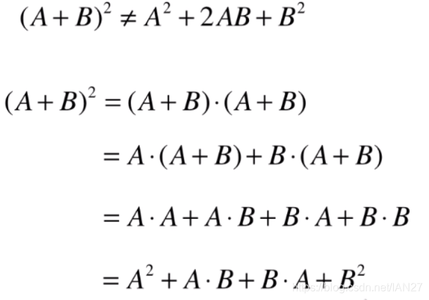
矩阵相加的平方 不适用于 数字相加开平方!

矩阵的转置
在日常使用中,常使用每一行看作一个样本,每一列为一个维度。这就需要转置。
矩阵的转置:让行成为列,让列成为行,将矩阵推到。

例如在一个A矩阵中每一项元素都是 aij(i为行,j为列),在进行转置操作后就变为 aji(j为行,i为列)
对于向量来说,分为行向量与列向量,在教材印刷时,大多都采用的行向量,在使用时常使用的是行向量的转置 ==> 列向量。
矩阵转置的性质
A转置后再转置 还是等于A本身
(A + B)的转置 ==> A转置 + B转置
(k . A)的转置 ==> k . A转置

证明思路:(A + B)的转置 ==> A转置 + B转置
假设A,B是任意矩阵

在 (A . B)的转置中 有些不同 ==> B转置 . A转置 !

证明思路:(A . B)的转置 ==> B转置 . A转置
A是m * k矩阵,B是k * n矩阵
AB是m * n 矩阵, AB的转置是 n * m 的矩阵
A的转置是k * m矩阵,B的转置是n * k的矩阵
(B的转置)(A的矩阵)是n * m的矩阵
矩阵不是简单的m * n个数。
在线性代数中,面对不同的应用,可以用不同的视角看矩阵。

















