Kalman滤波通俗理解+实际应用

article/2025/10/5 22:17:29

一、Kalman用于解决什么的问题?

          卡尔曼滤波是一种利用线性系统状态方程,通过系统输入输出观测数据,对系统状态进行最优估计的算法。由于观测数据中包括系统中的噪声和干扰的影响,所以最优估计也可看作是滤波过程。

        人话:

        线性数学模型算出预测值+传感测量值=更准确的测量值。

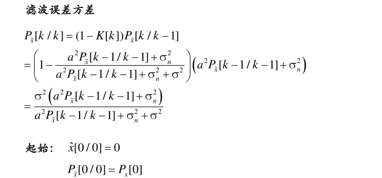
二、先来看一下姿态估计问题

三、看几个例子

(1)例题1

 (来源:https://wenku.baidu.com/view/07f7a96166ec102de2bd960590c69ec3d4bbdb51.html)

(2)例题2——运动模型,写出匀加速运动的状态转移方程

第一步,根据基本的物理运动方程,写出状态方程

第二步,写出观测方程模型

我开始也不明白这个观测方程是啥意思,实际上这是模拟传感器的测量值,S代表位移,V代表误差。这里代表目标测量量为位移。                                           

第三步,将第一步和第二步的状态方程与观测方程写成矩阵形式

根据对应关系,可以得到系数:

 其中A叫做状态转移矩阵G叫做控制矩阵H叫做预测矩阵

给定一个初值,就可以迭代得到后面的值了。

 三、计算流程

(来源:https://zhuanlan.zhihu.com/p/375148135)

preview

四、详细推导

 

 

 

下图更简洁的展示了计算流程:

其中F为控制矩阵,Q为预测不确定性,R为传感器噪声,H为映射矩阵,y为误差,

S为方差之和,K为卡尔曼增益,P为更新后的协方差 

 四、优秀解释

无人驾驶技术入门(十八)| 手把手教你写扩展卡尔曼滤波器:https://zhuanlan.zhihu.com/p/63641680

动手算一算温度

https://zhuanlan.zhihu.com/p/93011093

卡尔曼滤波示例

https://zhuanlan.zhihu.com/p/29191795

卡尔曼滤波:从入门到精通

https://zhuanlan.zhihu.com/p/36745755

卡尔曼滤波中关键参数的调整

https://zhuanlan.zhihu.com/p/37750839

一文理清卡尔曼滤波,从传感器数据融合开始谈起

https://zhuanlan.zhihu.com/p/158737818

自动驾驶基础技术(七)-无迹卡尔曼滤波Unscented Kalman Filter

https://zhuanlan.zhihu.com/p/89835447

扩展卡尔曼滤波参数估计实例解析

https://zhuanlan.zhihu.com/p/206664475

自动驾驶中无迹卡尔曼滤波器的应用(Unscented-Kalman-Filter)

https://blog.csdn.net/weixin_42737442/article/details/105281671

卡尔曼滤波及UKF原理与应用

https://blog.csdn.net/light169/article/details/107183461/


http://chatgpt.dhexx.cn/article/KOTGPnKJ.shtml

相关文章

IDEA开发及运行第一个Android项目

IDEA自动下载SDK、Gradle,保证能访问网络。 原来eclipse能使用的sdk,配到idea报错,就换成自动下载最新的了。 之前没成功可能是我防火墙禁用了上网。 新建项目 提示安装SDK 等待下载完成 继续建项目 选择手机或平板及目标设备API版本 选择…

怎么导入别人的android项目

到期末了好多同学都问我怎么把别人的安卓项目导进自己电脑里面,今天我来统一解答一下,希望有所帮助。 1.删除项目中原有的自动构建的文件 去到要导入项目的目录下把 .idea .gradle与build 三个文件夹,*.iml,local.properties删除…

android 开源项目:

android 开源项目: https://github.com/white-cat/ThinkAndroid 转自:http://glblong.blog.51cto.com/3058613/1354953 Android开源:数据库ORM框架GreenDao学习心得及使用总结 2014-01-26 23:40:01 标签: sqllite Android 开源…

Android项目工程结构介绍

Android项目工程结构介绍 (1)gradle和.idea Android Studio自动生成的文件,打包的时候一般会删掉再进行打包 (2)app 项目的代码资源都在其中,也是我们工作的核心目录 build :编译生成文件。生…

Android项目如何真机运行?

很多初学者在刚开始写Android项目的时候,会使用Android Studio自带的模拟器去运行项目,但是自带模拟器一般占内存大(占2G都算少的);运行慢(运行一个项目要启动半天);卡顿等等&#x…

26、Android创建项目

利用 Android Studio,您可以轻松地为各种类型的设备(例如手机、平板电脑、电视和可穿戴设备)创建 Android 应用。本页介绍了如何启动新的 Android 应用项目或导入现有项目。 如果您未打开项目,Android Studio 会显示欢迎屏幕&…

创建的第一个Android项目

Package name:项目的包名,一定要具有唯一性! 静待。。。 创建模拟器 版本问题找不到具体信息,就选择这一个把。相似度比较高。紧跟着后边我也配置了安卓10(Q) 提示你的反病毒程序可能会影响你的构建性能。…

Android开源项目

阿里巴巴 项目名称功能描述freelineFreeline 是 Android 平台上的秒级编译方案,Instant Run 的替代品,也可以从 Freeline 官方主页来获取更多的信息。Freeline 由蚂蚁聚宝 Android 团队开发,它可以充分利用缓存文件,在几秒钟内迅…

Android项目框架搭建(一)

本篇先记录下当前项目中涉及的主要技术要点。也算是对所作项目的一次总结。如果这个过程能对你有些许的帮助,那可能就显得有意义点了。 一个完整的Android项目会涉及后台和前端。我们只关注于前端,也就是我们的app本身。 下面列出项目架构需要具备的技…

创建安卓项目工程

安卓项目工程 前言一创建工程的步骤newproject找到empty配置相关信息创建成功 二、项目相关的文件1.llayoyt文件这个文件位于app\src\res\layout它运行的结果是,这个APP如果在手机上运行的话,会是什么样的界面 前言 说清楚这么创建一个安卓工程 并且运行…

2.Android Studio创建安卓项目及项目结构

-----------android培训、java培训、java学习型技术博客、期待与您交流!------------ 上一篇Android Studio搭建完成了,接下来我们就用Android Studio创建我们的安卓项目吧! 目录: 一、使用Android Studio 图形用户界面创建安卓工…

Android项目结构

Android项目结构 新建个空的安卓项目,打开,切换到project模式: 一、工程结构 1/ .gradle和.idea 这两个目录下都是AS自动生成的,无须关心,也不要手动编辑。 2/ app 项目中的代码、资源等几乎都在这里,…

Android项目工程目录简介

主工程目录: 一、.gradle 此文件夹是构建工具 Gradle 的配置文件夹,也会存储一些项目的构建缓存信息,在首次build项目时,会根据配置文件去下载这些文件,此文件夹是自动生成的文件夹,我们无需关心里面的内容…

Android创建项目

目录 创建Android项目 配置项目结构 创建安卓模拟器 模拟器运行 HelloWorld 应用 真机运行 HelloWorld 应用 创建Android项目 打开 Android studio 工具,选择Project,选择 New Project 由于现在是教程博客,所以我们随便选择 一个 空 Ac…

Android Studio创建安卓项目工程

Android Studio创建安卓项目工程 前言 因为想抽出时间复习考研因此提前接触安卓的一些开发,在实训的时候就可以不用再听讲学习,节省时间 随着前端混合开发和小程序技术的兴起,安卓开发的需求在日益减少。更多的学习是出于兴趣的缘故吧。 创…

八个Android项目源码

Android项目源码分享 给大家分享几个Android开发项目源码,大部分功能相信可以在实战项目中直接使用,供大家下载学习,大部分项目是基于 Android Studio开发,IDE为Eclipse的童鞋可通过网上教程自行转换,这里就不多说了。…

Android开发-创建安卓工程项目+安卓程序的运行

文章目录 前言一、为什么学习Android1.1、什么是Android1.2、Android的特点1.3、Android开发的前景 二、Android studio三、创建安卓工程项目四、第一个安卓程序的运行总结 前言 Android是基于linux平台的开源手机操作系统,该平台由操作系统,中间件&…

1、创建第一个Android项目

1.1、创建Android工程项目: 双击打开Android Studio。 在菜单栏File中new-->new project 3、在界面中选择Empty Activity,然后选择next 4、在下面界面中修改工程名称,工程保存路径选择java语言,然后点击finish Android studio自…

Android 如何创建项目

目录 一、创建流程二、Android Studio 主窗口三、链接 一、创建流程 1、安装最新版 Android Studio。 2、第一次打开Android Studio会弹出Welcome to Android Studio 窗口,在窗口中,点击 Create New Project。 如果您已打开一个项目,请依次…

Android开发-Android项目结构

文章目录 前言一、Gradle1.1什么是Gradle?1.2Gradle是一个构建工具,那么为什么要用构建工具? 二、项目结构三、app目录结构四、res目录结构总结 前言 Android工程的项目结构比较复杂,在进行Android开发前必须对Android项目的工程…