MATLAB数值分析学习笔记:线性最小二乘回归

article/2025/10/7 13:38:31

目录

问题引入

数学描述

数学实现

 最大似然原理(The Principle of Maximum Likelihood)

代码实现

问题求解:

非线性关系的线性化

问题求解

代码实现

 结果

内置函数

示例(求解“问题引入”) 

练习题:


问题引入

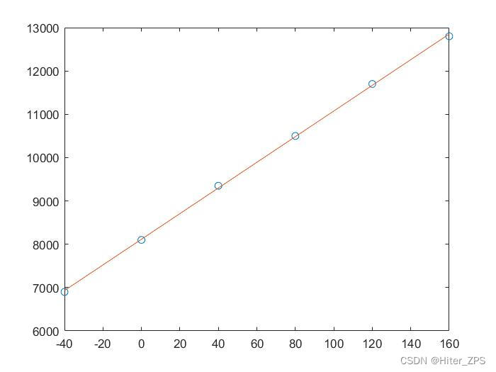
大家一定非常熟悉理想气体状态方程pV=nRT,假如我们现在要研究理想气体压强p(N/m^{^{2}})和温度T(°C)的关系,在实验室测得了一系列数据如表一所示,那么我们该如何处理这些数据呢?

表一 压强与温度对应表
T(°C)-4004080120160
p(N/m^{^{2}}6900810093501050011700

12800

由理想气体状态方程已知,当系统体积不变时,p和T成线性关系,处理这种数据的一个比较好的办法是本节所要讨论的方法——线性最小二乘回归。

数学描述

什么样的函数能最好的描述实验所得的数据点呢?当然是离所有数据点最近的函数!那么问题来了,什么样的函数才叫“离所有数据点最近”呢?

数学家们给出了残差(residual)的概念:实际观察值与估计值(拟合值)之间的差。

e=y-a_{0}-a_{1}x

这样一来,“离所有数据点最近”就好描述了,对于线性关系的数据点,我们只要找到一条直线使得所有有效数据点的残差之和达到最小即可!

可是这样描述有一个很大的缺陷,那就是正负残差会进行抵消,我们必须消除残差正负号的影响,在这里,我们考虑对残差进行平方求和,即

S_{r}= \sum_{i=1}^{n}e_{i}^{2}=\sum_{i=1}^{n}(y_{i}-a_{0}-a_{1}x_{i})^{2}

该方法即为最小二乘(least square)。

数学实现

为了确定a_{1}a_{0}的值,我们需要利用S_{r}达到最小这一条件。

对上式进行微分

\frac{\partial S_{r}}{\partial a_{0}}=-2\sum (y_{i}-a_{0}-a_{1}x_{i})\frac{\partial S_{r}}{\partial a_{0}}=-2\sum (y_{i}-a_{0}-a_{1}x_{i})

\frac{\partial S_{r}}{\partial a_{1}}=-2\sum [(y_{i}-a_{0}-a_{1}x_{i})x_{i}]

令导数等于0,可以得到

0=\sum y_{i}-\sum a_{0}-\sum a_{1}x_{i}

0=\sum x_{i}y_{i}-\sum a_{0}x_{i}-\sum a_{1}x_{i}^{2}

联立求解可以得到a_{0},a_{1}

a_{1}=\frac{n\sum x_{i}y_{i}-\sum x_{i}\sum y_{i}}{n\sum x_{i}^{2}-(\sum x_{i})^{2}}

带入到方程组可以得到

a_{0}=\bar{y}-a_{1}\bar{x}

这样就求出了a_{0},a_{1}

 最大似然原理(The Principle of Maximum Likelihood)

(1)在整个数据分布范围内,所有数据点与直线的距离都处于差不多的量级;

(2)数据点沿着直线分布符合正态分布

满足上述两个条件得出的a_{0},a_{1}是最优的,回归线的标准差就可以有下式计算

s_{y/x}=\sqrt{\frac{S_{r}}{n-2}}

下标y/x是由给定的x估计y的误差。注意分母的n-2是必要的:计算Sr时用到了两个估计值a_{0},a_{1},因此损失了两个自由度。

另外一种误差也值得注意,那就是平均值与数据点之间的差

S_{t}=\sum (y_{i}-\bar{y})^{2}

两个误差都跟拟合程度有关,不妨将二者结合,这样就得出了决定系数(coefficient of determination)的概念

r^{2}=\frac{S_{t}-S_{r}}{S_{t}}

r=\sqrt{r^{2}}称为相关系数(Correlation coefficient)

r=\frac{n\sum x_{i}y_{i}-\sum x_{i}\sum y_{i}}{\sqrt{n\sum x_{i}^{2}-(\sum x_{i})^{2}}\sqrt{n\sum y_{i}^{2}-(\sum y_{i})^{2}}}

相关系数定量地刻画了x和y的相关程度,即r越大,相关程度越大;r=0,对应相关程度最低


代码实现

function [a,r2]=linregr(x,y)
%linregr:线性回归拟合(linear regression curve fitting)
%       [a,r2]=linregr(x,y):对直线数据的最小二乘拟合%input:
%    x=自变量
%    y=因变量
% output:
%     a=a(1)-斜率;a(2)-截距
%     r2=决定系数n=length(x);
if length(y) ~= n, error("x向量和y向量必须等长");endx=x(:);y=y(:)
sx=sum(x);sy=sum(y);
sx2=sum(x.*x);sxy=sum(x.*y);sy2=sum(y.*y);
a(1)=(n*sxy-sx*sy)/(n*sx2-(sx)^2);%计算a1
a(2)=sy/n-a(1)*sx/n;%计算a2(文中的a0)
r2=((n*sxy-sx*sy)^2)/((n*sx2-(sx)^2)*(n*sy2-(sy)^2));%相关系数xp=linspace(min(x),max(x),20*n);
yp=a(1)*xp+a(2);
plot(x,y,'o',xp,yp)
grid on
end

问题求解:

将问题引入部分问题的数据带入

x=[-40	0	40	80	120	160];
y=[6900	8100	9350	10500	11700	12800];
[a,r2]=linregr(x,y)

获得拟合结果

>> linregr_test
a =1.0e+03 *0.0296    8.1152
r2 =0.9997

 发现决定系数为0.9997,代表拟合的很好,这从拟合图像中也可以看出。

非线性关系的线性化

线性回归的用处很多,它还可以对非线性数据进行拟合!对于某些情况,我们可以将非线性转化为线性进行拟合,得到系数后利用反函数回到非线性。

  • 指数方程(a)

y=\alpha _{1}e^{\beta _{1}x}

应用:人口增长,放射性衰变……

  • 幂方程(b)

y=\alpha _{2}x^{\beta _{2}}

常用来描述基本模型未知的拟合。

  • 饱和增长方程(c)

y=\alpha _{3}\frac{x}{\beta _{3}+x}

人口限制增长,生态环境……

 上述模型均可以转换为线性形式,然后进行线性拟合。

例如,对指数模型线性处理:

lny=ln\alpha _{1}+\beta _{1}x

对幂方程线性化

logy=\alpha _{2}log+\beta _{2}logx

对饱和增长方程

\frac{1}{y}=\frac{1}{\alpha _{3}}+\frac{\beta _{3}}{\alpha _{3}}\frac{1}{x}

对应带入相关的a1,a0即可求出拟合关系。

问题求解

例一:人的表面积A与体重W和身高H有关。下对几个身高为180cm的志愿者进行了相关测量,得到表二

W/kg7075778082848790
A/m^{2}2.102.122.152.202.222.232.262.30

若数据非常适合用幂方程进行拟合:A=aW^{b}

(1)估计a,b的值并绘出拟合图;

(2)计算95kg的人的表面积。

代码实现

x=[70	75	77	80	82	84	87	90];
y=[2.10	2.12	2.15	2.20	2.22	2.23	2.26	2.30];
[a,r2] = linregr(log(x),log(y))figure(2)
A = @(W) exp(a(2)).*W.^(a(1));
fplot(A,[70,90])
exp(a(2)) * 95^(a(1))%W=95kg时的表面积

 结果

>> linregr_test
a =0.3799   -0.8797
r2 =0.9711
ans =2.3404

内置函数

MATLAB内置polyfit函数和polyval函数可以分别求解数据的n次最小二乘拟合多项式和特定点取值。

用法:

  • p=ployfit(x,y,n) 返回次数为 n 的多项式 p(x) 的系数,该阶数是 y 中数据的最佳拟合(在最小二乘方式中)。p 中的系数按降幂排列,p 的长度为 n+1

p(x)=p1xn+p2xn−1+...+pnx+pn+1

  • y=polyval(p,x) 计算多项式 p 在 x 的每个点处的值。参数 p 是长度为 n+1 的向量,其元素是 n 次多项式的系数(降幂排序):

示例(求解“问题引入”) 

x=[-40	0	40	80	120	160];
y=[6900	8100	9350	10500	11700	12800];
a=polyfit(x,y,1)
X=linspace(-40,160);
Y=polyval(a,X);
plot(x,y,'o',X,Y)
>> polyfit_test02
a =1.0e+03 *0.0296    8.1152

 

练习题:


1.研究人员考察细菌生长率k(每天)与氧气浓度c/(mg/L)的关系,得到实验数据表格如表三

c0.50.81.52.54
k1.12.55.37.68.9

提示:采用k=\frac{k_{max}c^{2}}{c_{s}+c^{2}}进行拟合。

(1)利用线性回归估计cs和kmax;

(2)并计算c=2mg/L时的生长率。


2.理论上细菌在培养皿中的繁殖情况可以描述为

\frac{dX}{dt}=\mu X

式子中X表示细菌数量,\mu表示特定繁殖率。请根据表中数据估算\mu

时间/h0123456
细菌/(g/L)0.1000.3351.1021.6552.4533.7025.460

声明:文章来源于笔者学习【美】Steven C. CHapra所著,林赐译 《工程于科学数值方法的MATLAB实现》(第4版)的笔记,如有谬误或想深入了解,请翻阅原书。 


http://chatgpt.dhexx.cn/article/JokPY89l.shtml

相关文章

R语言实现偏最小二乘回归法 partial least squares (PLS)回归

偏最小二乘回归是一种回归形式 。 当使用pls时,新的线性组合有助于解释模型中的自变量和因变量。 最近我们被客户要求撰写关于偏最小二乘回归的研究报告,包括一些图形和统计输出。 在本文中,我们将使用pls预测“收入”。 library(Ecdat…

偏最小二乘回归 Matlab

什么是偏最小二乘回归? 偏最小二乘回归(英语:Partial least squares regression, PLS回归)是一种统计学方法,与主成分回归有关系,但不是寻找响应变量和自变量之间最大方差超平面,而…

偏最小二乘回归预测(MATLAB源码)

偏最小二乘回归(英语:Partial least squares regression, PLS回归)是一种统计学方法,与主成分分析有关系,但不是寻找响应变量和自变量之间最大方差的超平面,而是通过投影分别将预测变量和观测变…

MATLAB-偏最小二乘回归分析

偏最小二乘回归提供一种多对多线性回归建模的方法,特别当两组变量的个数很多,且都存在多重相关性,而观测数据的数量(样本量)又较少时,用偏最小二乘回归建立的模型具有传统的经典回归分析等方法所没有的优点。 偏最小二乘回归分析在建模过程中集中了主成分分析,典…

MATLAB实现偏最小二乘回归PLS

这一定是一篇真正的傻瓜攻略,原理为根,算法为骨,应用为肉,傻瓜为皮。 本文主要介绍偏最小二乘回归的基本实现,主要内容基于司守奎《数学建模算法与应用》第11章,在其基础上进行优化。 偏最小二乘回归分析 …

第10章 最小二乘线性回归分析

目录 10.1简单线性回归分析 1.描述性统计分析 2.对数据进行相关性分析 3.对数据进行回归分析的结果 4.变量的方差-协方差矩阵 5.对变量系数的假设检验结果 6.对因变量的拟合值的预测 7.回归分析得到残差序列 案例延伸 1.在回归方程中不包含常数项 2.限定参与回归的样…

普通最小二乘(OLS)回归

口译: (Interpreting:) OLS (Ordinary Least Squared) Regression is the most simple linear regression model also known as the base model for Linear Regression. While it is a simple model, in Machine learning it is not given much weightage. OLS is one such mo…

最小二乘法:求回归直线方程

最小二乘法:使离差平方和 (i1~n) ∑(yi-yi) 最小的方法 结论:设回归方程为ybxa;解得 回归直线方程:在一组具有相关关系的变量与数据的(x,y)间&#xff0…

最小二乘回归

最小二乘法(Least squares又称最小平方法)是一种数学优化技术。它通过最小化误差的平方和寻找数据的最佳函数匹配。利用最小二乘法可以简便地求得未知的数据,并使得这些求得的数据与实际数据之间误差的平方和为最小。最小二乘法还可用于曲线拟…

离线安装IE 11

转自:http://blog.sina.com.cn/s/blog_711ab1b10102wzq1.html 1、在D盘下,新建文件夹,取名为“ie”。 2、将官网下载的IE11离线包放到此文件夹中。 3、为了后续步骤方便,可以将离线包重命名为IE11.exe。 4、打开cmd窗口&#xff0…

Microsoft Edge离线安装包下载

#Microsoft Edge 现已准备就绪 下一版 Microsoft Edge 已准备好进行企业评估。 立即下载离线安装程序、查看管理策略并尝试 Internet Explorer 模式。 下载链接

安装IE11提示“Internet Explorer在安装前需要更新”

在Windows 7上安装IE11浏览器时,发现如下报错提示: 此问题一般会出现在未安装过更新的windows系统上,一般可以通过系统更新安装补丁的方式来解决,但是系统自带的更新会按照发布顺序将所有微软发布的补丁都安装上,耗费…

安装ie11提示计算机安装了更新的版本,离线安装IE11浏览器提示quot;获取更新quot;解决方法 - 191路由网...

原标题:"Win7系统离线安装IE11浏览器提示"获取更新"如何解决?"相关电脑问题教程分享。 - 来源:网络投稿。  Win7系统离线安装IE11时出现提示“获取更新”如何解决?IE11浏览器是目前IE浏览器已知最高的版本,…

electron离线安装

公司因为安全原因,导致连不上npm的镜像,查找了资料,终于找到一种离线安装 electron 全局开发环境的方法,分享并记录一下: ps: 如果能用淘宝镜像,直接设置npm config set ELECTRON_MIRROR https://npm.taobao.org/mirr…

chrome浏览器离线安装包下载地址

在谷歌官网下载的chrome浏览器,下载的是安装器,要通过联网安装,谷歌浏览器官网:https://www.google.com/intl/zh-CN/chrome/https://www.google.com/intl/zh-CN/chrome/ 最新版本的统一下载链接,通过以下链接下载的都是…

如何下载谷歌浏览器官方最新离线安装包

谷歌浏览器最新离线安装包下载 问题描述 由于工作需要,想在内网机中安装谷歌浏览器,但是内网机是没有网的,所以想着下载一个谷歌浏览器官方最新离线安装包,看似挺简单的工作,但实际上下载还是很麻烦,经过…

【已解决】在Win11上离线安装 .NET Framework 3.5的方法【含网盘离线文件】

随 Windows 11提供的是.NET Framework 4.8,该环境可以运行任何 .NET Framework 4.x 应用。 而.NET Framework 3.5 支持为 .NET Framework 2.0 到 3.5 生成的应用,需要自行安装。 当Win11的应用软件需要.net framework3.5的运行环境时,就会提…

win11电脑安装ie11浏览器

win11系统本身是自带ie11的,只是把这个浏览器屏蔽掉了 首先要替换这两个文件 C:\Windows\System32 和 C:\Windows\SysWOW64 替换之后找到这个目录 把ie右键发送到桌面快捷方式 文件下载链接(0积分):https:…

Windows7安装IE11步骤和中文安装包超简单

此安装包仅限Win7 SP1(Service Pack1)其他本版装不上。 亲测:安装VS2015 提示安装IE10,安装此浏览器可以解决。 链接:https://pan.baidu.com/s/1OhLIlHbkSqXRiwKDjG5fwg 提取码:izd4 示例为win7-64bit…

IE11的安装方法和更新补丁

windows 7操作系统自带IE 8 升级到IE 11的方法 1、查看当前操作系统的系统位数是64位还是32位,这里不在赘述怎么查看,是64位操作系统安装x64文件夹里面的程序,是32位操作系统安装X86文件夹里面的程序; 2、如下如图,依…