图网络大体分类
- 递归图神经网络(Recurrent Graph Neural Networks)
- 图卷积神经网络(Graph Convolution Networks)
- 图注意力网络(Graph Attention Networks)
- 图自编码器(Graph Auto-encoder)
- 图时空网络(Graph Spatial-Temporal networks)
- 图生成网络(Graph Generative Networks)
- 图强化学习(Graph Reinforcement Learning)
- 图对抗学习(Graph Adversarial Methods)
更通用的框架,更一般的框架分类方式
- MPNN:图神经网络和图卷积 / Message Passing neural Networks
- NLNN:统一 Attention / Non-local Neural Networks
- GN:统一MPNN和NLNN / Graph Networks
图计算任务框架
- 节点问题
- 边:将两个节点作为输入,输入边的预测
- 图:图分类/图匹配/图生成
图上任务类别
- 半监督任务:节点
- 有监督:图/节点
- 无监督:图嵌入
图的类别
- 异构图 :图中点与点之间的关系,边与边之间的关系是不一样的
- 引文网络中,用户和论文之间存在关系,论文和期刊之间存在关系,但是点的属性类型是不一样的
- 二部图:存在两部分节点 ,同一部分节点之间没有边连接,不同部分之间的节点可以有边连接
- 用户在某个电商网站购买物品,用户与用户之间无法连接,用户和物品之间可以连接
- 多维图:点和点之间的边存在多种类型的属性
- 一个用户可以浏览、购买物品 浏览和购买为 用户和商品之间的多种关系
- 符号图:点和点之间的边存在相反属性的关系
- 社交网络中,用户和用户之间的关系为朋友或非朋友,属于积极或消极关系中的一种
- 超图:一条边可能会连接两个以上的点
- 每个边所包含的定点个数相同且为k个,就可成为k阶超图,常见的图是二阶超图
- 动态图: 随着新节点被添加到图中,图在不断发展,并且新边也在不断出现。
- 例如,在诸如Facebook的在线社交网络中,用户可以不断与他人建立友谊,新用户也可以随时加入Facebook。 这些类型的演化图可以表示为动态图,其中每个节点或边都与时间戳关联。
循环神经网络(Recurrent Graph Neural Networks)
利用相同的递归参数,不断地学习节点的高层特征

- hv表示节点在当前层的特征,hu表示节点的邻居特征,求和表示聚合了节点周围邻居节点的特征
- 然后通过GRU的函数学习节点的下一层的节点表示

RGNN与GCN的不同点在于
- RGNN中间层所用的参数都一样,GCN每层所用的参数都不一样
图卷积神经网络 (Graph Convolution Networks)
-
GCN,GraphSAGE :利用节点和节点周围的信息,不断聚合,得到节点的高层表示,认为邻居节点具有一个排列物边径
-
PATCH-SAN :
- 首先得到节点周围的邻居信息
- 然后得到邻居信息的一个有序的排列

- 首先选择红色节点,绿色节点表示对红色节点的一节邻居节点,黄色表示二阶节点
- 每个邻居节点的选择顺序根据节点的度来定义,按照一阶度、二阶度的顺序对节点进行排序,然后形成一个有顺序的序列,
- 之后采用CNN的方式进行训练
- 算法流程:

图注意力网络 GAT
通过attention系数 加权求和 邻居节点的信息 学习节点的下一层特征表示

- 使用Attention的方式定义局部更新函数
- attention:加权平均
- 如何去聚合相邻节点的信息? 使用当前节点的隐表示作为query,在相邻节点表示上做了Attention
- 使用某种方式计算出权值 e i j e_{ij} eij
- 然后利用权值 将相应的key 和 value 加权平均起来
- 然后使用当前节点的隐表示作为query
- 然后利用attention里的方法 聚合信息
- GAT可以让我们自动去学习不同邻居的一个权重
图自编码器(Graph Auto-encoder)
-
GAE(Auto-encoder)
-
输入一张图,然后通过一层GCN学习到图的一个隐层节点的特征表示
-
再求隐层节点与其特征的转置 做内积 即可还原出一张图
-
然后计算输入图和输出图的结构性误差,将其当做损失函数,求损失函数的最小值
-
然后就可以学习到encoder的GCN的参数
-

-
与深度学习的 Auto-encoder类似,将encoder换成GCN,将decoder换成特征与其转置相乘
-
-
VGAE(VAE)
- 输入一张图,经过两层的GCN,第一层GCN共享参数,第二层GCN学习两个参数,然后将两个参数组合在一起,得到一个向量表示
- 然后通过 节点与其特征的转置 做内积,即可还原出一张图
- 然后计算输入图和输出图的结构性误差,将其当做损失函数,求损失函数的最小值
- 然后就可以学习到encoder中的GCN的参数的值

图时空网络(Graph Spatial-Temporal networks)
- 同时考虑图的 空间性 和 时间性 的维度
- 比如在交通领域,速度传感器会随着时间的维度不断变化,不同的传感器之间在空间中也会形成连接空间维度的边
- 当前的许多方法都应用GCN来捕获图的依赖性,使用一些 RNN 或 CNN 来求取时间的依赖性
图生成网络(Graph Generative Networks)
- 通过 RNN 或 GAN 的方式生成网络
- 有前景的应用领域 :化合物合成
- 在化学图中,原子被视为节点,化学键被视为边
- 起任务是发现具有某些化学和物理性质的新的可合成分子
图强化学习(Graph Reinforcement Learning)
- 采用强化学习的方法,应用在图网络
图对抗学习(Graph Adversarial Methods)
- 将GAN的思想引入到图网络
- 用生成器生成样本
- 然后用分类器去判别样本
MPNN:Message Passing Neural Networks 消息传递网络
-
消息传递阶段
-
消息传递函数 Mt:聚合 节点和其周围邻居节点以及边的信息
-
更新函数 Ut:通过节点的本身向量,以及消息传递函数聚合的特征 更新节点的下一层特征表示
-
ReadOut阶段
- 将消息传递阶段得到的每一个节点的特征组合在一起经过一个R函数,得到图的特征表示
- y ^ = R ( h v T ∣ v ∈ G ) \hat y = R({h^T_v | v ∈ G}) y^=R(hvT∣v∈G)
- ReadOut函数需要满足的条件:保证节点排列的不变性
-
-
为何说其统一了图卷积网络?
- Mt函数聚合了节点本身以及周围邻居节点的信息
- 如果其是GCN,就相当于做了第一层的本身节点的自连接( h v t h_v^t hvt)以及邻居节点( h w t , e v w h^t_w,e_{vw} hwt,evw)的聚合
- 如果其是GraphSAGE,Mt函数相当于对周围邻居节点进行采样,然后通过Ut函数将本节点( h v t h_v^t hvt)以及周围邻居节点的信息( m v t + 1 m^{t+1}_v mvt+1)进行聚合得到下一层的节点表示
- Readout函数相当于将所有的节点特征放在一起,学习图的特征表示
NLNN:Non-local Neural Networks 非局部的神经网络

- 聚合所有与i节点相关联的j节点的信息,做一个求和
- 再用归一化的方式,求得新的特征表示
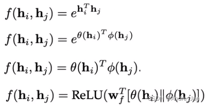
- 其中:i、j节点之间的关系可以使用许多变异的关系函数来求得,如
- 为何说统一了自注意网络
- f ( x i , x j ) f(x_i,x_j) f(xi,xj)相当于attention的系数
- 如果是应用在GAT上,就相当于是i节点与j节点拼接之后,再使用一个α向量去求attention的系数
- g ( x j ) g(x_j) g(xj)相当于是邻居节点经过一个函数转换,然后与不同的attention系数 进行求和得到下一层节点 的表示
- f ( x i , x j ) f(x_i,x_j) f(xi,xj)相当于attention的系数
GN:Graph Network
-
GN block
-
更新函数
- e k ′ e'_k ek′:更新边后的特征, v ‾ i ′ \overline v'_i vi′:更新节点后的特征, u’ :更新全局后的特征
- r k r_k rk表示receiver节点的索引, s k s_k sk表示sender节点的索引, e k e_k ek 表示边的属性,u表示一个全局属性
- v r k v_{r_k} vrk , v s k v_{s_k} vsk
-

- e ‾ i ′ \overline e'_i ei′:聚合邻居后的特征, e ‾ ′ \overline e' e′:更新所有边后的特征, v ‾ ′ : \overline v': v′:更新所有点后的特征
-
算法流程
-

-
遍历所有的边,根据边和点的特征,更新所有的边
-
遍历所有的点,通过下面三个操作,得到所有更新节点的属性
- 将所有更新之后的边特征和点聚合在一起,得到点的邻居的信息
- 将点的领域信息聚合在一起,得到点得周围领域聚合之后的特征表示
- 将聚合之后的边的特征与节点本身的特征在加上全局属性,得到节点新的特征表示
-
再使用全局更新函数更新全局边的信息,点信息
-
然后使用更新完的边和点的属性,加上之前的全局属性 更新一个全局属性u’
-
-
-
示例
-

-
执行流程
-
-
GN网络如何统一MPNN和NLNN?
-
MPNN应用

-
NLNN应用

-













![[C语言]求一个数是否是2的n次方](https://img-blog.csdnimg.cn/08bce612985d440cb5f4869b2a059630.png?x-oss-process=image/watermark,type_d3F5LXplbmhlaQ,shadow_50,text_Q1NETiBASmlhbmdfeXVfaGFu,size_20,color_FFFFFF,t_70,g_se,x_16)





