在LaTex中,输入单双引号并非直接用键盘上的双引号键。
双引号的正确输入:
- 左引号:按两次 ` (即主键盘区左上角,Tab键上方的键)。
- 右引号:按两次 ' (即分号右,回车左的键)。
同理单引号的输入,即将上述操作改为按一次 `和 ' 。
切勿直接左右都直接输入引号!下面用一个对比实例说明二者区别:
%% LaTex正文1.
wrong "example"
correct ``example''2.
wrong 'example'
correct `example'3.
Tom's pen.
其编译效果如下:

常见易错点:
1. 省略号.
在latex中,连续输入三个句号(即 .)来表示省略号是不规范的,具体的:
\cdots是横向的居中的省略号\vdots是竖向的省略号\ddots是对角线方向的省略号\ldots是跟文本底线对齐的省略号
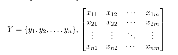
同样,举例:
$$
Y=\{y_1, y_2, \ldots, y_n\},\\
\begin{bmatrix}x_{11} & x_{12} & \cdots & x_{1m} \\x_{21} & x_{22} & \cdots & x_{2m} \\\vdots & \vdots & \ddots & \vdots \\x_{n1} & x_{n2} & \cdots\ & x_{nm} \\
\end{bmatrix}
$$
其编译结果为:

2. 命令后的空格
LaTex 会忽略命令(command)后面的空格。如果你希望在命令后面得到一空格,可以 在命令后面加上 {} 和一个空格,或者加上一个特殊的空白距离命令。{ } 将 阻止LaTex吞噬掉命令后面的空格。如下:

其他LaTex指令参见:http://www.mohu.org/info/lshort-cn.pdf
http://www.mohu.org/info/lshort-cn.pdf


















