度量学习DML之Contrastive Loss及其变种_程大海的博客-CSDN博客
度量学习DML之Triplet Loss_程大海的博客-CSDN博客
度量学习DML之Lifted Structure Loss_程大海的博客-CSDN博客
度量学习DML之Circle Loss_程大海的博客-CSDN博客
度量学习DML之Cross-Batch Memory_程大海的博客-CSDN博客
度量学习DML之MoCO_程大海的博客-CSDN博客
数据增强之SpecAugment_程大海的博客-CSDN博客
数据增强之MixUp_程大海的博客-CSDN博客
度量学习的目标:
- 相似的或者属于同一类的样本提取到的embedding向量之间具有更高的相似度,或者具有更小的空间距离
- 对于out-of samples的样本,也就是未见过的样本,希望也能提取到有效的embedding,也就是模型的泛化能力更好
Circle Loss
论文:《Circle Loss: A Unified Perspective of Pair Similarity Optimization》
参考:Circle Loss 感想 - 知乎
参考:如何理解与看待在cvpr2020中提出的circle loss? - 知乎
以往的损失函数(如Triplet Loss)是通过训练使positive之间的相似度
大于positive和negative之间的相似度
,损失值的计算是通过
(有时也写作
)这种方式实现的,这种计算方式有一个特点,就是为了满足“positive之间的相似度
大于positive和negative之间的相似度
”这个条件,有两个优化方向:1)、增大
;2)、降低
。这两个优化方向的权重是相同的,这就导致了在同一个限制条件
下,在决策边界上的所有点都满足这个限制条件。如下图(a)中,只要
和
之间满足
就行,这条决策边界上的任何点都是符合优化条件的。Cirlcle Loss认为这种方式是不灵活的,直觉上应该是偏离最优目标更远的样本对更应被重视,而不是一视同仁,Circle Loss就是以这个为出发点来设计的,如下图(b)。

上图中(a)就是传统损失函数的处理方法,当
和
之间不满足
时,这时候就需要优化
或者
,或者同时优化
和
使得满足
。在上图(a)中,
,
,这两个点都满足当
时的不等式条件,那么将C这个点优化到
或者
哪种结果是最好的呢?
Circle Loss认为离最优值越远的样本对应该具备更大的优化权重,所以对
和
分别进行了独立加权,这样优化目标就变成了
,其中
是
的线性函数,
是
的线性函数,且
和
相互独立,用来控制
和
自适应优化步长(allowing each similarity score to learn at its own pace)。对于上图中的A,B,C三个点,在相同的限制参数
控制下,图(a)中将A、B、C可能被优化到决策边界上的任意一点,图(b)中将A、B、C三点优化到圆形的决策边界
上,经过Circle Loss优化后的
和
之间的分离度更大,效果更好。
假设有一个空间特征向量embedding是
,假设与
属于相同ID的样本有K个,与
属于不同ID的样本有L个,即
,
。在Circle Loss中,作者首先提出了一个基础版的损失函数如下:

从上式可以看出,上述损失函数也是可以同时处理一个batch中的多个positive和多个negative的,分别计算batch中每一个positive和每一个negative之间的损失值,
用来控制
和
之间的分离度,
起到损失尺度缩放的作用。
上述损失函数的决策边界是
,对于
和
的优化权重是相同的,Circle Loss对此进行改进,使用自学习得到的权重参数
和
来控制
和
的学习步长,Circle loss的损失函数如下:

和
是非负的权重参数,用来控制
和
的梯度大小。当
和
与最优值偏离较大时,具有较大的梯度,偏离较小是,具有较小的梯度。假设
和
的最优值分别是
和
,那么对应的
和
定义如下:

上述公式说明,当
时,说明得到的
已经足够好了,不需要再进行惩罚了,同理,对于
也一样。在
优化方法中,限制参数
对于
和
是等价的,作用于
上就是加上一个
,作用于
上就是减去一个
。但是在上述Circle Loss的公式中,由于引入了
和
,导致
和
的优化不再是等价的了,因此需要对
和
分别使用独立的限制参数
,分别记做
和
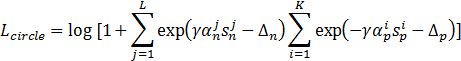
,Circle Loss的计算公式进一步演变为:

其中
和
分别用来控制异类和同类之间的margin大小。Circle Loss期望
,
。这样的话Circle Loss就有5个超参数
、
、
、
和
。为了简单起见,作者将p
、
、
和
设置如下:
![]()
![]()
![]()
![]()
,
,
,
越小,对于训练集要求得到的预测置信度越高,在训练集上的拟合程度就越高,对于unseen的数据泛化能力就相对差一些,反之同理(不清楚这样理解是否恰当)。这样的话Circle Loss就只有两个超参数
和
了。

上图是关于超参数
和
的对比实验结果。

通过上图可以看到,在Circle Loss中,当
越小时,得到的
越大,
越小。
Circle Loss实际用起来效果确实很nice,在使用时batch_size一定要大,不然效果就不是很nice了,我目前使用的batch_size=2048。
参考:深度度量学习-论文简评 - 知乎
参考:深度度量学习中的损失函数 - 知乎
参考:GitHub - KevinMusgrave/pytorch-metric-learning: The easiest way to use deep metric learning in your application. Modular, flexible, and extensible. Written in PyTorch.
参考:PyTorch Metric Learning















