多重积分

article/2025/10/12 7:23:09

重积分终于学完了,感觉掌握的还不是很牢固,借着这次总结,争取把重积分学牢固!
首先是二重积分的定义以及物理意义
在这里插入图片描述
更正一下,上图ps:该柱体的底面在区域D上。
在这里插入图片描述
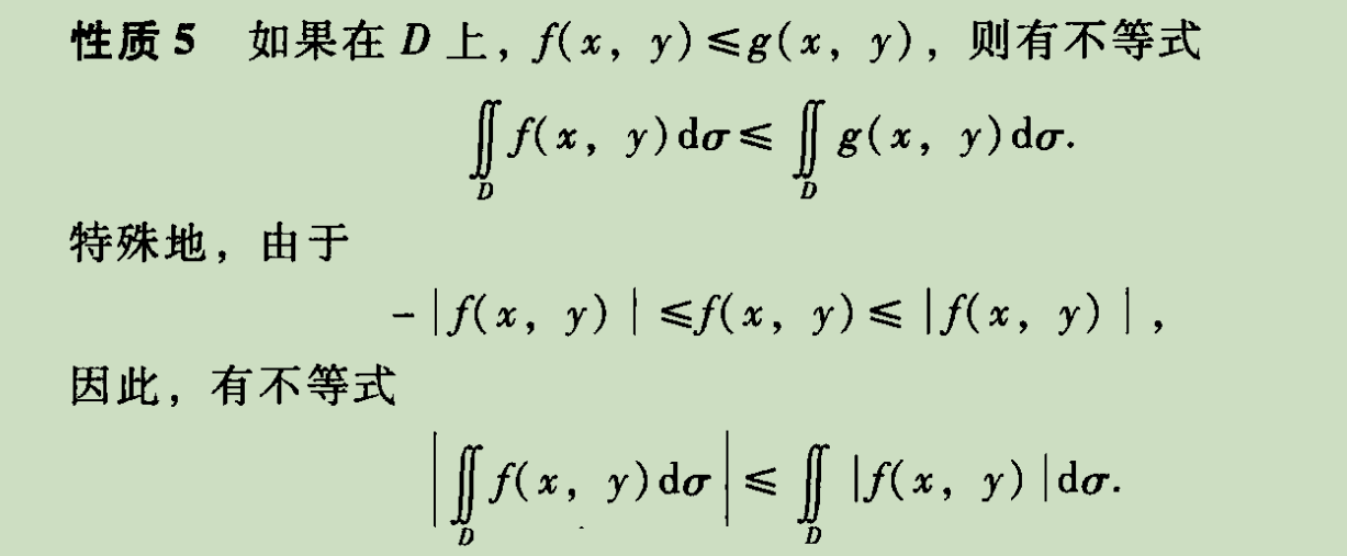
二重积分的性质中,有三条挺重要,证明题中可能会用到
在这里插入图片描述在这里插入图片描述在这里插入图片描述应用以上性质,可以试着解一下下面这道题
在这里插入图片描述
二重积分的计算中,直角坐标系下计算比较简单,就不再列举(注意积分次序的选择)

利用对称性定理可以更方便的解题
在这里插入图片描述
在这里插入图片描述
对称性原理在三维空间中的应用在这里插入图片描述
极坐标系下计算二重积分(注意多一个r)在这里插入图片描述极点与积分区域的三种位置关系在这里插入图片描述
在这里插入图片描述没什么要求,记住就好在这里插入图片描述二重积分中的换元积分(雅可比行列式是关键)在这里插入图片描述在这里插入图片描述------------------------------------------------------------------------------------------------------
三重积分在这里插入图片描述
直角坐标系中:在这里插入图片描述
然后再观察z=0时,平面区域是x形域还是y形域在这里插入图片描述三重积分的柱面坐标公式在这里插入图片描述例题在这里插入图片描述在这里插入图片描述在这里插入图片描述在这里插入图片描述在这里插入图片描述
球面坐标系下计算三重积分在这里插入图片描述在这里插入图片描述在这里插入图片描述有关三重积分的换元和二重积分类似在这里插入图片描述结论最好记住在这里插入图片描述
——————————————————————————————————
重积分的应用
1、求曲面面积在这里插入图片描述2、求质心在这里插入图片描述例题
在这里插入图片描述
3、转动惯量在这里插入图片描述4、引力(可能在这之前还要求质心坐标)在这里插入图片描述
另外,我感觉这道题思路很独特!在这里插入图片描述
还有感觉比较难的证明题在这里插入图片描述
主要是理解二重积分(求平面薄板的质量,面密度对于平面的积分和求曲顶柱体的体积,高度对于平面的积分)和三重积分的意义(求空间物体的质量,体密度对于体积的积分),记忆二重积分在直角坐标系和极坐标系下的公式以及三重积分在直角坐标系、柱坐标系和球坐标系下的公式。还有用二重积分求曲面的面积公式,求质心、转动惯量、引力公式(‘’‘重要的是还要学会一元函数的积分’‘’ps:我现在还不会。。。)


http://chatgpt.dhexx.cn/article/6UQsWXBC.shtml

相关文章

超越实数系构建微积分已经不再是梦想

请看以下相片: 这是当代最多产的数学家Saharon Shelah的近照。截至到2012年,S.Shelah共计发表1,000多篇数学论文(其中220篇是与别人合著)。S.Shelah生与1945年7月3日,国籍以色列,其师M.Rabin是知名计算机科…

高数 | 【重积分】二重积分中值定理

参考来源 一次性彻底搞懂大纲新增的二重积分中值定理_哔哩哔哩_bilibili

超越函数

代数数 在数论中,超越数是指任何一个不是代数数的数字(通常它是复数)。它满足以下条件——只要它不是任何一个整系数代数方程的根,它即是超越数。最著名的超越数是e以及π。 超越数 超越数的例子 所有超越数构成的集是一个不可数…

超越函数e^(-x^2)的定积分

∫e^(x^2)dx 是超越积分(不可积积分),它的原函数是非常规的 可求其定积分:

考研数学总结

1.原函数和变限积分的区别: 如果一个函数是连续的,那么∫f(x)dx和∫(a,x)f(x)dx区别不大,后者属于前者的一部分,前者是原函数,包括多个,后者是变限积分只是一个函数,这里a是常数。 如果函数存在…

第一篇博 - TIBCO Spotfire (19-07更新)

之前09-12年在TIBCO服务过,后来离开TIBCO后,去了两家大数据相关的大神公司游荡了5年多,去年又回来了。 在国内主推一系列的TIBCO产品,发现时代变化了,10年前很火的SOA等概念目前在国内好像再提太out,去谈T…

TIBCO Spotfire使用技巧:如何使Spotfire表或散点图中呈现链接中图片

这是小秦总结的实战技巧文章,请各位亲移步如下博文: https://blog.csdn.net/qjh1186951107/article/details/85071082

TIBCO Spotfire使用技巧:如何在Web网页中嵌入TIBCO Spotfire可视化视图

这是众多使用TIBCO Spotfire做开发及部署时候,大家问的最多的问题! Larry哥每次在跟各位盆友交流的时候,在回答这个问题总是说,so easy,各位请看这页屁屁踢,然后就蒙混过关了,大家也就不再问我…

Spotfire架构初探(Spotfire Architecture Overview)

使用Spotfire已一年有余了,发现对其了解还是不够深入。还需要继续好好学习。 今天,就从架构入手吧。

TIBCO Spotfire: JavaScript可视化框架 - JSViz

介绍 TIBCO Spotfire社区中经常讨论的一个话题,是对新的可视化类型的支持。客户经常会提出一些Spotfire当前不支持的但是在POC期间要求支持的可视化类型,这该怎么办呢?客户要求对现有可视化进行简单的自定义,例如移动标签,听起来很简单,但如果没有大量编码,几乎不可能实…

Spotfire 表达式之日期和时间函数

函数 说明 DateAdd(Arg1, Arg2, (Arg3)) 向日期、时间或日期时间添加间隔。该方法可添加时间跨度或表示指定日期或时间部分的整数(例如,很多天)。 如果已添加时间跨度,将需要两个参数:日期时间列和时间跨度列。 …

【Spark | SparkStreaming】

原理 架构 实战 RDD 队列 val rddQueue new mutable.QueueRDD[Int] 自定义数据源 用法及说明 需要继承 Receiver,并实现 onStart、onStop 方法来自定义数据源采集。 class CustomerReceiver(host: String, port: Int) extends Receiver[String](StorageLeve…

Spotfire数据分析案例分享——几个国家的人口抚养比趋势及对比(Dependency ratio trends and compare)

从世界银行官网上下载了少数几个国家从1960年至今的人口数据,用Spotfire进行了一些数据分析,对人口学的一些指标有了新的认识,感觉还是挺有意义的。 人口抚养比(Dependency ratio)的中文解释(来自百度&…

Spotfire 的排名函数Rank和DenseRank

Rank、DenseRank 和 RankReal 函数 参考以下表格: 函数说明DenseRank(Arg1, Arg2, Arg3...)将返回选定列中各值的整数值排名。第一个参数是要进行排名的列。 可选参数是字符串,可决定使用升序排名 (默认) 还是降序排名。要检索排名 1 以获得最大值&…

Spotfire 使用IronPython脚本

脚本位置:文件->文档属性,新建即可。 1、使用IronPython检查数据表是链接到源还是嵌入在Spotfire中 from Spotfire.Dxp.Data import *tableDocument.Data.Tables["表名"]found,tableSettingsApplication.Document.Data.SaveSettings.TryGe…

Spotfire经验总结—累积百分比(帕累托图)的绘制方法

在Excel中绘制帕累托图,可使用“数据分析”模块进行绘制。 Spotfire中的图表类型中,并没有“帕累托图”这一选项,那么应该如何绘制呢? 1. 图表类型需选择“Combination Chart” 2. 需添加一列“Cumulative Sum”并修改公式为“S…

【保姆级】-spotfire服务端、客户端安装部署(V7.8)

文章目录 一、Spotfire安装简介架构模式 二、安装配置Spotfire服务器执行数据库初始化脚本运行setup-win64.exe附:配置工具bootstrap文件(可跳过)运行配置工具 三、部署包四、部署节点安装节点后到控制台进行信任节点 安装spotfire客户端安装…

spotfire中文使用教程含演示数据以及二次开发思路整理

文档下载地址: https://download.csdn.net/download/weixin_41607523/85214206?spm1001.2014.3001.5503 基于Echarts图表的开发思路: 通过html语言、javascript语言做出一个基于需求所开发组件的静态图表(此处指手动填充数据,如…

Spotfire10.10.0 windows10安装与配置

Spotfire10.10.0 windows10安装与配置 Spotfire10.10.0官方文档:Spotfire10.10.0官方文档 目录 一 、准备工作 1 下载并解压 2 配置sqlserver数据库的基础信息二、 安装spotfire服务器并初始化配置 安装 初始配置 创建管理员账号 将客户端软件包部署到Spotf…

TIBCO Spotfire 入门指南

数据分析工具 - TIBCO Spotfire 入门指南(一) 文章目录 数据分析工具 - TIBCO Spotfire 入门指南(一)前言一、Sportfire 是什么?二、使用Sportfire 创建一个简单的数据分析模型1.设置分析(加载数据&#xf…