通俗理解BN(Batch Normalization)

article/2025/10/6 19:08:55

1. 深度学习流程简介

1)一次性设置(One time setup)
- 激活函数(Activation functions)

​ - 数据预处理(Data Preprocessing)

​ - 权重初始化(Weight Initialization)

​ - 正则化(Regularization:避免过拟合的一种技术)

​ - 梯度检查(Gradient checking)

2)动态训练(Training dynamics)
- 跟踪学习过程 (Babysitting the learning process)

​ - 参数更新 (Parameter updates)

​ - 超级参数优化(Hyperparameter optimization)

​ - 批量归一化(BN:Batch Normalization:解决在训练过程中,中间层数据分布发生改变的问题,以防止梯度消失或爆炸、加快训练速度)
3)评估(Evaluation)
​ - 模型组合(Model ensembles)

​ (训练多个独立的模型,测试时,取这些模型结果的平均值)

神经网络学习过程本质就是为了:学习数据分布,一旦训练数据与测试数据的分布不同,那么网络的泛化能力也大大降低,所以需要使用输入数据归一化方法,使训练数据与测试数据的分布相同。

2. 激活函数(Activation Functions)

总结:

1)使用ReLU时,使Learning Rates尽量小

2)尝试使用Leaky ReLU/Maxout/ELU

3)可以使用tanh,但期望不要太高

4)不要使用sigmoid

** 3. 数据预算处理(Data Preprocessing)**

img

为什么输入数据需要归一化(Normalized Data)?

​ 归一化后有什么好处呢?原因在于神经网络学习过程本质就是为了学习数据分布,一旦训练数据与测试数据的分布不同,那么网络的泛化能力也大大降低;另外一方面,一旦每批训练数据的分布各不相同(batch 梯度下降),那么网络就要在每次迭代都去学习适应不同的分布,这样将会大大降低网络的训练速度,这也正是为什么我们需要对数据都要做一个归一化预处理的原因。

​ 对于深度网络的训练是一个复杂的过程,只要网络的前面几层发生微小的改变,那么后面几层就会被累积放大下去。一旦网络某一层的输入数据的分布发生改变,那么这一层网络就需要去适应学习这个新的数据分布,所以如果训练过程中,训练数据的分布一直在发生变化,那么将会影响网络的训练速度。

4. 权重初始化(Weight Initialization)

1)小的随机数

​ w= 0.01 * np.random.randn(fan_in,fan_out)

2)神经元将饱和,梯度为0

​ w = 1.0 * np.random.randn(fan_in,fan_out)

3)合理的初始化(Xavier init)

​ w = np.random.randn((fan_in,fan_out)/np.sqrt(fan_in)

权重初始化是一个重要的研究领域。

5. 批量归一化(BN: Batch Normalization)

5.1 BN训练

1)随机梯度下降法(SGD)对于训练深度网络简单高效,但是它有个毛病,就是需要我们人为的去选择参数,比如学习率、参数初始化、权重衰减系数、Drop out比例等。这些参数的选择对训练结果至关重要,以至于我们很多时间都浪费在这些的调参上。那么使用BN(详见论文《Batch Normalization_ Accelerating Deep Network Training by Reducing Internal Covariate Shift》)之后,你可以不需要那么刻意的慢慢调整参数。

2)神经网络一旦训练起来,那么参数就要发生更新,除了输入层的数据外(因为输入层数据,我们已经人为的为每个样本归一化),后面网络每一层的输入数据分布是一直在发生变化的,因为在训练的时候,前面层训练参数的更新将导致后面层输入数据分布的变化。以网络第二层为例:网络的第二层输入,是由第一层的参数和input计算得到的,而第一层的参数在整个训练过程中一直在变化,因此必然会引起后面每一层输入数据分布的改变。我们把网络中间层在训练过程中,数据分布的改变称之为:“Internal Covariate Shift”。Paper所提出的算法,就是要解决在训练过程中,中间层数据分布发生改变的情况,于是就有了Batch Normalization,这个牛逼算法的诞生。

3)BN的地位:与激活函数层、卷积层、全连接层、池化层一样,BN(Batch Normalization)也属于网络的一层。

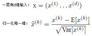
4)BN的本质原理:在网络的每一层输入的时候,又插入了一个归一化层,也就是先做一个归一化处理(归一化至:均值0、方差为1),然后再进入网络的下一层。不过文献归一化层,可不像我们想象的那么简单,它是一个可学习、有参数(γ、β)的网络层。

5)归一化公式:

img

6)如果是仅仅使用上面的归一化公式,对网络某一层A的输出数据做归一化,然后送入网络下一层B,这样是会影响到本层网络A所学习到的特征的。比如我网络中间某一层学习到特征数据本身就分布在S型激活函数的两侧,你强制把它给我归一化处理、标准差也限制在了1,把数据变换成分布于s函数的中间部分,这样就相当于我这一层网络所学习到的特征分布被你搞坏了,这可怎么办?于是文献使出了一招惊天地泣鬼神的招式:变换重构,引入了可学习参数γ、β,这就是算法关键之处:

img

​ 上面的公式表明,通过学习到的重构参数γ、β,是可以恢复出原始的某一层所学到的特征的。

img

7)引入了这个可学习重构参数γ、β,让我们的网络可以学习恢复出原始网络所要学习的特征分布。最后Batch Normalization网络层的前向传导过程公式就是:

img

img

8)BN层是对于每个神经元做归一化处理,甚至只需要对某一个神经元进行归一化,而不是对一整层网络的神经元进行归一化。既然BN是对单个神经元的运算,那么在CNN中卷积层上要怎么搞?假如某一层卷积层有6个特征图,每个特征图的大小是100100,这样就相当于这一层网络有6100100个神经元,如果采用BN,就会有6100*100个参数γ、β,这样岂不是太恐怖了。因此卷积层上的BN使用,其实也是使用了类似权值共享的策略,把一整张特征图当做一个神经元进行处理。

9)卷积神经网络经过卷积后得到的是一系列的特征图,如果min-batch sizes为m,那么网络某一层输入数据可以表示为四维矩阵(m,f,w,h),m为min-batch sizes,f为特征图个数,w、h分别为特征图的宽高。在CNN中我们可以把每个特征图看成是一个特征处理(一个神经元),因此在使用Batch Normalization,mini-batch size 的大小就是:mwh,于是对于每个特征图都只有一对可学习参数:γ、β。说白了吧,这就是相当于求取所有样本所对应的一个特征图的所有神经元的平均值、方差,然后对这个特征图神经元做归一化。

  1. 在使用BN前,减小学习率、小心的权重初始化的目的是:使其输出的数据分布不要发生太大的变化。

11) BN的作用:

​ 1)改善流经网络的梯度

​ 2)允许更大的学习率,大幅提高训练速度:

​ 你可以选择比较大的初始学习率,让你的训练速度飙涨。以前还需要慢慢调整学习率,甚至在网络训练到一半的时候,还需要想着学习率进一步调小的比例选择多少比较合适,现在我们可以采用初始很大的学习率,然后学习率的衰减速度也很大,因为这个算法收敛很快。当然这个算法即使你选择了较小的学习率,也比以前的收敛速度快,因为它具有快速训练收敛的特性;

​ 3)减少对初始化的强烈依赖

​ 4)改善正则化策略:作为正则化的一种形式,轻微减少了对dropout的需求

​ 你再也不用去理会过拟合中drop out、L2正则项参数的选择问题,采用BN算法后,你可以移除这两项了参数,或者可以选择更小的L2正则约束参数了,因为BN具有提高网络泛化能力的特性;

​ 5)再也不需要使用使用局部响应归一化层了(局部响应归一化是Alexnet网络用到的方法,搞视觉的估计比较熟悉),因为BN本身就是一个归一化网络层;

​ 6)可以把训练数据彻底打乱(防止每批训练的时候,某一个样本都经常被挑选到,文献说这个可以提高1%的精度)。

​ 注:以上为学习过程,在测试时,均值和方差(mean/std)不基于小批量进行计算, 可取训练过程中的激活值的均值。

5.2 BN测试

1)实际测试时,我们依然使用下面的公式:

img

​ 这里的均值和方差已经不是针对某一个Batch了,而是针对整个数据集而言。因此,在训练过程中除了正常的前向传播和反向求导之外,我们还要记录每一个Batch的均值和方差,以便训练完成之后按照下式计算整体的均值和方差:

img


http://chatgpt.dhexx.cn/article/5r8EsIqq.shtml

相关文章

为什么BN?batch normalization的原理及特点

1 什么是BN? 数据归一化方法,往往用在深度神经网络中激活层之前。其作用可以加快模型训练时的收敛速度,使得模型训练过程更加稳定,避免梯度爆炸或者梯度消失。并且起到一定的正则化作用,几乎代替了Dropout 2 原理 B…

【深度学习基础知识 - 07】BN的原理和作用

Batch Normalization也是深度学习中的一个高频词汇,这篇文章将会对其做一个简单介绍。 目录 1. BN的原理2. BN的作用3. BN层的可学习参数4. infer时BN的处理5. BN的具体计算步骤以及公式6. BN和L2参数权重正则化的区别 1. BN的原理 BN就是在激活函数接收输入之前对…

什么是BN(Batch Normalization)

什么是BN(Batch Normalization)? 在之前看的深度学习的期刊里,讲到了BN,故对BN做一个详细的了解。在网上查阅了许多资料,终于有一丝明白。 什么是BN? 2015年的论文《Batch Normalization: Accelerating Deep Networ…

深度学习—BN的理解(一)

0、问题 机器学习领域有个很重要的假设:IID独立同分布假设,就是假设训练数据和测试数据是满足相同分布的,这是通过训练数据获得的模型能够在测试集获得好的效果的一个基本保障。那BatchNorm的作用是什么呢?BatchNorm就是在深度神经…

Batch Normalization详解以及pytorch实验

Batch Normalization是google团队在2015年论文《Batch Normalization: Accelerating Deep Network Training by Reducing Internal Covariate Shift》提出的。通过该方法能够加速网络的收敛并提升准确率。在网上虽然已经有很多相关文章,但基本都是摆上论文中的公式泛…

Java参数校验validation和validator区别

Java参数校验validation和validator区别 1. 参数校验概述2. validation与validator区别3. validation注解说明4. validator注解说明5. 日期格式化说明6. 实现验证6.1 引入依赖6.2 代码实现6.3 实现验证 1. 参数校验概述 常见的业务开发中无可避免的会进行请求参数校验&#xf…

hibernate-validator

validator 简介各种注解好处 validator.validate方法业务逻辑代码中检查传入的参数时为传入的参数类型中各个属性添加注解NotNull、NotBlank、NotEmpty间的区别 简介 validator,翻译过来,就是“验证器”的意思。它是一种注解式参数校验,包名…

validator自定义校验注解及使用

validator自定义校验注解及使用 官方文档&#xff1a;https://docs.jboss.org/hibernate/validator/8.0/reference/en-US/html_single/#validator-customconstraints 用到依赖: <!--validator的依赖如果项目使用的springBoot的依赖可以不用再引入 hibernate-validator 因为…

spring之Validator

初步认识 spring数据验证核心类&#xff1a;①&#xff1a;Validator ②&#xff1a;Errors,两者之间的纽带是Validator中定义的validate方法。 public interface Validator {// 限定Validator的职责&#xff0c;不可能所有的校验全部交给一个Validator来做boolean supports(…

Hibernate-Validator的学习

Hibernate-Validator的学习 此教程基于黑马程序员Java品达通用权限项目&#xff0c;哔哩哔哩链接&#xff1a;https://www.bilibili.com/video/BV1tw411f79E?p49 1.hibernate-validator介绍 早期的网站&#xff0c;用户输入一个邮箱地址&#xff0c;需要将邮箱地址发送到服…

Hibernate Validator源码解析

一、引言 问题&#xff1a;在代码编写的过程中&#xff0c;数据值的校验在JavaEE三层架构&#xff08;展示层、业务层、数据访问层&#xff09;均有涉及&#xff0c;各层的校验需求又是不尽相同的&#xff0c;因此往往会伴随着代码冗余&#xff0c;重复的校验逻辑出现在三层代…

Hibernate Validator简介

亲爱的小伙伴们我来填坑啦&#xff0c;java中优雅的参数校验方法中的校验的实现原理。 1.前言 验证数据是发生在所有应用程序层&#xff08;从表示层到持久层&#xff09;的常见任务。通常在每一层中实现相同的验证逻辑&#xff0c;这既耗时又容易出错。为了避免重复这些验证&…

bootstrapValidator验证最大值最小值范围限制

录入该值的最大值与最小值 bootstrapValidator进行效验&#xff0c;使最小值不可大于最大值&#xff0c;最大值不可小于最小值 刚开始的验证还是没事的&#xff0c;符合正常的验证规则 再把不符合规则的最大值改变&#xff0c;现在最小值已经比最大值小了&#xff0c;但是最大…

class-validator中文教程

官方文档&#xff1a; https://www.npmjs.com/package/class-validator class-validator可以说是一个简化验证的依赖库 &#xff08;采用注释的方式进行校验&#xff09; 但是缺少中文文档和过程&#xff0c;以自己的理解和对官网文档的阅读进行整理输出。 它的好兄弟class-t…

Hibernate Validator 总结大全

背景 代码开发过程中&#xff0c;参数的有效性校验是一项很繁琐的工作&#xff0c; 如果参数简单&#xff0c;就那么几个参数&#xff0c;直接通过ifelse可以搞定&#xff0c;如果参数太多&#xff0c;比如一个大对象有100多个字段作为入参&#xff0c;你如何校验呢&#xff1…

java使用validator进行校验

不管是html页面表单提交的对象数据还是和第三方公司进行接口对接&#xff0c;都需要对接收到的数据进行校验&#xff08;非空、长度、格式等等&#xff09;。如果使用if一个个进行校验&#xff08;字段非常多&#xff09;&#xff0c;这是让人崩溃的过程。幸好jdk或hibernate都…

java validator_Spring中校验器(Validator)的深入讲解

前言 Spring框架的 validator 组件,是个辅助组件,在进行数据的完整性和有效性非常有用,通过定义一个某个验证器,即可在其它需要的地方,使用即可,非常通用。 应用在执行业务逻辑之前,必须通过校验保证接受到的输入数据是合法正确的,但很多时候同样的校验出现了多次,在不…

springboot使用hibernate validator校验

目录 一、参数校验二、hibernate validator校验demo三、hibernate的校验模式 1、普通模式&#xff08;默认是这个模式&#xff09;2、快速失败返回模式四、hibernate的两种校验 1、请求参数校验2、GET参数校验(RequestParam参数校验)3、model校验4、对象级联校验5、分组校验五…

Validator 使用总结

介绍 首先说下大家常用的hibernate-validator&#xff0c;它是对JSR-303/JSR-349标准的实现&#xff0c;然后spring为了给开发者提供便捷集成了hibernate-validator&#xff0c;默认在springmvc模块。 依赖 本文所介绍皆在springboot应用的基础上&#xff0c;首先加上web模块…

浅谈 Android Tombstone(墓碑日志)分析步骤

最近项目产品刚刚出货&#xff0c;客户退机、死机事件频发。日常解决bug中&#xff0c;少不了和墓碑日志打交道&#xff0c;截止今天之前&#xff0c;见到墓碑日志都是一脸懵逼&#xff0c;不知道怎么分析。最近又有了两个日志&#xff0c;硬着头皮看吧。之所以称之为浅谈&…