语音信号处理及特征提取

article/2025/10/21 21:42:26

1.信号处理基础

模拟信号->数字信号转化     步骤:采样和量化

 奈奎斯特定律 :采样频率大于信号中最大频率的二倍

 即在原始信号的一个周期中,至少要采样两个点,才能有效杜绝频率混叠问题。

信号进行离散傅里叶变换的条件: 时域离散且周期的信号

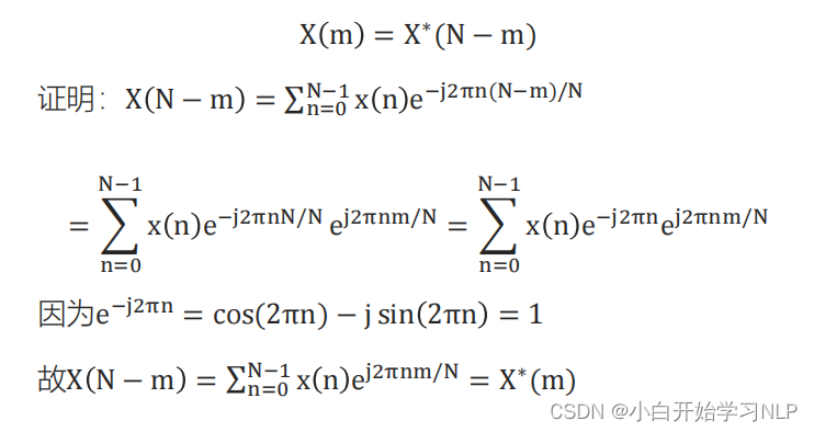
 DFT的性质:

1.对称性   

2. x(m)表示的是谱密度

   如果对一个幅度为A实正弦波进行N点DFT,则DFT之后,对应频率上的幅度M和A之间的关系为:

               M=A/(2/N)=(AN)/2

3.DFT的线性

4.时移性,对x(n)左移k个采样点,得到x1(n)=x(n-k)

为了提高频率轴的分辨率,可以通过延长时域的信号长度,通常对信号进行补0。在语音特征提取阶段,对于16k的采样频率的信号,一帧语音信号长度为400个采样点,为了进行512点的FFT,通过将400个点补0,得到512个采样点,由于对称性,最后只需前275个点。

2.Fbank和MFCC特征提取

Fbank和MFCC提取流程:

2.1预加重

     作用:提高信号高频部分的能量,因为高频信号衰减较快,高频信号包含很多对语音识别有利的特征。

     预加重滤波器(一阶高通滤波器),对于时域输入信号x(n),预加重之后的信号:

                                  y(n)=x(n)-a*x(n-1)     其实  0.9<=a<=1 

2.2分帧加窗

         分帧的过程,在时域上,即用一个窗函数和原始信号进行相乘

                              y[n]=w[n]x[n]                    w[n]为窗函数

         

  常见的窗函数:                  

2.3傅里叶变换

       将分帧后的语音帧由时域变换到频域,取DFT系数的模得到谱特征。

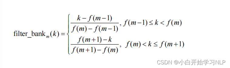
2.4梅尔滤波器组和对数操作

将线性频率转化为梅尔频率,梅尔频率和线性频率的关系:

 梅尔三角滤波器组:根据其实频率、中间频率和截止频率确定各滤波器组

 

梅尔滤波器组设计:

1.首先确定梅尔滤波器组个数P

2. 根据采样率fs,DFT点数N,滤波器个数P,在梅尔域上等间隔的产生每个滤波器的起始频率、中间频率和截止频率。 上一个滤波器的中间频率为下一个滤波器的起始频率

3.将梅尔域上每个三角滤波器的起始频率、中间频率和截止频率转换为线性频率域,并对DFT之后的谱特征进行滤波,得到P个滤波器组能量,进行log操作得到Fbank特征

MFCC特征在Fbank特征基础上继续进行IDFT变换等操作

频域信号可以分解成谱包络和谱细节

           X[m]=H[m]E[m]

log|X[m]|  梅尔普(Fbank)

log|H[m]|  谱包络

log|E[m]|  谱细节

4.

 

MFCC特征总结

      一般常用MFCC特征维是39维,包括

 MFCC特征一般用于GMM训练,Fbank特征一般用于DNN训练

 

 


http://chatgpt.dhexx.cn/article/4OSJC84m.shtml

相关文章

MATLAB语音信号处理系统GUI

基于MATLAB的语音信号处理 【摘 要】 Matlab语音信号处理是指利用matlab软件对音频信号进行读取&#xff0c;并对音频信号进行采样分析及离散傅里叶变换&#xff0c;以方便对其在频域上进行调制滤波等相关的操作。本次实验在提取音频信号后会对该信号使用在MATLAB软件中设计的…

《语音信号处理》 语音识别章节 读书笔记

两本书&#xff0c;《语音信号处理》赵力编和《语音信号处理》韩纪庆编。强烈推荐韩纪庆版本&#xff0c;知识点很全面&#xff0c;可以作为语音识别的入门中文书籍&#xff0c;章节很也短&#xff0c;很快就入门了。 P34 HMM是一个双内嵌式随机过程&#xff0c;由两个随机过程…

基于MATLAB的语音信号处理系统的设计

目 录 摘 要 I Abstract II 1 绪论 1 2 语音信号处理系统设计方案 2 2.1MATLAB的说明 2 2.2系统框架及实现流程图 2 2.2.1系统框架&#xff1a; 2 2.2.2系统流程图&#xff1a; 3 2.3语音信号处理相关原理知识 3 2.3.1语音信号的录入与打开 3 2.3.2采样位数和采样频率 3 2.3.3…

语音信号处理的一些基础知识

人耳的听觉掩蔽效应 一般人可以感觉到20Hz-20kHz&#xff0c;强度为5dB-130dB。 人耳的掩蔽效应&#xff1a;在一个强信号附近&#xff0c;弱信号将变得不可闻&#xff0c;被掩蔽掉了。被掩蔽的不可闻信号的最大声压级称为掩蔽门限或者掩蔽阈值。 语音信号生成的模型 理想的模…

语音信号处理概念

语音交互 你知道苹果手机有几个麦克风吗&#xff1f; 语音交互&#xff08;VUI&#xff09;是指人与人/设备通过自然语音进行信息传递的过程。 语音交互的优势&#xff1a; 输入效率高。语音输入的速度是传统键盘输入方式的3倍以上。例如&#xff1a;语音电视选台、远场语音交…

python做语音信号处理

作者&#xff1a;凌逆战 时间&#xff1a;2019年11月1日 博客园地址&#xff1a;python做语音信号处理 - 凌逆战 - 博客园 音频信号的读写、播放及录音 python已经支持WAV格式的书写&#xff0c;而实时的声音输入输出需要安装pyAudio(PyAudio: PortAudio v19 Python Bindings…

语音信号处理知识点

语音信号处理过程的总体结构&#xff1a; 语音输入-->预处理-->数字化-->特征提取 预处理&#xff1a;对信号适当放大和增益控制&#xff0c;并进行反混叠滤波来消除工频信号干扰 数字化&#xff1a;进行A/D转换 特征提取&#xff1a;用反映语音信号特点的若干参数…

第一章 语音信号处理概述

一、语音交互 语音交互(VUI: Voice User Interface)是指人与人或者人与设备通过自然语音进行信息传递的过程。 1. 语音交互的优势 &#xff08;1&#xff09;输入效率高&#xff1a;相对于键盘输入&#xff0c;语音输入的速度是传统输入方式的3倍以上(有权威统计分析得到的数…

语音信号处理-python

语音信号处理 1.语音信号的产生与特性 我们要对语音进行分析&#xff0c;首先要提取能够表示该语音的特征参数&#xff0c;有了特征参数才可能利用这些参数进行有效的处理&#xff0c;在对语音信号处理的过程中&#xff0c;语音信号的质量不仅取决于处理方法&#xff0c;同时…

python实验六 语音信号处理

目录 实验目的&#xff1a; 实验原理&#xff1a; 实验准备&#xff1a; 实验步骤与内容&#xff1a; 参考代码&#xff1a; 实验目的&#xff1a; 依托语音信号处理领域的声学特征提取任务&#xff0c;学习常用的语音信号处理工具&#xff0c;实现对语音数据的预处理和常…

matlab的语音信号处理

人类交换信息最方便的、最快捷的一种方式是语言&#xff0c;在高度发达的信息社会中&#xff0c;用数字化的方法进行语音的识别、合成、增强、传送和储存等是整个数字化通信网中最重要、最基本的组成部分之一。数字电话通信、高音质的窄带语音通信系统、智能机器人、声控打字机…

语音信号处理 —— 笔记(一)音频信号处理

声音的产生 &#xff1a;能量通过声带使其振动产生一股基声音&#xff0c;这个基声音通过声道 &#xff0c;与声道发生相互作用产生共振声音&#xff0c;基声音与共振声音一起传播出去。 一、音频信号简介 1.声音波形图 传感器以某种频率探测声音的振幅强度以及振动方向&…

语音信号处理的过程及其应用

一、语音信号处理的过程 在信号处理领域&#xff0c;信息加工和处理的一般流程下图所示。 在语音信号的具体情况下&#xff0c;信息源就是说话的人&#xff0c;通过观察和测量得到的就是语音的波形。信号处理包括以下几个内容&#xff0c;首先根据一个给定的模型得到这一信号的…

语音信号处理基础知识-常用特征及预处理

目录 一、语音信号的特点二、常用语音特征参数三、语音信号预处理四、参考链接 一、语音信号的特点 其主要特点如下所示&#xff1a;     a) 语音信号的带宽约为 5 K h z 5Khz 5Khz , 主要能量集中在低频段。     b) 语音信号总体为非平稳时变信号&#xff0c;一般认为…

语音信号基本知识和处理

语音信号&#xff08;音频&#xff1b;声音&#xff09;是模拟信号&#xff0c;现实生活中表现为连续的、平滑的波形&#xff0c;其横坐标为时间轴&#xff0c;纵坐标表示声音的强弱。 我们需要将其保存为数字信号再进行处理。 1. 声音三要素 1.1 音调 人耳对声音高低的感觉…

语音信号处理

文章目录 语音信号处理第一章 绪论第二章 语音信号处理基础知识语音和语言 **浊音的声带振动基本频率&#xff08;fundamental frequency&#xff09;称为基音频率。浊音的基音频率&#xff08;pitch&#xff09;&#xff1a;**&#xff1f;&#xff1f;&#xff1f;&#xff1…

语音信号处理概述及流程

一、语音信号处理的三个主要方向。 1&#xff0c;语音合成。 语音合成的是为了让计算机产生高质量的、高自然度的连续语音。计算机语音合成系统又称文语转换系统&#xff08;TTS&#xff09;&#xff0c;主要是将文本输出语音。 发展过程&#xff1a;共振峰合成、LPC合成、PSOL…

基于matlab的语音信号处理

摘要 利用所学习的数字信号处理知识&#xff0c;设计了一个有趣的音效处理系统&#xff0c;首先设计了几种不同的滤波器对声音进行滤波处理&#xff0c;分析了时域和频域的变化&#xff0c;比较了经过滤波处理后的声音与原来的声音有何变化。同时设计实现了语音的倒放&#xff…

【无线通信篇 | Zstack协议栈】CC2530 Zigbee Zstack协议栈组网项目及详细讲解篇

演示视频&#xff1a;https://www.bilibili.com/video/BV1Ew411o7Fp 物联网无线通信技术&#xff0c;ZigBee无线传感网络 CC2530最大的特点就是一个拥有无线收发器&#xff08;RF&#xff09;的单片机&#xff0c;既能实现单片机功能&#xff0c;也能实现无线传输 Zstack协议…

【Zigbee】进阶篇(1) Zigbee协议栈创建简单项目,协议栈、事件、消息学习

大家好&#xff0c;我是皮皮猫吖&#xff01; 每文一言&#xff1a;梦想不会逃跑&#xff0c;会逃跑的永远都是自己&#xff01; 本篇文章&#xff1a; 主要是协议栈的介绍&#xff0c;使用协议栈完成一个简单例子&#xff0c;协调器创建网络的相关问题&#xff0c;学会在协议…