图像修复 学习笔记

article/2025/10/15 15:12:10

目录

局部卷积(PConv)图像修复

Pconv torch 实现:


局部卷积(PConv)图像修复

本文提出了局部卷积(PConv)层来处理不规则孔。图1显示了使用建议的PConv的一些修复结果。看样子还不错,那么 让我们一起了解PConv的主要思想!

使用常规蒙版图像和局部转换训练深层修复方法的视觉比较。

本文采用了一种具有跳跃连接的U-Net网络,其中所有标准卷积层都被提出的局部卷积层所替代。如果你对他们的网络架构感兴趣,你可以参考论文(https://arxiv.org/pdf/1804.07723.pdf),他们提供了详细的模型表。

有趣的是,在这项工作中没有使用鉴别器。除了标准L1损失和Total variation loss(TV损失)外,作者还采用了两种高水平的特征损失来完成纹理较好的掩码图像。稍后我会详细介绍这两个损失。

解决方案

如在上面提到的,关键思想是在卷积过程中将缺失的像素从有效像素中分离出来,这样卷积的结果只依赖于有效像素。这就是我们将这种卷积称为局部卷积的原因。卷积部分基于可自动更新的二进制掩码图像在输入端进行。

局部卷积层

让我们定义W和b为卷积滤波器的权值和偏置。X表示卷积的像素值(或特征激活值),M为对应的二进制掩码,表示每个像素/特征值的有效性(缺失像素为0,有效像素为1)。计算提出的局部卷积,

其中⦿表示逐元素相乘,1是与M形状相同的单位矩阵。从该等式,您可以看到局部卷积的结果仅取决于有效输入值(如X⦿M)。sum(1)/ sum(M)是一个缩放因子,用于随着每个卷积的有效输入值数量的变化来调整结果。

在每个局部卷积层之后更新二进制掩码。提议的更新二进制掩码的规则非常容易。如果当前卷积的结果以至少一个有效输入值为条件,则相应位置将被视为对下一个局部卷积层有效。

正如您在上面看到的,更新规则很容易理解。

局部卷积的可视化说明

上图显示了一个简单的例子来说明所提出的局部卷积。我们考虑一个简单的5×5输入及其对应的5×5二值掩码图像(有效像素为1,孔像素为0)和一个固定权重的3×3 W。假设我们想要保持输入大小5×5相同的输出大小,因此我们在做卷积之前进行零划片。让我们首先考虑左上角(橙色边界)。这个卷积的X和M如图所示,有效输入值的个数为3。因此,这个位置的输出是-9+b。另外,更新后的二进制掩码中对应位置的值为1,因为有3个有效的输入值。

考虑到中间(紫色边界)框,这次卷积没有有效的输入值,所以结果是0+b,更新后的掩码值也是0。右下(蓝色边界)框是显示缩放因子作用的另一个卷积示例。通过比例因子,网络可以将由3个有效输入值计算得到的-3和由5个有效输入值计算得到的-3区分开来。

为了方便参考,上图右上角显示了经过此局部卷积层后更新的二进制掩码。您可以看到更新后的二进制掩码中0减少了。当我们执行越来越多的局部卷积时,二进制掩码最终将被更新为全为1。这意味着无论缺失区域的大小和形状如何,我们都可以控制要在网络内部传递的信息。

损失函数

在它们最终的损失函数中总共有4个损失项,分别是L1损失、感知损失、风格损失和TV损失。

L1损失(逐像素的)

这种损失是为了确保像素级重建的准确性。

其中I_out和I_gt分别是网络的输出和真实值。M是二进制掩码,0表示孔,1表示有效像素。N_I_gt是图像中像素值的总数,等于C×H×W,C是通道大小(对于RGB图像为3),H和W是图像I_gt的高度和宽度。您可以看到L_hole和L_valid分别是空像素和有效像素的L1损失。

感知损失(VGG损失)

感知损失由Gatys等人提出。[2] 简而言之,我们希望填充图像和背景真实图像具有类似的特征表示,这些特征表示是由像VGG-16这样的预训练网络计算得出的。具体来说,我们将地面真实图像和填充图像输入到经过预先训练的VGG-16中以提取特征。然后,我们计算它们在所有或几层的特征值之间的L1距离。

对于上面的公式,I_comp与I_out相同,除了有效像素直接由背景真实像素替换。II_p是在给定输入I的情况下由预训练的VGG-16计算的第p层的特征图。N_ΨI_p是ΨI_p中的元素数。当完成的图像在语义上接近其地面真实图像时,这种感觉很小。可能是因为更深的层次(更高的层次)提供了更多的图像语义信息,类似的高级特征表示表示更好的完成语义正确性。为了便于理解,使用VGG-16 pool1、pool2和pool3层来计算感知损失。

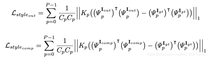
风格损失

除了感知缺失,作者还采用了上面所示的风格损失。风格损失也是使用预先训练过的vgg16提供的特征图计算的。这次我们首先计算每个feature map的自相关性,在[2]中称为Gram matrix。根据[2],Gram矩阵包含图像的风格信息,如纹理和颜色。这也是这种损失被称为样式损失的原因。因此,我们计算完成图像的Gram矩阵与ground truth图像之间的L1距离。请注意,Ψ^ I_p的大小(H_p×W_p)×C_p及其与形状的Gram矩阵是C_p×C_p。K_p是一个归一化因子,它依赖于第p层特征图的空间大小。

TV损失(Total Variation loss)

最后损失函数的最后损失项是TV损失。简单来说,采用这种损失是为了保证完成图像的平滑性。这也是许多图像处理任务中的常见损失。

其中,N_I_comp是I_comp中像素值的总数。

作者做了实验以显示不同损失项的影响。结果显示在上面的图中。首先,(b)显示了不使用样式损失的修复结果。他们发现在模型中使用样式风格对于生成精细的局部纹理是必要的。但是,必须谨慎选择风格丢失的超参数。如您在图(f)中所见,与使用完全损失的结果相比,较小的样式损失权重会导致一些明显的假象(图(g))。除了风格上的损失外,感知损失也很重要。他们还发现,使用感知损失可以减少网格状伪影。请参见图(j)和(k)了解使用感知损失的效果。

事实上,高层特征丢失的使用还没有得到充分的研究。我们不能100%地说感知丢失或样式丢失一定对图像inpainting有用。因此,我们必须自己做实验来检查不同损失对于我们期望的应用的有效性。

实验

一些遮罩图像的例子。1,3,5有边界约束,2,4,6无边界约束。

在他们的实验中,所有的掩码、训练和测试图像的尺寸都是512×512。作者将测试图像分为两组,一组是边界附近带孔的掩码,边界附近无孔的掩码。第二组为将所有小孔与边界的距离均不小于50像素的图像。上图显示了这两组掩码的一些示例。此外,根据孔与图像的面积比,生成6种遮罩:(0.01,0.1],(0.1,0.2],(0.2,0.3],(0.3,0.4],(0.4,0.5],(0.5,0.6]。这意味着最大的遮罩可以遮掉60%的原始图像内容。

训练数据。与之前的工作相似,作者在3个公开的数据集上评估了他们的模型,即ImageNet, Places2和celepa - hq数据集。

在ImageNet上对不同方法进行可视化比较。(a)输入图像(b) PatchMatch (c) GLCIC (d) context Attention (e) PConv (f) 真实图像

不同地点的视觉比较2。(a)输入图像(b) PatchMatch (c) GLCIC (d) context Attention (e) PConv (f) 真实图像

上面两张分别显示了ImageNet和Places2上不同方法的可视化比较。PatchMatch是最先进的传统方法。GLCIC和context Attention是两种最先进的深度学习方法。GLCIC (c)和context Attention(d)不能提供具有良好视觉质量的inpainting结果。这可能是因为之前的两种深度学习方法训练的是常规掩蔽图像,而不是不规则掩蔽图像。如果您感兴趣,请放大以更好地查看inpainting结果。

在CelebA-HQ数据集上显示inpaint结果。你可以放大以更清楚地看到结果。

各种方法的定量比较。6列代表6种不同的掩模比例。N表示无边界(即洞可以靠近边界),B表示有边界(即洞不能靠近边界)。

上表列出了几个客观的评价指标,供参考。显然,提议的PConv在几乎所有情况下都提供了最好的数字。请注意,IScore是用于估计视觉质量的初始分数,分数越低,估计的视觉质量就越好。

除了定性和定量的比较,作者还进行了一项人类主观研究,以评估不同方法的视觉质量。感兴趣的读者可以参考研究论文。

一些局限性

当漏孔越来越大时,用PConv进行补绘

一些失败的案例,特别是当场景更加复杂的时候

在本文的最后,作者还指出了当前深图像补绘方法的局限性。首先,如上图所示,缺少大面积区域的图像很难完成。其次,当图像结构复杂时,也很难完成视觉质量良好的图像,如上图所示。目前还没有一种综合的方法来处理超大遮盖和复杂的图像。因此,您可以尝试提出一个很好的解决这个极端的图像内画问题。:)

结论

显然,局部卷积是本文的主要思想。我希望我的简单例子可以清楚地向你解释局部卷积是如何执行的,以及在每个局部卷积层之后二进制掩码是如何更新的。通过使用局部卷积,卷积的结果只会取决于有效像素,因此我们可以控制内部的信息传递网络,这可能是有用的图像修复的任务(至少作者提供的证据表明,局部卷积是有用的在他们的情况下)。除了图像修复外,由于局部卷积与图像修复具有相似之处,作者还尝试将其推广到超分辨率中去。强烈建议感兴趣的读者参考他们的论文。

ObjectRemovalAndRestore/model.py at ffc70630263e93a6369465f11a252ac2a5656833 · Albert-learner/ObjectRemovalAndRestore · GitHub

Pconv torch 实现:

###############################################################################
# BSD 3-Clause License
#
# Copyright (c) 2021, DesignStripe. All rights reserved.
#
# Author & Contact: Samuel Prevost (samuel@designstripe.com)
###############################################################################from tensor_type import Tensor4d, Tensor3d, Tensor
import math
from typing import Tuple, Union
import torch
from torch import nnTupleInt = Union[int, Tuple[int, int]]class PConv2d(nn.Module):def __init__(self,in_channels: int,out_channels: int,kernel_size: TupleInt = 1,stride: TupleInt = 1,padding: TupleInt = 0,dilation: TupleInt = 1,bias: bool = False,legacy_behaviour: bool = False,):"""Partial Convolution on 2D input.:param in_channels:     see torch.nn.Conv2d:param out_channels:    see torch.nn.Conv2d:param kernel_size:     see torch.nn.Conv2d:param stride:          see torch.nn.Conv2d:param padding:         see torch.nn.Conv2d:param dilation:        see torch.nn.Conv2d:param bias:            see torch.nn.Conv2d:param legacy_behaviour: Tries to replicate Guilin's implementation's numerical error when handling the bias,but in doing so, it does extraneous operations that could be avoided and still result in *almost* the sameresult, at a tolerance of 0.00000458 % on the cuDNN 11.4 backend. Can safely be False for real lifeapplications."""super().__init__()# Set this to True, and the output is guaranteed to be exactly the same as PConvGuilin and PConvRFR# Set this to False, and the output will be very very close, but with some numerical errors removed/added,# even though formally the maths are equivalent.self.legacy_behaviour = legacy_behaviourself.in_channels = in_channelsself.out_channels = out_channelsself.kernel_size = self._to_int_tuple(kernel_size)self.stride = self._to_int_tuple(stride)self.padding = self._to_int_tuple(padding)self.dilation = self._to_int_tuple(dilation)self.use_bias = biasconv_kwargs = dict(kernel_size=self.kernel_size,stride=self.stride,padding=self.padding,dilation=self.dilation,groups=1,bias=False,)# Don't use a bias here, we handle the bias manually to speed up computationself.regular_conv = nn.Conv2d(in_channels=self.in_channels, out_channels=self.out_channels, **conv_kwargs)# I found a way to avoid doing a in_channels --> out_channels conv and instead just do a# 1 channel in --> 1 channel out conv and then just scale the output of the conv by the number# of input channels, and repeat the resulting tensor to have "out channels"# This saves 1) a lot of memory because no need to pad before the conv#            2) a lot of computation because the convolution is way smaller (in_c * out_c times less operations)# It's also possible to avoid repeating the tensor to have "out channels", and instead use broadcasting# when doing operations. This further reduces the number of operations to do and is equivalent,# and especially the amount of memory used.self.mask_conv = nn.Conv2d(in_channels=1, out_channels=1, **conv_kwargs)# Initsself.regular_conv.apply(lambda m: nn.init.kaiming_normal_(m.weight, a=0, mode="fan_in"))# the mask convolution should be a constant operationtorch.nn.init.constant_(self.mask_conv.weight, 1.0)for param in self.mask_conv.parameters():param.requires_grad = Falseif self.use_bias:self.bias = nn.Parameter(torch.empty(1, self.out_channels, 1, 1))else:self.register_parameter("bias", None)with torch.no_grad():# This is how nn._ConvNd initialises its weightsnn.init.kaiming_uniform_(self.regular_conv.weight, a=math.sqrt(5))if self.bias is not None:fan_in, _ = nn.init._calculate_fan_in_and_fan_out(self.regular_conv.weight)bound = 1 / math.sqrt(fan_in)nn.init.uniform_(self.bias.view(self.out_channels), -bound, bound)def forward(self, x: Tensor4d, mask: Tensor3d) -> Tuple[Tensor4d, Tensor3d]:"""Performs the 2D partial convolution.About the mask:- its dtype should be torch.float32- its values should be EITHER 0.0 OR 1.0, not in between- it should not have a channel dimensions. Just (batch, height, width).The returned mask is guaranteed to also match these criteria.This returns a tuple containing:- the result of the partial convolution on the input x.- the "updated mask", which is slightly "closed off". It is a "binary" mask of dtype float,containing values of either 0.0 or 1.0 (nothing in between).:param x: The input image batch, a 4d tensor of traditional batch, channel, height, width.:param mask: This takes as input a 3d binary (0.0 OR 1.0) mask of dtype=float:return: a tuple (output, updated_mask)"""Tensor4d.check(x)batch, channels, h, w = x.shapeTensor[batch, h, w].check(mask)if mask.dtype != torch.float32:raise TypeError("mask should have dtype=torch.float32 with values being either 0.0 or 1.0")if x.dtype != torch.float32:raise TypeError("x should have dtype=torch.float32")# Create singleton channel dimension for broadcastingmask = mask.unsqueeze(1)output = self.regular_conv(x * mask)_, _, conv_h, conv_w = output.shapeupdate_mask: Tensor[batch, 1, conv_h, conv_w]mask_ratio: Tensor[batch, 1, conv_h, conv_w]with torch.no_grad():mask_ratio, update_mask = self.compute_masks(mask)if self.use_bias:if self.legacy_behaviour:# Doing this is entirely pointless. However, the legacy Guilin's implementation does it and# if I don't do it, I get a relative numerical error of about 0.00000458 %output += self.biasoutput -= self.biasoutput *= mask_ratio  # Multiply by the sum(1)/sum(mask) ratiosoutput += self.bias  # Add the bias *after* mask_ratio, not before !output *= update_mask  # Nullify pixels outside the valid maskelse:output *= mask_ratioreturn output, update_mask[:, 0]def compute_masks(self, mask: Tensor3d) -> Tuple[Tensor4d, Tensor4d]:"""This computes two masks:- the update_mask is a binary mask that has 1 if the pixel was used in the convolution, and 0 otherwise- the mask_ratio which has value sum(1)/sum(mask) if the pixel was used in the convolution, and 0 otherwise* sum(1) means the sum of a kernel full of ones of equivalent size as the self.regular_conv's kernel.It is usually calculated as self.in_channels * self.kernel_size ** 2, assuming a square kernel.* sum(mask) means the sum of ones and zeros of the mask in a particular region.If the region is entirely valid, then sum(mask) = sum(1) but if the region is only partially within the mask,then 0 < sum(mask) < sum(1).sum(mask) is calculated specifically in the vicinity of the pixel, and is pixel dependant.* mask_ratio is Tensor4d with the channel dimension as a singleton, and is NOT binary.It has values between 0 and sum(1) (included).* update_mask is a Tensor4d with the channel dimension as a singleton, and is "binary" (either 0.0 or 1.0).:param mask: the input "binary" mask. It has to be a dtype=float32, but containing only values 0.0 or 1.0.:return: mask_ratio, update_mask"""update_mask = self.mask_conv(mask) * self.in_channels# Make values where update_mask==0 be super high# and otherwise computes the sum(ones)/sum(mask) value for other entries# noinspection PyTypeCheckermask_ratio = self.in_channels * self.kernel_size[0] * self.kernel_size[1] / (update_mask + 1e-8)# Once we've normalised the values in update_mask and saved them elsewhere, we can now ignore their value# and return update_mask to a binary maskupdate_mask = torch.clamp(update_mask, 0, 1)# Then multiplies those super high values by zero so we cancel them outmask_ratio *= update_mask# We can discard the extra channel dimension what was just there to help with broadcastingreturn mask_ratio, update_mask@staticmethoddef _to_int_tuple(v: TupleInt) -> Tuple[int, int]:if not isinstance(v, tuple):return v, velse:return vdef set_weight(self, w):with torch.no_grad():self.regular_conv.weight.copy_(w)return selfdef set_bias(self, b):with torch.no_grad():self.bias.copy_(b.view(1, self.out_channels, 1, 1))return selfdef get_weight(self):return self.regular_conv.weightdef get_bias(self):return self.bias


http://chatgpt.dhexx.cn/article/0rNCdSwA.shtml

相关文章

基于改进Criminisi算法的图像修复

1、内容简介 略 516-可以交流、咨询、答疑 2、内容说明 摘 要&#xff1a;针对 Criminisi算法难以获得理想的修复效果&#xff0c;且存在修复时间过长等缺陷&#xff0c;提出一种改进 Criminisi算法的 图像修复算法。改进优先权计算方式找到最优待修复块&#xff0c;完善最优…

图像修复简介

点击上方“小白学视觉”&#xff0c;选择加"星标"或“置顶” 重磅干货&#xff0c;第一时间送达推荐阅读 42个pycharm使用技巧&#xff0c;瞬间从黑铁变王者Google C项目编程风格指南 (中文版) 分享在实际应用中&#xff0c;图像经常被噪声腐蚀。这些噪音是镜头上的灰…

Halcon图像修复

1.之前研究OpenCV的图像修复时&#xff0c;知道Opencv提供的inpaint API能够实现这个效果。 void inpaint( InputArray src, 原图 InputArray inpaintMask, 二进制掩模&#xff0c;指示要修复的像素 OutputArray dst, 目标图像 double inpaintRadius, 像素周围的邻域补绘。…

图像修复

转自&#xff1a;https://blog.csdn.net/moxibingdao/article/details/107075598 本文继 去雨去雾去模糊篇 和 图像增强与图像恢复篇 之后&#xff0c;继续盘点CVPR 2020 中低层图像处理技术&#xff0c;本篇聚焦于图像修复&#xff08;Image Inpainting&#xff09;。 示例如…

CVPR 2020 论文大盘点-图像修复Inpainting篇

转自&#xff1a;https://mp.weixin.qq.com/s?__bizMzIwMTE1NjQxMQ&mid2247519592&idx2&sn3a0598c9f52e47929678a572ea451d98&chksm96f0ff3ca187762a107b4b9194e862b757d3d943ec399b35cbb7576cd92ee55cc648d7121ac3&scene21#wechat_redirect 本文继 去雨…

图像修复介绍

图像修复是一种利用缺损图像中已知部分的信息预测缺损区域的内容&#xff0c;允许使用替代内容取填充目标区域的技术。其最终目的是保证修复后的图像整体结构连贯统一&#xff0c;修复区域边缘处过渡自然&#xff0c;修复内容细节丰富合理&#xff0c;最好能够使观察者无法分辨…

【OpenCV】- 图像修复

说明&#xff1a;图像修复可以解决类似噪声或者是镜头上的灰尘或水滴或者旧照片上面的划痕等。 文章目录 1、实现图像修补&#xff1a;inpaint()函数2、opencv之鼠标响应函数3、示例程序 1、实现图像修补&#xff1a;inpaint()函数 说明&#xff1a;图像修补技术由inpaint()函数…

图像修复(Image Restoration)算法数据集详细介绍

目录 人脸数据集 1.Helen Face 2.CelebA (Celebrity Attribute) 3.CelebA-HQ 4.FFHQ&#xff08;Flickr-Faces-HQ&#xff09; 场景数据集 1.MS COCO (Common Objects in Context) 2.ImageNet 3.Places2 街景数据集 1.Paris StreetView 2.Cityscapes 纹理数据集 …

图像修复 : ICCV 2021 基于条件纹理和结构并行生成的图像修复【翻译】

声明&#xff1a;精简翻译&#xff0c;未完全校对 积压的存稿、好久没更文了、先发一篇这个代码很不错、推荐有兴趣的同学学习博主也写了对应的测评文章待发、点赞越多、发的越快如有同学&#xff0c;学有余力、可以转载这个文章&#xff08; 附原文地址即可 &#xff09;、校对…

Linux udhcpc/udhcpd 移植

参考文档&#xff1a; http://blog.chinaunix.net/uid-14704264-id-4272838.html https://www.cnblogs.com/chenfulin5/p/9481249.html 若系统busybox 自带了 udhcpc 和 udhcpd 工具 udhcpc 作为客户端工具&#xff0c;用于动态获取IP&#xff1b; udhcpd 作为服务器工具&…

udhcpc6的default.script

udhcpc6使用中遇到的问题 和udhcpc一样&#xff0c;udhcpc6是busybox中的一个工具&#xff0c;主要用来提供dhcpv6客户端服务。 在使用过程中遇到了一个问题&#xff0c;直接执行udhcpc6 -i eth0&#xff0c;可以看到打印信息中显示正在发送discover包&#xff0c;如果本地有…

UNIX source code-DHCP

文章目录 DHCP基础知识什么是DHCP为什么要使用DHCP IP地址分配机制工作原理报文类型基本步骤中继重用IP租赁期限 代码解析文件作用udhcpd.c结构体代码逻辑&#xff08;流程&#xff09; udhcpc.c结构体代码逻辑&#xff08;流程&#xff09; file.c结构体&#xff08;read_conf…

udhcpc 移植和使用

问题描述&#xff1a; busybox udhcpc获取IP&#xff0c;但没有自动将获取到的ip设置到网卡上&#xff0c;并且没有自动设置网关&#xff0c;路由表等。必须手动设置才能连接外网。 解决方案&#xff1a; udhcpc可以通过-s参数指定运行脚本&#xff0c;当获取到ip地址后&…

初始化ArrayList、List的两种方法

说明&#xff1a; 个人偏向第二种方法&#xff0c;适合没有服务器数据的情况下&#xff0c;做个简单的list来开发 方式一&#xff1a; ArrayList<String> list new ArrayList<String>();String str01 String("str01");String str02 String("str0…

Java 中初始化 List 集合的 6 种方式!

List 是 Java 开发中经常会使用的集合&#xff0c;你们知道有哪些方式可以初始化一个 List 吗&#xff1f;这其中不缺乏一些坑&#xff0c;今天栈长我给大家一一普及一下。 1、常规方式 List<String> languages new ArrayList<>(); languages.add("Java&qu…

java创建List时候 初始化赋值

在这之前 可能有的读者&#xff0c; 只知道数组初始化 时候的赋值。 String[] strings new String[]{"one","two","three"};当创建list时候&#xff0c;也许 你还会写过以下代码 正确的写法 List<String> list new ArrayList<>(…

初始化列表

前言 在创建对象时&#xff0c;编译器通过调用构造函数&#xff0c;给对象中各个成员变量一个合适的初始值。 class Date { public:Date(int year, int month, int day){_year year;_month month;_day day;} private:int _year;int _month;int _day; }; 虽然上述构造函数调…

Java 初始化 List 的几种方法

最常见的初始化 List 方法为&#xff1a; List<String> languages new ArrayList<>(); languages.add("Java"); languages.add("PHP"); languages.add("Python"); System.out.println(languages);但是实际上&#xff0c;我们并不会…

LIST集合初始化及常见方法

目录 1.ArrayList集合的初始化&#xff1a; 2.常用的List集合方法&#xff1a; 1.添加元素方法 2.查看&#xff08;遍历元素&#xff09;&#xff1a; 3.修改元素&#xff1a; 4.删除元素&#xff1a; 5.其他的常见方法&#xff1a; 1.ArrayList集合的初始化&#xff1a;…

微信小程序上传图片怎么限制大小

最近有一个微信小程序的项目&#xff0c;要求是上传多张图片&#xff0c;数量不能超过3张 &#xff0c;而且在php里因为上传图片被设置了只能上传2M&#xff0c;导致上传不成功&#xff0c;所以我在前端 设置一个函数&#xff0c;用了微信api(wx.chooseImage)获取图片&#xf…